En la sociedad actual, el acelerado descenso de la fecundidad y los avances científicos han modificado radicalmente el ritmo de crecimiento de la población y la conformación de los grupos etarios, generando un aumento en la cantidad de personas adultas mayores y su expectativa de vida (Villanueva, 2000).
Según el informe brindado por la Organización Mundial de la Salud (2015), entre el 2015 y el 2050, la proporción de la población mundial con más de 60 años de edad pasará de 900 millones a 2000 millones, lo que representa un aumento del 12% al 22%. El reporte que brinda el Instituto Nacional de Estadística y Censos de Costa Rica (2013) menciona que el segmento poblacional que más crecerá en este país en los próximos años corresponderá al de personas adultas mayores, ya que el tamaño de esta población se triplicará en los próximos 40 años, pasando de 316 000 personas en el 2012 a más de 1 000 000 en el 2050.
Este fenómeno es importante de analizar, ya que con el paso de los años se produce una pérdida progresiva de masa muscular, que compromete la funcionalidad de las personas. En ausencia de patologías, entre los 40 y 70 años se puede presentar un descenso de hasta un 8% por decenio; pero después de los 70 años esta pérdida se duplica, comprometiendo la capacidad de la persona para desempeñarse satisfactoriamente en su vida cotidiana (Demling, 2009)
Esta pérdida gradual de masa muscular esquelética y fuerza determina la aparición de la sarcopenia, la cual incrementa el riesgo de presentar resultados adversos como discapacidad física, calidad de vida deficiente y mortalidad (Cruz et al., 2010). Según la Fundación para los Institutos Nacionales de la Salud (FNIH, por sus siglas en inglés), la sarcopenia se establece al identificar una máxima fuerza de agarre <26 kg o una relación entre la fuerza y el IMC <1.00, además de una masa magra apendicular <19.75 kg o una relación de la masa magra apendicular y el IMC <0.789 (De Buyser et al., 2016).
Además de la severa reducción de la calidad de vida de que pueden presentar las personas adultas mayores que sufren desgaste muscular, la pérdida de masa muscular relacionada con la edad también puede incrementar la vulnerabilidad frente a los factores de riesgo que afectan de manera adversa su salud, incluyendo aislamiento social, estrés, depresión y accidentes (Argilés, Busquets, López & Figueras, 2006)
Al estudiar las alternativas para prevenir o tratar la sarcopenia, algunos autores como Rolland, Onder, Morley, Gillette-Guyonet, van Kan & Vellas (2011) indican que ningún agente farmacológico ha sido tan eficaz como el ejercicio (principalmente ejercicio contra resistencia, ya sea con equipo de resistencia o con peso libre) en combinación con la intervención nutricional con suplementos vitamínicos o de proteínas. En general, se cree que la proteína administrada junto al ejercicio debe ser alta en aminoácidos de cadena ramificada, particularmente leucina, ya que la misma activa varias vías de transducción de señales intracelulares implicadas en la iniciación de la traducción como la vía de señalización de mTOR (Zdzieblik, Oesser, Baumstark, Gollhofer & König, 2015), de esta manera se estimula la síntesis de proteínas en vez de incurrir a una restricción calórica. Sin embargo, al comparar todas las alternativas ya sean nutricionales, hormonales y farmacológicas, Burgos (2006) concluye que el ejercicio contra resistencia es el que ha demostrado mayor eficacia para incrementar la masa muscular con o sin suplementación nutricional.
Se ha demostrado que el ejercicio contra resistencia provoca una mejora del sistema muscular, el cual favorece la movilidad, contribuyendo a la prevención de sarcopenia y la prolongación de la independencia y autonomía de las personas adultas mayores (Vásquez, Wanden-Berghe & Sanz-Valero, 2013). Otros aspectos que también mejoran con el ejercicio y contribuyen a mantener la independencia funcional son el equilibrio, la capacidad aeróbica, la flexibilidad y la velocidad de marcha (Palop, Párraga, Lozano & Arteaga, 2015).
La literatura publicada permite identificar que existen numerosas maneras e incluso algoritmos para diagnosticar la sarcopenia (Baumgartner et al., 1998; Chen et al., 2014; Cruz, 2010; Fielding et al., 2011; Lera et al., 2015), así como diferentes pruebas y puntos de corte para evaluar masa, fuerza y función muscular; por lo tanto, no hay un consenso en relación con los criterios de valoración apropiados para el diagnóstico de esta enfermedad, lo cual dificulta la interpretación de los estudios realizados en este tema.
Otra limitante en el área es que algunos estudios manifiestan concretamente los beneficios del ejercicio físico en personas adultas mayores con sarcopenia y brindan recomendaciones sobre la prescripción de ejercicio para esta población; sin embargo, muchos es estos estos experimentos han incluido adultos mayores sin diagnóstico de sarcopenia (Giallauria, Cittadini, Smart y Vigorito, 2015; Iolascon et al., 2014; Padilla, Sánchez y Cuevas., 2014; Palop, Párraga, Lozano y Arteaga, 2015), lo cual genera duda sobre la validez de la eficacia de las estrategias recomendadas.
Al efectuar una revisión de literatura, Chumlea et al. (2011) mencionan que, a pesar de la amplia cantidad de artículos publicados, la información que proporcionan es limitada; se han desarrollado pocos ensayos clínicos y la mayoría han involucrado programas de actividad física y/o la suplementación dietética en los que se han incluido adultos mayores sanos. La inclusión de personas sin diagnóstico de sarcopenia en los estudios genera incertidumbre sobre la generalización de los beneficios del ejercicio y las características que debe tener este para el beneficio de la población con este síndrome. Ante esta situación, el presente estudio plantea el objetivo de examinar la evidencia generada mediante intervenciones basadas en ejercicio contra resistencia en la persona adulta mayor diagnosticada con sarcopenia.
METODOLOGÍA
Fuentes de datos y búsqueda. La revisión sistemática incluyó estudios experimentales con intervenciones de ejercicio contra resistencia en personas adultas mayores diagnosticadas con sarcopenia. La búsqueda fue realizada desde marzo del 2016 y concluida en junio del mismo año en las siguientes bases de datos EBSCO HOST: Academic Search Complete, Education Research Complete, Erick, Medline, Sportdiscus, Fuente Académica Premier, Omnifile; OVID; PROQUEST: Public Health Database, Research Library; Science Direct; Springer Link; Cochrane Library; PubMed; Scielo; Lilacs; PEDro. La búsqueda fue realizada mediante la combinación de las siguientes palabras claves en inglés y en español “(sarcopenia) AND (suplementación) AND (masa muscular) AND (rendimiento físico) AND (fuerza muscular) AND (ejercicio de resistencia OR entrenamiento de resistencia) AND (ancianos OR envejecimiento OR adulto mayor) NOT animales”.
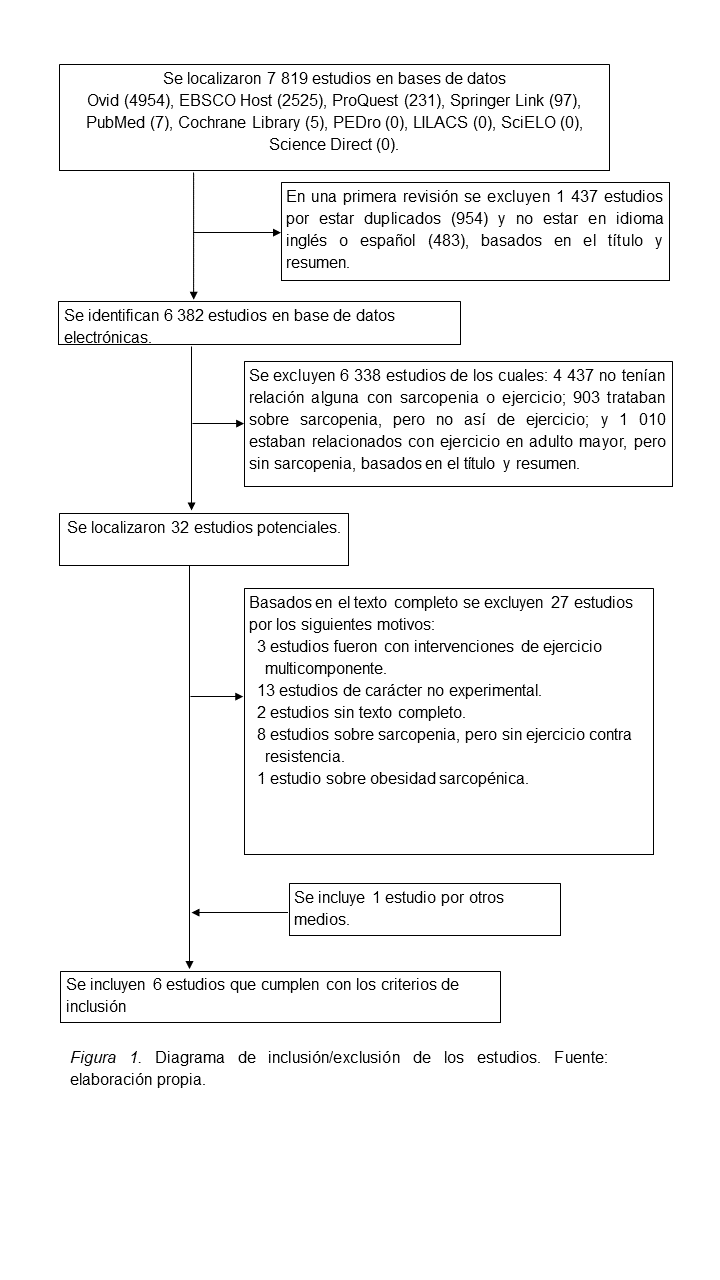
Selección de los estudios. Los estudios seleccionados para el análisis cumplen con los siguientes criterios de inclusión: estudios de carácter experimental, ejercicio contra resistencia como intervención, estudios con texto completo, idioma en inglés/español, personas adultas mayores de 60 años diagnosticadas con sarcopenia. Se excluyeron los estudios que incluyeron adultos mayores con obesidad sarcopénica y los que involucraron ejercicios de tipo aeróbico o multicomponente (Figura 1).
Análisis de información. El análisis de datos consideró: (1) detalles del estudio: autores y año; (2) calidad de los estudios mediante la escala TESTEX, propuesta por Smart et al. (2015); (3) detalles de los sujetos: edad, tamaño de la muestra, género; (4) método utilizado para el diagnóstico de la sarcopenia; (5) criterio diagnóstico de las variables dependientes analizadas: masa muscular, fuerza muscular y función muscular; (6) detalles de la intervención: duración en semanas, frecuencia, intensidad, series, repeticiones, descansos, duración de la sesión y detalle de las actividades; y (7) resultados obtenidos de la intervención reportados mediante porcentajes de cambio para las variables de masa muscular, fuerza muscular y función muscular.
RESULTADOS
Se analizaron seis estudios que cumplieron con los criterios de inclusión (Bellomo, Iodice, Maffulli, Maghradze, Coco, & Saggini, 2013; Kim et al., 2012; Maltais, Ladouceur, & Dionne, 2016; Shahar et al., 2013; Zdzieblik et al., 2015; Perreault et al., 2016) (Figura 1).
Características generales de los estudios. En la Tabla 1 se describe el año de publicación, la calidad del estudio, así como características generales de los estudios incluidos. En la Tabla 2 se observa la diversidad de métodos diagnósticos empleados por los diferentes autores.
Criterios diagnósticos de variables dependientes analizadas
Masa muscular. Como se muestra en la Tabla 3, para la medición de la masa muscular se utiliza el DXA y la bioimpedancia. Se observa que la mayor tendencia de métodos utilizados son el índice de masa muscular apendicular esquelética (masa muscular apendicular (kg)/estatura (m)2) e índice de masa muscular esquelética (masa muscular (kg)/estatura (m)2).
Fuerza muscular. En la Tabla 3 se muestran las diferentes maneras de medir la fuerza que han sido empleadas en los diversos estudios seleccionados, dentro de las que destacan fuerza muscular máxima medida por una repetición máxima (1RM) en press de banca y polea al pecho, así como la fuerza de extensión de rodilla.
Función muscular. En cuanto al análisis de función muscular, abarca las pruebas de velocidad de la marcha tanto habitual como máxima, pruebas individuales del Senior Fitness Test (SFT), longitud de medio paso y ancho del paso (Tabla 3). Se exceptúan las pruebas de flexibilidad del estudio de Shahar et al. (2013), ya que es el único estudio que las incorpora. Es importante mencionar que la función muscular en la mayoría de los estudios incluidos no es un criterio de diagnóstico; sin embargo, fue medido de igual manera.
Tabla 4 Detalles de las intervenciones: duración, frecuencia, intensidad, series, repeticiones y descanso.
Efectos de los programas de intervención
Masa muscular. Cinco de los estudios reportados muestran en promedio un aumento de 3.29 de porcentaje de cambio en variables relacionadas con la masa muscular (kg), con la excepción del estudio de Bellomo et al. (2013), el cual no analizó esta variable (Tabla 6).
Fuerza muscular. Cuatro de los estudios muestran en promedio un aumento 19.16 de porcentaje de cambio, independientemente del método utilizado para la medición de fuerza, únicamente el estudio presentado por Shahar et al. (2013) presentó una disminución en cuanto a dinamometría (Tabla 6).
Función muscular. Cuatro de los estudios reportados muestran en promedio un aumento de 18.12 de porcentaje de cambio, con la excepción del estudio de Zdzieblik et al. (2015), los cuales no realizaron medición de función muscular. El estudio de Maltais et al. (2016) muestra una mejoría en la velocidad de marcha habitual y el tiempo de levantarse y sentarse de una silla (SFT); sin embargo, no fue así con la velocidad de la marcha máxima y tiempo de ida y vuelta (SFT). Bellomo et al. (2013) muestran mejoría en la longitud de la mitad de paso y disminución en el ancho del paso; Shahar et al. (2013) muestran mejorías en las pruebas de función física del (SFT) y, finalmente, el estudio de Kim et al. (2012) muestra mejorías en velocidad de la marcha habitual y máxima (Tabla 6).
DISCUSIÓN
La presente revisión sistemática se propuso examinar la evidencia generada de las intervenciones basadas en ejercicio contra resistencia en la persona adulta mayor diagnosticada con sarcopenia. Se logró establecer, a su vez, recomendaciones de prescripción de ejercicio para individuos con diagnóstico de sarcopenia de una manera detallada. Mediante la revisión, se logró identificar la eficacia del ejercicio contra resistencia en el aumento de la masa, fuerza y función muscular en la mayoría de los estudios analizados.
En términos de prescripción de ejercicio en las personas adultas mayores diagnosticadas con sarcopenia, existe poca literatura proveniente de estudios con personas diagnosticadas y otros estudios brindan recomendaciones que provienen de personas sin diagnóstico de sarcopenia (Giallauria et al., 2015; Iolascon et al., 2014; Padilla et al., 2014). Además, estas recomendaciones se encuentran incompletas y poco detalladas, ya que suelen omitir principios de prescripción de ejercicio como lo son la intensidad, tiempo, descansos, series y repeticiones; tampoco detallan el tiempo de duración de algunos componentes de la sesión de ejercicio, como lo son el calentamiento y el enfriamiento.
Ejemplo de esta situación es el estudio de Iolascon et al. (2014), el cual, dentro de sus recomendaciones de ejercicio físico para personas adultas mayores diagnosticadas con sarcopenia, menciona que se debe involucrar los grupos musculares mayores, trabajar con peso libre o equipo de resistencia al menos dos días a la semana, a una intensidad entre el 60-80% de un RM, empleando una velocidad moderada y realizando de 8-10 ejercicios, de una a 3 series por ejercicio y de 8-12 repeticiones con 1-3 minutos de descanso entre serie.
Adicionalmente, Giallauria et al. (2015) recomiendan de 20-45 minutos de duración de la sesión, considerar la intensidad según la frecuencia cardiaca y el gasto de energía de los sujetos, emplear largos periodos de descanso entre repeticiones de ejercicio y realizar una frecuencia promedio de 3 días por semana con descanso 48 horas entre sesiones de ejercicio. Congruentemente, en procura de enfrentar la sarcopenia, Padilla et al. (2014) también recomiendan trabajar de 8-12 repeticiones por grupo muscular, a un 60-80% de una repetición máxima, 3 series y 3 sesiones semanales por lo menos durante 8-12 semanas.
Por su parte, el American Collage of Sport Medicine (2014), en sus guías de prescripción de ejercicio para el fortalecimiento muscular y ejercicios contra resistencia en persona adulta mayor, recomiendan una frecuencia mayor a 2 veces por semana a una intensidad moderada (60-70% de 1RM), pero de baja intensidad (40-50% de 1RM) para adultos que están iniciando en el programa de entrenamiento contra resistencia; además, la intensidad puede ser supervisada utilizando la escala de esfuerzo percibido de Borg, a una intensidad moderada de 5-6 y vigorosa de 7-8, considerando los mayores grupos musculares estos programas deben contener de 8-10 ejercicios y realizar más de una serie con 10-15 repeticiones por cada una.
Tomando en cuenta la necesidad de corroborar y establecer recomendaciones específicas para la población con sarcopenia, la presente revisión concuerda con la frecuencia de ejercicio reportada previamente (American Collage of Sport Medicine, 2014; Giallauria et al., 2015; Iolascon et al., 2014; Padilla et al., 2014). Asimismo, la cantidad de series, intensidad, descansos entre series y número de repeticiones, también concuerdan con las evidencias previamente reportadas (American Collage of Sport Medicine, 2014; Iolascon et al., 2014; Padilla et al., 2014).
Por lo tanto, de acuerdo con los resultados de las intervenciones en personas adultas mayores diagnosticadas con sarcopenia, se recomienda trabajar al menos 12 semanas, durante 60 minutos, incluyendo de 5-10 minutos de calentamiento y 5 minutos de enfriamiento, con una frecuencia de 2-3 veces por semana, 3 series por ejercicio, con descansos de 1-2 minutos entre series, de 6-15 repeticiones por ejercicio, con intensidades entre 60 y 85% RM.
Con respecto a los métodos diagnósticos de la sarcopenia, no existe un consenso entre los estudios encontrados. A pesar de que todos los estudios analizan la variable de masa muscular, no todos incluyen la variable de función muscular (fuerza o funcionalidad), la cual es parte de la definición de la sarcopenia según el Grupo Europeo de Trabajo sobre la Sarcopenia en Personas de Edad Avanzada (Cruz et al., 2010). Tampoco existe consenso respecto a las pruebas utilizadas para analizar masa, fuerza y función muscular, ni tampoco puntos de corte para estas variables en los diferentes estudios.
Ante este panorama, se sugiere seguir el método diagnóstico del Grupo Europeo de Trabajo sobre la Sarcopenia en Personas de Edad Avanzada (Cruz et al., 2010), ya que muestra un algoritmo para el diagnóstico que incluye variables de masa, fuerza y función muscular; además, pruebas diagnósticas estandarizadas para medir cada variable asociada a la sarcopenia. Ha sido un modelo utilizado como protocolo por otras entidades y estudios recientes (Chen et al., 2014; Lera et al., 2015). De esta manera se podrían comparar de una manera más eficaz los resultados con otros estudios que siguen un mismo protocolo de diagnóstico.
La evidencia consultada permite identificar que, al participar de un programa de ejercicio contra resistencia, la persona adulta mayor que presenta sarcopenia logra mejorías en su masa, fuerza y función muscular, con lo cual atenúa los efectos de este padecimiento. La mejoría en la masa muscular es apoyada por Kim et al. (2012), Maltais et al. (2016), Perreault et al. (2016), Shahar et al. (2013), y Zdzieblik et al. (2015). El aumento registrado en la masa muscular se encuentra en un rango de 1.50% a 5.39%, lo cual concuerda con el reporte de Roth et al. (2001). En explicación a esta mejoría, Loenneke, Fahs, Wilson y Bemben (2011) mencionan que someter el músculo a una sobrecarga mecánica se induce un desequilibrio que activa el transporte de aminoácidos al interior de las células musculares, lo que tiene como consecuencia un incremento en la síntesis de proteínas contráctiles; es decir, la tensión mecánica propicia el inicio de una cascada de señalización celular que tiene como consecuencia la hipertrofia muscular. De acuerdo con la revisión metaanalítica efectuada por Csapo & Alegre (2016), al trabajar con altas intensidades de carga se estimula la hipertrofia muscular en las personas adultas mayores.
Respecto a la fuerza muscular, con excepción de la intervención de Shahar et al. (2013), que reportó una disminución de fuerza, medida mediante dinamometría, la mayoría de estudios también muestran mejorías en esta variable (Bellomo et al., 2013; Kim et al., 2012; Maltais et al., 2016; Zdzieblik et al., 2015). Según Zdzieblik et al. (2015), el incremento en la fuerza muscular puede estar asociado con una mayor cantidad de masa muscular. De acuerdo con Frischknecht (1998), otros mecanismos que también podrían estar implicados serían la hipertrofia de las fibras musculares y la mejora de los factores neurales implicados en la producción de fuerza.
La función muscular también se ve beneficiada en la mayoría de los estudios, siendo la velocidad de marcha y algunas pruebas del Senior Fitness Test las más utilizadas. De acuerdo con Bellomo et al. (2013), la mejora en la función muscular contribuye a mejorar el balance estático que, a su vez, impacta positivamente en el balance dinámico e incrementa la habilidad para caminar, subir escaleras y otras funciones relacionadas con la calidad de vida.
CONCLUSIÓN
Se ha observado en la presente revisión que el ejercicio físico contra resistencia ha sido eficaz para mejorar variables relacionadas con la sarcopenia, como masa, fuerza y función muscular, luego de haber realizado intervenciones con adultos mayores diagnosticados con sarcopenia.
El diagnóstico de la sarcopenia se ha basado en el análisis de la masa, la fuerza y la función muscular. La medición y evaluación de la masa muscular ha empleado el Índice de Masa Muscular e Índice de Masa Muscular Apendicular Esquelética (kg de masa muscular apendicular/estatura en m2); la medición y evaluación de fuerza muscular se ha basado en la fuerza de extensión de rodilla (Nm/kg) y dinamometría de mano (kg); mientras que la función muscular se ha estudiado mediante la velocidad de la marcha habitual y máxima, el tiempo de ida y vuelta, así como la prueba de sentarse-levantarse de la silla.
En cuanto a detalles de intervenciones, se han visto mejorías trabajando al menos 12 semanas con una frecuencia de 2-3 días durante 60 minutos de sesión y trabajando los principales grupos musculares a intensidades entre 70-85% (1RM) durante 3 series de 6-10 repeticiones con descansos de 1-2 minutos entre serie, esto ya sea trabajando con equipo de resistencia o ejercicios con peso libre.
RECOMENDACIONES
Futuras investigaciones que sirvan como tratamiento en la sarcopenia pueden ir encaminadas a observar efectos de intervenciones mediante otros tipos de ejercicio, ya sea en ejercicio aeróbico o en ejercicio de tipo multicomponente, el cual puede involucrar ejercicios de tipo aeróbico, contra resistencia, neuromotor. Otra línea de investigación a seguir, con el fin de diagnosticar el síndrome de la sarcopenia, podría analizar la estandarización de algoritmos y puntos de corte específicos para cada país respecto a la masa, fuerza y función muscular.
AGRADECIMIENTOS
A los profesores José Moncada Jiménez, Gerardo Araya Vargas y compañeros del curso de Taller I de Investigación de la Maestría Académica en Ciencias del Movimiento Humano, por sus observaciones, sugerencias y aportes brindados para mejorar el presente estudio.
CONFLICTO DE INTERESES
Los autores no declaran conflictos de intereses.



















