Introducción
Con el propósito de determinar el nivel de conocimiento matemático y las dificultades que posee el estudiantado de primer ingreso a la Universidad Nacional (UNA), Costa Rica, la Escuela de Matemática de esta institución ha convocado, desde el año 2008, a dicha población para la aplicación de una prueba de conocimientos y destrezas en el área de matemática. La población convocada es el alumnado que ingresa por primera vez a carreras que contemplan, en sus planes de estudio, al menos, un curso del componente matemático. La prueba no posee carácter de obligatoriedad y los contenidos evaluados son aquellos que se consideran base para el desempeño universitario, la mayoría de ellos han sido desarrollados en la educación secundaria. En este sentido se señala que
Esta prueba, corresponde a una estrategia mediante la cual se pretende recolectar información sobre una de las posibles causas de los altos niveles de deserción y reprobación que se presentan usualmente en los cursos de matemática: deficiencias en cuanto a conocimientos y destrezas en el área de la matemática con las que podrían estar ingresando a la universidad los estudiantes de primer ingreso. (Universidad Nacional, 2017, p. 1)
De acuerdo con el Informe de resultados examen de diagnóstico de Matemática: Estudiantes de primer ingreso del año 2017, en la prueba aplicada en enero de 2017, participaron 1694 estudiantes y se obtuvieron los siguientes resultados:
La mayoría del estudiantado obtuvo una nota inferior a 60 (el porcentaje del estudiantado con una nota superior a 60 fue menor al 8%).
Aproximadamente, el 50% del estudiantado participante en la prueba obtuvo calificaciones entre 20 y 40.
La nota promedio del estudiantado que realizó la prueba fue de 41,32 y se refleja una situación similar en cada una de las sedes en las que la prueba fue aplicada.
La distribución porcentual del estudiantado por sede, según nota obtenida, refleja una situación similar en cada una de las sedes en las que la prueba fue aplicada.
En la sede Omar Dengo, sede central de la UNA, se registran los mayores porcentajes del estudiantado con calificaciones en los rangos superiores; además, esta sede registra la mayor nota promedio.
El estudiantado procedente de instituciones educativas públicas diurnas presentó más calificaciones inferiores a 40 que aquel que provenía de instituciones educativas privadas.
La mayor nota promedio se presenta en el grupo de estudiantes participantes procedentes de instituciones educativas privadas.
Al analizar las notas obtenidas, según sexo, se registran distribuciones similares. Sin embargo, la nota promedio obtenida por las estudiantes es menor que la nota promedio obtenida por los estudiantes.
Al analizar las notas obtenidas, según las diferentes carreras y sedes consideradas, se registran distribuciones similares.
Los datos obtenidos en el año 2017 son similares a los que se alcanzaron en años anteriores. En el 2015 y 2016, por ejemplo, realizaron la prueba 1760 y 1832 estudiantes, respectivamente. El 76,5% del estudiantado del año 2015 y el 76,8% del año 2016 obtuvo una nota que varió entre 20 a menos de 40. Para estos años, un 2,8% y el 2,5% del alumnado, respectivamente, tuvo como calificación una nota mayor a 60; la nota promedio obtenida fue de 29,2 en el año 2015 y 29,7 en el año 2016 (Universidad Nacional, 2015, 2016).
Con base en este contexto y con el propósito de identificar los errores cometidos por el estudiantado durante la realización de esta prueba, se realizó el análisis de una muestra de los exámenes resueltos por esta población en el año 2017. La importancia del análisis de estos errores radica en que, tal como lo señala Mancera (2015), los errores demuestran lo que el alumnado no maneja o conoce y proporcionan el punto de partida para establecer posibles causas de dichos equívocos. Esto implica el reconocimiento de que existen distintas variables que influyen en su origen, tales como la persona docente, el currículo, el entorno social y cultural y las distintas relaciones entre ellas. Por tal razón, se debe considerar que los errores no son exclusivos del estudiantado. Al respecto, se indica que:
En la actualidad el error es considerado parte inseparable del proceso de aprendizaje. Los investigadores en educación matemática sugieren diagnosticar y tratar seriamente los errores de los alumnos, discutir con ellos sus concepciones erróneas, y presentarles luego situaciones matemáticas que les permitan reajustar sus ideas. (Del Puerto, Minnaard y Seminara, 2006, p. 2)
Se debe considerar que la mayoría del estudiantado que ingresa a la UNA ha finalizado, en el año anterior a su ingreso, la educación secundaria, aspecto que para la mayoría representa la culminación de una etapa académica y personal, para algunos miembros de esta población, el inicio de la vida universitaria constituye un nuevo reto que ocasiona diversas expectativas. La culminación de la educación secundaria también genera expectativas académicas del estudiantado. En la mayoría de los casos, se espera que durante esta etapa cada educando haya adquirido conocimientos matemáticos y procedimientos algorítmicos que, en conjunto con las destrezas y habilidades desarrolladas por cada uno en este período, sirvan de base para su educación universitaria y para afrontar con éxito los primeros cursos del área en sus respectivas carreras. Sin embargo, no se puede negar el hecho de que, a la vez, cometen errores y dificultades que también se trasladan y se demuestran en su desempeño en la educación universitaria. En este sentido, Gandulfo et al. (2013) apuntan que:
Analizando las evaluaciones de los alumnos y lo manifestado por los docentes, se puede comprobar que muchos de los estudiantes llegan a la Universidad con un importante déficit en los conocimientos matemáticos y al momento de resolver problemas manifiestan falencias significativas. (p. 1133)
Esta situación, además, dificulta la construcción de nuevos conocimientos. Al respecto, se señala que:
Los docentes de los diversos niveles educativos, al inicio del ciclo escolar, reciben a los alumnos con grandes deficiencias en el área de las matemáticas, de tal forma que es casi imposible, en la mayoría de los casos, lograr que el alumno adquiera nuevos conocimientos en esta disciplina, ya que en gran parte de los nuevos temas a tratar se requieren de conocimientos previamente adquiridos. (Barrón, Ruiz, Luna, Estrada y Loera, 2013, p. 108)
Es evidente que los errores que posee cada miembro del estudiantado influye en el aprendizaje de otros contenidos, por lo que su análisis aporta información relevante sobre su estado y la forma en que se construye el conocimiento matemático; además, constituye una herramienta para concienciar a estudiantes para su reconocimiento, la necesidad de superarlos para lograr un verdadero aprendizaje y para el planteamiento de actividades donde cada educando pueda explicar y dar sentido a sus errores (Carrión, 2007; Engler, Gregorini, Müller, Vrancken y Hecklein, 2004).
En el ámbito de la Educación Matemática, los errores se muestran constantemente en el trabajo del estudiantado, por lo que las dificultades que surgen en el proceso de aprendizaje se vinculan en redes complejas que obstaculizan el aprendizaje, y estos obstáculos se manifiestan en la práctica en forma de respuestas equivocadas (Del Puerto et al., 2006; Franchi y Hernández de Rincón, 2004). La construcción del conocimiento requiere, en cada educando, una reorganización y ampliación de los conocimientos previos. Asimismo, por parte de las personas docentes se demanda la detección de las carencias y dificultades, y los errores que impiden que los conocimientos presentes en cada educando sean significativos (Cadenas, 2007).
Históricamente, el error se ha concebido como un hecho negativo que marca una diferencia entre lo que el personal docente desea y lo que la persona estudiante responde, concepción que se magnifica en el ámbito universitario, especialmente, en el área de matemática (Franchi y Hernández de Rincón, 2004). A partir de lo anterior, y de acuerdo con estos autores, se deben plantear estrategias para la atención de los errores del estudiantado con base en un proceso de reflexión sobre su significado y origen, dado que las dificultades que posee se evidencian a través de ellos.
Al respecto, Rico (1998) apunta que los errores pueden contribuir positivamente en el proceso de aprendizaje, no aparecen por azar, sino que surgen de un marco conceptual consistente, basado sobre conocimientos adquiridos previamente y aboga por una instrucción que no condene los errores. El proceso de enseñanza debería centrarse, desde esta perspectiva y según el autor, en la previsión y consideración de los errores como parte del aprendizaje, a partir que la premisa que todo proceso de instrucción es generador de errores, por lo que no existe un proceso de aprendizaje sin errores.
Con respecto a esta consideración de los errores como parte del proceso educativo, se señala que:
Todas las teorías sobre la enseñanza-aprendizaje de las matemáticas coinciden en la necesidad de identificar los errores de los alumnos en el proceso de aprendizaje, determinar sus causas y organizar la enseñanza teniendo en cuenta esa información. El profesor debe ser sensible a las ideas previas de los alumnos y utilizar las técnicas del conflicto cognitivo para lograr el progreso en el aprendizaje. (Godino, Batanero y Font, 2004, p. 73)
El análisis de los errores sirve para mejorar el proceso de aprendizaje al ayudar al personal docente en la selección, creación y organización de estrategias orientadas al logro de una mejor educación y la corrección de los errores, haciendo énfasis en aquellos aspectos que generan más dificultades para sus estudiantes (Engler et al., 2004; Franchi y Hernández de Rincón, 2004). En este sentido, detectar los errores permite evaluar los contenidos para que cada educando identifique e intente superar sus dificultades y obstáculos, lograr nuevos aprendizajes y realimentar los conocimientos existentes (Cadenas, 2007).
No puede negarse el hecho que el estudiantado posee un conocimiento previo que puede contribuir o ser un obstáculo en la construcción de otros nuevos, los cuales, a su vez, provocan una reestructuración total y muestran errores, tanto antiguos como nuevos. En consecuencia,
Los errores cometidos por los alumnos en matemática son una manifestación de esas dificultades y obstáculos propios del aprendizaje, y se acepta unánimemente que es necesaria la detección y análisis de los mismos, y su utilización positiva en una suerte de realimentación del proceso educativo. (Del Puerto et al., 2006, p. 3).
Dado que la prueba diagnóstica en el área de matemática aplicada en el año 2017 pretendía recolectar información sobre una de las posibles causas de los altos niveles de deserción y reprobación, y detectar potenciales deficiencias de conocimientos y destrezas en el área de la matemática, surgió la inquietud de analizar y clasificar los errores que cometía el estudiantado al realizar dicha asignación. Con base en lo anterior, en este artículo se presenta el análisis realizado con respecto a los errores cometidos por el alumnado durante la resolución de la prueba.
Fundamentación teórica
En todo proceso educativo y de construcción de conocimiento el error es posible. Al respecto, se señala que “unida a la capacidad que tiene el ser humano de conocer, se halla siempre presente la posibilidad de que conceptos y procedimientos deficientemente desarrollados, y aún [sic] completamente equivocados, sean considerados como verdaderos” (Del Puerto et al., 2006, p. 2), lo que conlleva a errores. En el proceso de aprendizaje de la matemática, los errores se presentan constantemente; lo que preocupa, en algunas ocasiones, es la persistencia y la masividad de algunos de ellos, los cuales influyen directamente en la construcción de otros contenidos (Engler et al., 2004).
Existen distintos acercamientos de lo que es error, incluso, algunos autores no se atreven a dar una definición. Sin embargo, con base en una revisión de literatura se encontraron las siguientes definiciones de error dadas por algunos autores y expertos en el área:
Hablamos de error cuando el alumno realiza una práctica (acción, argumentación, etc.) que no es válida desde el punto de vista de la institución matemática escolar (Godino et al., 2004, p. 73).
Se podría definir “error” como un concepto equivocado o juicio falso. Por su parte, la equivocación se define como el tener o tomar una cosa por otra, juzgando u obrando desacertadamente (Lucchini, Cuadrado y Tapia, 2006, p. 3).
Se considera que el error es un conocimiento deficiente, insuficiente, imperfecto, defectuoso, escaso o incompleto; una desviación de un conocimiento establecido (Carrión, 2007, p. 11).
Un concepto relacionado con el de error es el de dificultad. Una dificultad es “toda característica académica (en cuanto a lectura, escritura y matemáticas) que hace que el estudiante se muestre desnivelado con relación a sus compañeros de aula y al programa académico y a lo que se espera de él” (Gómez, Wilches, Ruiz y Corrales, 2012, p. 29). Consecuentemente, una persona que posee dificultades en el aprendizaje es aquella que no ha alcanzado un desarrollo integral en sus capacidades y que, por tanto, tiene problemas en el desenvolvimiento de las competencias básicas. Al respecto, Godino et al. (2004) indican que
El término dificultad indica el mayor o menor grado de éxito de los alumnos ante una tarea o tema de estudio. Si el porcentaje de respuestas incorrectas (índice de dificultad) es elevado se dice que la dificultad es alta, mientras que si dicho porcentaje es bajo, la dificultad es baja. (p. 73)
Algunas causas de errores y dificultades, según Godino et al. (2004), son las siguientes:
Dificultades relacionadas con los contenidos matemáticos. La abstracción y generalización de las matemáticas es una posible causa de las dificultades en el aprendizaje. El análisis del contenido matemático permite prever su grado de dificultad potencial e identificar las variables que hay que tener en cuenta para facilitar su enseñanza. A veces, el error no se produce por una falta de conocimiento, sino porque la persona estudiante usa un conocimiento que es válido en algunas circunstancias, pero no en otras en las cuales se aplica indebidamente.
Dificultades causadas por la secuencia de actividades propuestas. Se puede dar el caso de que la propuesta de actividades que presenta el profesorado a cada educando no sea potencialmente significativa por diferentes causas, como la inadecuada estructuración de los contenidos a enseñar, calidad de los materiales didácticos o la mediación pedagógica.
Dificultades que se originan en la organización del centro. Aspectos como el horario de la clase, número de educandos, insuficientes materiales o recursos didácticos, entre otros, dificultan el aprendizaje del estudiantado.
Dificultades relacionadas con la motivación del alumnado. Puede ocurrir que, aunque el proceso de planificación de la clase y las actividades propuestas sea la adecuada, el estudiantado no esté en condiciones de enfrentarse a ellas porque no están motivados, por razones de autoestima o historia escolar cada educando.
Dificultades relacionadas con el desarrollo psicológico de cada educando. Una fuente de dificultades de aprendizaje del alumnado se debe al hecho de que algunos miembros de este aún no han superado la etapa previa al nivel académico requerido para su edad.
Dificultades relacionadas con la falta de dominio de los contenidos anteriores. En algunos casos, la población estudiantil no posee los conocimientos previos necesarios para poder aprender el nuevo contenido. El diagnóstico inicial permitiría identificar los contenidos previos que hay que adquirir para conseguir el aprendizaje del contenido previsto.
Los errores, por lo tanto, son manifestaciones de las dificultades del estudiantado y “provienen de concepciones que fueron útiles en su momento pero al aplicarlo [sic] en otros contextos resultan inapropiadas” (Olmedo, Galíndez, Peralta y Di Bárbaro, 2015, p. 3). Mancera (2015) señala que el análisis de los errores cometidos por el estudiantado, en su proceso de aprendizaje, aporta información relevante sobre cómo se construye el conocimiento matemático. Además, constituyen una importante herramienta para mostrar el estado del conocimiento en cada educando, aspecto primordial para realimentar el proceso de enseñanza y aprendizaje.
La persona estudiante, a partir de nuevos conocimientos, establece relaciones con los conocimientos previos, genera variaciones y establece nuevas ideas, proceso en el cual se pueden generar errores en la aplicación del nuevo conocimiento. Aunado esto, cada educando, en su proceso de aprendizaje, puede presentar dificultades, como la falta de concentración, bloqueos, olvidos, entre otros, que generan errores al aplicar el conocimiento adquirido (Morales, 2017).
De acuerdo con Dodera, Bender, Burroni y Lázaro (2014), varios autores señalan que los errores en matemática no tienen un carácter accidental, sino que surgen a partir de las estrategias y reglas personales que cada educando utiliza en la resolución de situaciones problemáticas. Según Carrión (2007), los errores pueden ser esporádicos, es decir, se presentan en forma ocasional, por azar y provocados por descuidos en las producciones del estudiantado, o sistemáticos, basados en conocimientos adquiridos previamente y que favorecen una comprensión distorsionada de los conceptos.
Con respecto a la consistencia de los errores, Del Puerto et al. (2006) y Carrión (2007) apuntan que estos se dan en dos niveles: individual, donde los sujetos muestran regularidad en el modo de realizar tareas y resolver ejercicios, y problemas matemáticos similares; colectivos, donde diferentes personas comenten errores semejantes en ciertas etapas de su desarrollo educativo. La regularidad de ciertos errores ha permitido su clasificación por varios autores, sin que ello sea una labor acabada, ya que las categorías presentadas por los autores no son excluyentes, y rara vez un error obedece a una única causa (Mancera, 2015).
En este sentido, Rico (1998) indica que una identificación clara con respecto a las causas posibles de un error o una explicación de cada error es difícil dado que en el proceso educativo interactúan diferentes variables y es muy difícil aislar sus relaciones. Aspectos ligados a las personas como las capacidades intelectuales, la percepción, la función simbólica, la organización espacial, el desarrollo del pensamiento operatorio (conservación, seriación, clasificación), la atención, la memoria, el desarrollo lingüístico, la estabilidad emocional, conocimientos y experiencias previas, dificultades didácticas y epistemológicas, entre otras, se mencionan como posibles causas, sin que estas sean excluyentes o las únicas (Abrate, Pochulu y Vargas, 2006; Lucchini et al., 2006).
Varios investigadores han señalado que algunos autores han realizado distintas clasificaciones de los errores con el propósito de crear esquemas para la interpretación, previsión y conceptualización de estos (Del Puerto et al., 2006; Rico, 1998). En este sentido, la regularidad con la que los errores aparecen y los patrones comunes presentes en ellos son algunos de los aspectos que han permitido realizar inferencias sobre estos, sobre las posibles razones de su aparición y sobre las estructuras en que se van organizando los conocimientos, lo que ha permitido elaborar clasificaciones de los errores, aunque estas, y las categorías creadas a partir de ellas, no pueden considerarse aisladas unas de otras y suelen relacionarse entre sí (Del Puerto et al., 2006).
Con base en lo anterior, a continuación (Tabla 1) se presentan algunas de las clasificaciones recopiladas o realizadas por varios autores según Cervantes y Martínez (2007), Engler et al. (2004), Franchi y Hernández de Rincón (2004) y Rico (1998).
Tabla 1: Clasificación de errores matemáticos realizada por algunos autores
| Autor | Clasificación |
| Radatz (1980) | Errores debidos a dificultades del lenguaje. Errores debidos a dificultades para obtener información espacial. Errores debidos a un aprendizaje deficiente de hechos, destrezas y conceptos previos. Errores debidos a asociaciones incorrectas o a rigidez del pensamiento (perseveración, asociación, interferencia, asimilación, transferencia negativa a partir de tareas previas). Errores debidos a la aplicación de reglas o estrategias irrelevantes. |
| Davis (1984) | Reversiones binarias. Errores inducidos por el lenguaje o la notación. Errores por recuperación de un esquema previo. Errores producidos por una representación inadecuada. Reglas que producen reglas. |
| Movshovitz-Hadar, Zaslavksy e Inbar (1987) | Datos mal utilizados. Incorrecta interpretación del lenguaje. Inferencias no válidas lógicamente. Teoremas o definiciones deformados. Falta de verificación de la solución. Errores técnicos. |
| Esteley-Villareal (1990, 1992, 1996) | Errores al operar con números reales en cálculos, planteo y resolución de ecuaciones. No empleo o uso parcial de la información. No verificación de resultados parciales o totales. Empleo incorrecto de propiedades y definiciones (de números o funciones). No verificación de condiciones de aplicabilidad de teoremas, definiciones, entre otros, en un caso particular. Deducción incorrecta de información o inventar datos a partir de la dada. Errores de lógica. Errores al transcribir un ejercicio a la hoja de trabajo. |
| Azcárate et al. (1996) | Errores estructurales. Errores arbitrarios. Errores ejecutivos. Errores en la manipulación. |
| Socas (1997) | Errores que tienen su origen en un obstáculo. -Errores que tienen su origen en la ausencia de sentido. -Errores que tienen su origen en actitudes afectivas y emocionales hacia las matemáticas. |
| Astolfi (1999) | Errores debidos a la redacción y comprensión de las instrucciones. Errores resultado de los hábitos escolares o de una mala interpretación de las expectativas. Errores como resultado de las concepciones alternativas de cada educando. Errores ligados a las operaciones intelectuales implicadas. Errores en los procesos adoptados. Errores debidos a la sobrecarga cognitiva en la actividad. Errores que tienen su origen en otra disciplina. Errores causados por la complejidad propia del contenido. |
| Brousseau (2001) | -Error a un nivel práctico. -Error en la tarea. -Error de técnica. -Error de tecnología. -Error de nivel teórico. |
| Saucedo − Iaffei - Scaglia (2002) | Datos mal utilizados. Interpretación incorrecta del lenguaje. Empleo incorrecto de propiedades y definiciones. Errores al operar algebraicamente. No verificación de resultados parciales o totales. Errores lógicos. Errores técnicos. |
| Abrate et al. (2006) | Errores debidos al lenguaje matemático. Errores debidos a dificultades para obtener información espacial. Errores debidos a inferencias o asociaciones incorrectas. Errores debidos a la recuperación de un esquema previo. Errores debidos a cálculos incorrectos o accidentales. Errores eventuales debidos a deficiencias en la construcción de conocimientos previos. Errores debidos a la ausencia de conocimientos previos. |
| Cervantes y Martínez (2007) | Error de linealización. Error de extensión de la cancelación. Error de extensión del producto nulo. Errores de truncamiento. |
Fuente: Cervantes y Martínez (2007), Engler et al. (2004), Franchi y Hernández de Rincón (2004) y Rico (1998).
En el presente trabajo se utilizó la clasificación propuesta por Abrate et al. (2006), debido a que esta se derivó de un trabajo similar al realizado por los investigadores. La investigación realizada por Abrate et al. (2006) fue un estudio de naturaleza diagnóstico-descriptivo donde se pretendió analizar y categorizar los errores cometidos por el estudiantado egresado del nivel medio (secundaria) al resolver un examen de conocimientos previos del módulo de matemática del curso de ingreso. Los contenidos matemáticos abordados correspondieron a los desarrollados en el ciclo básico unificado y ciclo de especialización de la escuela secundaria argentina. Se trabajó con 273 estudiantes aspirantes a ingresar en las carreras de Ciencias Económicas de la Universidad Nacional de Villa María durante el año académico 2004.
Aunque al inicio los autores no tomaron como base una categorización de los errores previamente establecida, pues iba a ser considerada como emergente en el trabajo, su construcción se halló condicionada por las categorías señaladas en las investigaciones consultadas sobre el tema. A continuación, se expondrá con mayor detalle la clasificación realizada por los autores:
Errores debidos al lenguaje matemático. Estos errores son producto de una traducción incorrecta de hechos matemáticos definidos en un lenguaje natural a otro matemáticamente más formal, o de un lenguaje simbólico a otro simbólico distinto. Ejemplos de esta categoría se incluyen en la Tabla 2.
Tabla 2: Ejemplos de errores debidos al lenguaje matemático según Abrate et al. (2006)
Fuente:Abrate et al. (2006).
Errores debidos a dificultades para obtener información espacial. Estos errores están relacionados con deficiencias en la capacidad para pensar por medio de imágenes espaciales o visuales, lo que trae como consecuencia interpretaciones incorrectas de información o hechos matemáticos. Ejemplos de esta categoría se incluyen en la Tabla 3.
Tabla 3: Ejemplos de errores debidos a dificultades para obtener información espacial según Abrate et al. (2006)
Fuente:Abrate et al. (2006).
Errores debidos a inferencias o asociaciones incorrectas. Los errores por inferencias o asociaciones incorrectas son originados al aplicar reglas y propiedades reconocidas por esquemas similares o por deducir que son válidas en contextos análogos o relacionados. En estas circunstancias, la persona estudiante es consciente de que la situación planteada es diferente de otras abordadas, pero “inventa” nuevas reglas o deriva la validez de las que conoce de otras situaciones para el caso que está tratando. Ejemplos de esta categoría se incluyen en la Tabla 4.
Tabla 4: Ejemplos de errores debidos a inferencias o asociaciones incorrectas según Abrate et al. (2006)
Fuente:Abrate et al. (2006).
Errores debidos a la recuperación de un esquema previo. Estos errores son ocasionados por la permanencia de ciertos elementos del contenido o del proceso de solución de una situación, aunque las circunstancias fundamentales de la tarea matemática en cuestión se han transformado. La persona estudiante no es consciente de que la situación es diferente a otras planteadas, por lo que no realiza inferencias de validez de las reglas o propiedades, sino más bien, las aplica por considerar que se encuentra en un contexto conocido. Ejemplos de esta categoría se incluyen en la Tabla 5.
Tabla 5: Ejemplos de errores debidos a la recuperación de un esquema previo según Abrate et al. (2006)
Fuente:Abrate et al. (2006).
Errores debidos a cálculos incorrectos o accidentales. Los errores debidos a cálculos incorrectos o accidentales se presentan cuando cada paso en el proceso de solución de una tarea o problema matemático es correcto, o responde a la lógica interna del procedimiento deseable, pero el resultado final no es la solución debido a errores de cálculo que se originaron en la ejecución de operaciones básicas, o que se ocasionaron por la transferencia errónea de símbolos y números implicados en el proceso de solución. Ejemplos de esta categoría se incluyen en la Tabla 6.
Tabla 6: Ejemplos de errores debidos a cálculos incorrectos o accidentales según Abrate et al. (2006)
Fuente:Abrate et al. (2006).
Errores eventuales debidos a deficiencias en la construcción de conocimientos previos. Estos errores son originados por aprendizajes erróneos o inadecuados de hechos, destrezas, habilidades y conceptos previos que impiden un apropiado entendimiento de la información. Se incluyen, en esta categoría, aquellos errores que se han producido por alguna discrepancia entre los datos que aparecen en una cuestión y el tratamiento que le ha dado la persona estudiante.
Errores debidos a la ausencia de conocimientos previos. Este tipo de errores son causados por la ausencia o carencia de aprendizajes de conceptos previos, así como de habilidades, hechos y destrezas que privan, en su totalidad, el procesamiento de la información y la resolución de un problema o tarea matemática.
Aunque se reconoce que no existe una clasificación única de los errores, la descrita anteriormente se tomó como base debido a que fue la empleada por dichos autores en una investigación orientada a analizar las dificultades y errores de conceptos y procesos matemáticos en una evaluación escrita de cada educando al ingresar a la universidad. Según lo anterior, la población con la que los autores trabajaron presenta características similares con la nuestra, al ser estudiantes que iniciaban o estaban próximos a iniciar su vida universitaria.
Es importante señalar que los errores de una persona estudiante son la manifestación de un proceso complejo en el que interactúan muchas variables y actores: docente, educando, currículo, contexto sociocultural, entre otras, y que aún no se ha completado un desarrollo teórico sistemático para clasificar, interpretar, predecir y superar errores y dificultades en busca de un aprendizaje de calidad (Engler et al., 2004).
Metodología
De acuerdo con McMillan y Schumacher (2005), el estudio realizado es de naturaleza cualitativa, explicativa y descriptiva, pues se explican y describen los aspectos relacionados con los errores. Se enfatizó en la descripción de los errores cometidos por el estudiantado en la resolución del examen de diagnóstico que realizó la Escuela de Matemática de la UNA, Costa Rica, en el año 2017. Esta prueba constaba de 60 ejercicios de selección única y cada educando contaba con tres horas para su realización. Los ejercicios propuestos en la prueba fueron sometidos, durante la elaboración de esta, a análisis de validación por medio de técnicas estadísticas. El examen fue realizado por parte del profesorado de la Escuela de Matemática de la UNA.
La implementación de cuestionarios para detección de errores, y la posterior clasificación de los mismos con base en alguna de las categorizaciones vigentes, es una metodología que permite obtener un [sic] “radiografía” del estado de [sic] conocimiento de los alumnos y constituye una valiosa ayuda a la hora de reorganizar la práctica pedagógica. (Del Puerto et al., 2006, p. 5)
Para su resolución, el estudiantado podía hacer uso de la calculadora y debía realizar, en el folleto del examen, todas las anotaciones que le permitiera resolver los ejercicios propuestos. Los ítems abarcaban temas como funciones, trigonometría, factorización, fórmulas notables, números reales, radicación y potenciación, ecuaciones, entre otros, y fueron diseñados para que el alumnado realizara algún procedimiento o análisis del ítem, por lo que la calculadora tenía un fin instrumental en la resolución del problema, y la respuesta no se basaba únicamente en su uso. Al estudiantado se le indicó suponer todas las expresiones algebraicas bien definidas en el conjunto de los números reales. Asimismo, se les advirtió que las gráficas y figuras no estaban hechas a escala.
La prueba la realizaron 1694 estudiantes (Escuela de Matemática, 2017). Con base en las respuestas del alumnado y el banco de datos realizado a partir de ellas, se obtuvo el porcentaje de respuestas correctas para cada ítem. Posteriormente, se seleccionó una muestra aleatoria de 100 pruebas, y para cada pregunta se hizo una elección de las pruebas donde alguna persona estudiante había realizado algún proceso de solución para ese ítem específico y la respuesta había sido incorrecta, o en los que aún con la respuesta correcta, habían tenido un error en el procedimiento. Se identificaron los errores cometidos por el estudiantado, se clasificaron y para cada categoría se tomaron los casos más representativos para su descripción, algunos de los cuales se presentan en este documento.
La selección de los casos representativos para análisis y descripción, algunos de los cuales se muestran en este artículo, deben considerarse como un ejemplo de los errores que presentaron varias personas estudiantes, es decir, que tuvo una frecuencia de más de cinco estudiantes. Los errores se clasificaron según la tipificación realizada por Abrate et al. (2006). La clasificación de los errores, como ya se indicó, no es única, por lo que un error puede estar asociado a distintos aspectos. El tipo de error identificado se relacionó según la descripción realizada y la definición dada por los autores antes mencionados.
Análisis de resultados
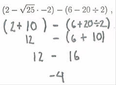
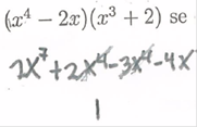
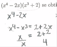
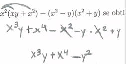
Debido a la cantidad de información que se obtuvo del análisis de las pruebas y por razones de espacio, en esta sección se presentan casos representativos de errores cometidos por el estudiantado (Tabla 7), sin evidenciar algún tema o ítem en particular. Se recalca, nuevamente, que la clasificación de los errores, como lo han mencionado varios autores, no es acabada, excluyente y que un error puede ser clasificado de distintas formas.
Tabla 7: Algunos errores matemáticos realizados por el estudiantado al resolver la prueba de diagnóstico de matemática, UNA, Costa Rica, 2017
Fuente: elaboración propia, 2017.
En forma general, al analizar todos los ítems de la prueba se pudo determinar que, además, el estudiantado muestra errores en
Conversión de medidas (longitud, tiempo).
Clasificación de número reales según sus distintos subconjuntos.
Identificación de los signos de “menor que” y “mayor que”.
Identificación de la prioridad de las operaciones y uso de paréntesis.
Aplicación de la ley de signos, ley distributiva y del concepto de valor absoluto en la resolución de operaciones aritméticas y algebraicas.
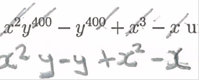
Procedimiento para la multiplicación de binomios, suma de monomios, racionalización y resolución de fórmulas notables.
Aplicación de las leyes de potencias.
Factorización de polinomios.
Representación gráfica de una situación problema.
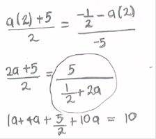
Planteamiento y resolución de ecuaciones, en general, al utilizar operaciones incorrectas en el despeje de la incógnita.
Interpretación gráfica de los conceptos de funciones representados en el plano cartesiano (imagen, preimagen, intervalos de monotonía, ámbito).
Composición de funciones y su respectiva notación.
Cálculo de la función inversa para funciones cuadráticas.
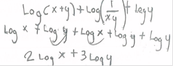
Propiedades de los logaritmos.
Uso de notación matemática.
Aplicación del concepto e identificación de ángulos adyacentes, complementarios, suplementarios, recto, agudo, obtuso, entre otros, y su representación gráfica.
Resolución de problemas que involucren el concepto de ángulos de elevación y depresión.
Conclusiones
Los resultados obtenidos muestran que el estudiantado de primer ingreso a la UNA, en la prueba de diagnóstico del año 2017, posee errores en sus conocimientos y procedimientos matemáticos debido a:
Uso de notación y lenguaje matemático, lo que le imposibilita interpretar y realizar operaciones y resolver una situación problema, por ejemplo, establecer la prioridad de las operaciones o las propiedades para la suma de monomios semejantes.
Dificultades para obtener información espacial, lo que no les permite realizar un dibujo o una representación gráfica de un problema e interpretarla o, dada una representación, analizarla según una situación problema dada.
Inferencias o asociaciones incorrectas, lo que ocasiona que se apliquen propiedades matemáticas cuando no corresponde o que se “generalicen” algunas de ellas, por ejemplo, leyes de potencias, propiedades de los logaritmos o el método de resolución de ecuaciones lineales.
Recuperación de un esquema previo, el cual no es aplicable al problema que se está resolviendo, pero que por su similitud le induce a su uso, por ejemplo, la eliminación de paréntesis de una operación independientemente del signo que le antecede, aplicación del procedimiento de multiplicación de binomios para suma de binomios, ley de signos, entre otros.
Cálculos incorrectos o accidentales debido a la ausencia de estrategias para la evaluación de su quehacer, por ejemplo, errores de signo.
Deficiencias en la construcción o ausencia de conocimientos previos, por ejemplo, del concepto de ángulo recto y triángulo rectángulo.
Lo mostrado por el estudiantado evidencia, además, que no hay un dominio adecuado de los contenidos previos, abarcados en secundaria, y que son considerados por el personal docente como la base para el desarrollo de los primeros cursos de la disciplina a nivel universitario, por lo que muchos asumen este conocimiento y solo hacen un breve “repaso”.
Aunque la determinación de las posibles causas de los errores mostrados por el estudiantado no se abordó en este artículo, pues se reporta únicamente el análisis de los errores a partir de las pruebas, para futuros estudios se podría complementar los datos obtenidos con algunas entrevistas a profundidad y el seguimiento de algunos miembros del alumnado durante el desarrollo de los primeros cursos de matemática a nivel universitario.
Sin embargo, son varias las causas que podrían estar relacionadas con los errores y en las cuales valdría profundizar, tales como la formación matemática y pedagógica del personal docente de secundaria, las estrategias didácticas empleadas por estos en el desarrollo de las clases, deficiencia en el uso de distintas representaciones para el aprendizaje de un concepto y notación matemática, dificultades asociadas al aprendizaje de contenidos matemáticos específicos, poca prevalencia en el tiempo de los conceptos matemáticos en el estudiantado, aprendizaje de procesos algorítmicos incorrectos, uso de la calculadora sin ninguna interpretación de los resultados, entre otros, así como la influencia o existencia de diferencias por género, lugar de procedencia y modalidad académica de la institución de la cual se egresó de secundaria.
Desde esta perspectiva, se hace necesario que a nivel universitario se establezcan estrategias, tanto curriculares como extracurriculares, que permitan identificar los errores matemáticos que posee el estudiantado, plantear acciones para su atención y corrección y garantizar en ellos las bases necesarias para enfrentar los cursos de la disciplina en este nivel educativo. A nivel universitario, identificar los errores matemáticos con los que el alumnado ingresa a los primeros cursos en el área, aporta información importante sobre las dificultades y deficiencias conceptuales que posee cada educando y permite el planteamiento de planes remediales para la construcción de conocimientos de mayor dificultad en áreas como precálculo, cálculo, estadística, probabilidad, ecuaciones diferenciales, entre otros.
El estudio de los errores debería ser un eje central en el proceso de enseñanza y aprendizaje de la matemática, ya que le permite al personal docente identificar los conceptos o procedimientos en los que el estudiantado posee deficiencias o no ha logrado la comprensión adecuada.
El personal docente no puede centrar su retroalimentación del proceso de evaluación en calificar una prueba o ejercicio, establecer si este es correcto o no y asignar una nota o puntaje. Este proceso debe ir más allá de lo anteriormente descrito, debe complementarse con el análisis de los tipos de errores realizados e identificar en cuáles aspectos el estudiantado requiere ayuda y profundización. La comprensión y construcción de conocimientos más complejos en el alumnado se realiza con base en los conocimientos previos que poseen, por lo que el error en el aprendizaje de unos impacta en la construcción de los otros. Si el error no se atiende en forma oportuna, este se trasladará a los nuevos conocimientos y dificultará el aprendizaje.
La concepción del error como indicador para una sanción o censura debe ser transformada. Esta debe reorientarse para ser considerada como una guía, que sirva tanto al personal docente como al estudiantado en el proceso de enseñanza y aprendizaje. En este sentido, identificar y analizar los errores que comete el alumnado le permite al personal docente recolectar evidencias sobre las dificultades de estos y las áreas en las que requiere refuerzo, y utilizar este bagaje para la creación, planteamiento y ejecución de estrategias didácticas encauzadas a corregir los errores y resolver carencias. Lo anterior, con el propósito de fortalecer y reforzar los conocimientos previos necesarios para la construcción de otros más complejos.
El personal docente de matemática no puede pretender erradicar los errores en el proceso de enseñanza y aprendizaje de la disciplina, ya que esto es imposible. Por ello, los errores no pueden considerarse como hechos negativos y de rechazo, sino apoyarse en ellos para profundizar en el pensamiento matemático de sus estudiantes. Mediante actividades de diagnóstico y seguimiento del avance del estudiantado, el personal docente puede promover, dentro del trabajo de clase, actividades que propicien la autocrítica, revisión, reflexión y retroalimentación de cada educando a partir de sus errores, con el propósito de enmendarlos y fortalecer el proceso de aprendizaje. El personal docente, dentro de esta nueva conceptualización del error como herramienta didáctica, se convierte en un facilitador y generador de actividades de aprendizaje que confronten a cada educando con su conocimiento, sus errores y faciliten la sustitución de ideas, procedimientos y conceptos inexactos.
























































