En la actividad física tiene múltiples beneficios para la salud (Warburton & Bredin, 2017); sin embargo, en estudiantes universitarios se ha reportado en niveles insuficientes (Hoyos et al., 2011; Morgan & Elizondo, 2016; Sinclair et al., 2005). Las razones pueden ser múltiples y pueden tener que ver con el proceso psicosocial que lleva, en principio, a tomar la decisión de estar físicamente activo, actuar y, eventualmente, mantener un estilo de vida saludable.
Lamentablemente, y pese a la enorme cantidad de estudios y a las más de ocho decenas de teorías sobre conductas de salud (Davis et al., 2015; Kwasnicka et al., 2016), es mucho lo que todavía falta por conocer del proceso psicosocial que lleva a practicarlas (Duan et al., 2016; Sheeran & Webb, 2016). Parte del reto tiene que ver con describir mejor el proceso y analizar sus implicaciones prácticas. Un paso ineludible para una descripción más precisa del proceso incluye esfuerzos de integración teórica. Hay muchos modelos; algunos describen el cambio en términos de una secuencia de etapas; otros lo describen como un continuo. En qué medida la integración de modelos puede ayudar a caracterizar mejor el proceso de cambio aún está por verse, y este manuscrito constituye un esfuerzo en esa dirección.
El Modelo Transteórico, el Modelo Procesual de Acción en Salud, y la caracterización de etapas de cambio
Como se mencionó, para dar cuenta del proceso que lleva hacia a la práctica de conductas de salud se han desarrollado una gran variedad de modelos (Davis et al., 2015). Esa amplia variedad puede resumirse en dos categorías: 1) los modelos de etapas, que describen el cambio en términos de una secuencia de etapas o mentalidades que se asumen como discretas y cualitativamente distintas (Duan et al., 2016; Schwarzer, 2008), y 2) modelos no etápicos, también llamados “de continuo” (Schwarzer, 2008; Velicer & Prochaska, 2008), según los cuales un individuo es ubicado dentro de un rango que refleja las posibilidades de que se lleve a cabo la acción, sin que se asuma la existencia de mentalidades, cualitativamente distintas, a lo largo del proceso.
El ejemplo prototípico de los modelos de etapas es el Modelo Transteórico (MT) (Prochaska & DiClemente, 1982, 1983, 2005), según el cual las personas atraviesan cinco en el proceso de cambio:
Precontemplación (PC), que es un momento en el que las personas no han tomado la decisión de cambiar su conducta, ni consideran hacerlo en el futuro previsible. En esta etapa, las personas no son conscientes de su problema, aunque podrían tener un deseo vago de cambiar.
Contemplación (C), que es el momento en el que las personas empiezan a considerar el cambio y van percibiendo más ventajas o pros en él, aunque todavía perciben suficientes desventajas o contras como para no decidirse. Lo anterior puede ir acompañado de ambivalencia.
Preparación (PR), a veces también llamada etapa de determinación, es el momento en el que las personas han tomado la decisión de cambiar y tienen la intención de hacerlo en el futuro cercano. Típicamente, las personas ya tendrían algunos planes de cómo cambiar, aunque todavía no actúen.
Acción (A), es el momento en el que las personas han hecho modificaciones evidentes en su estilo de vida en el pasado cercano (entendido como los últimos seis meses). Usualmente, se utiliza un criterio para definir qué modificación de comportamiento vale como “acción” (por ejemplo, para actividad física, una determinada frecuencia e intensidad de esta).
Mantenimiento (M), es el momento en el que se consolida el cambio y se evitan recaídas. Se supone que en esta etapa las personas se sienten más confiadas en sus capacidades de comportarse saludablemente y resistir las tentaciones, y perciben más pros y menos contras del cambio. Usualmente, se considera que si las personas llevan practicando la conducta saludable por más de seis meses se ubican en esta etapa.
Se alega que una de las implicaciones prácticas es que habría que ajustar las intervenciones a las etapas en las que están los individuos para lograr que estos obtengan mejores resultados (Krebs et al., 2018). Sin embargo, y pese a los resultados positivos que el MT parece tener en intervenciones enfocadas en actividad física, evidencia metaanalítica sugiere que el constructo de “etapas de cambio” no tiene un papel tan relevante en las intervenciones y que los efectos se deben a otras variables del modelo (Romain, Bortolon et al., 2018).
El MT propone una amplia lista de variables, además de las etapas (Romain, Bortolon et al., 2018) , donde se incluye el denominado balance de decisión, los procesos experienciales y conductualesde cambio, la autoeficacia y las tentaciones situacionales (para más detalle de todas las variables del modelo, revisar Prochaska & DiClemente, 2005). En las transiciones entre algunas de estas etapas sería esperable que variables específicas muestren diferencias significativas con una explicación teórica; un ejemplo bastante claro es a conducta. Es esperable que entre la etapa de preparación y la de acción los niveles de conducta se incrementen de forma marcada. Para otras variables, como la autoeficacia, aunque en general se esperan diferencias entre la primera y la última etapa, el MT no especifica un momento en el que deba darse un cambio o diferencia marcada.
El ejemplo clásico usado para describir modelos no etápicos, de continuo, es la Teoría del Comportamiento Planificado (TCP [Ajzen, 1985, 1991]), según la cual el predictor más inmediato y relevante del comportamiento son las intenciones conductuales. Las intenciones, a su vez, son predichas por, y formadas a partir de, normas de grupo (norma subjetiva), actitudes y control conductual percibido (para una presentación más amplia de la teoría, revisar Ajzen, 1991). La TCP no propone la existencia de ninguna etapa, por lo que desde este modelo no se formulan hipótesis sobre las diferencias que las variables deben mostrar de una fase a otra. En este estudio no se utiliza la TCP. No obstante, el otro modelo que se usa como base en este artículo tiene semejanzas con la TCP.
El Modelo Procesual de Acción en Salud (MPAS, o HAPA, por sus siglas en inglés [Schwarzer, 2008]) puede ser considerado un modelo de etapas, aunque en ocasiones se argumenta que es un híbrido (ver detalles en Schwarzer, 2008) , pues comparte características con la TCP. El MPAS tiene dos propuestas distintas de etapas, ambas son más parsimoniosas que la propuesta del MT. Por un lado, se describe el proceso en términos de dos etapas: 1) una motivacional, que involucra variables que llevan hacia la formación de una intención; y 2) una volitiva, que involucra la traducción de intenciones a acción, mediante un conjunto de estrategias de autorregulación. En una propuesta alternativa, a la etapa volitiva se le divide en dos según el tipo de individuos que la conforman: 2a) personas que tienen intenciones, pero aún no actúan (“intenders”) y 2b) personas que ya se encuentran actuando (“actors”). En esta última formulación, se consideraría al MPAS un modelo trietápico.
Desde un punto de vista estructural, el MPAS, al igual que la TCP, propone que las intenciones son formadas a partir de tres variables, solamente que el conjunto de predictores es distinto (Schwarzer, 2008): 1) autoeficacia de acción (percibirse capaz de empezar a actuar), 2) expectativas de resultado (consecuencias esperadas de la acción) y 3) percepción de riesgo (probabilidades percibidas de un riesgo contra la salud). Por otro lado, a diferencia de la TCP, el MPAS no supone que las intenciones sean el antecedente más relevante y próximo de la conducta, sino que propone un conjunto de variables postintencionales que servirán para que el individuo se autorregule y traduzca intenciones en acción: en concreto, planes de acción (instrucciones de cómo, cuándo y dónde actuar), planes de afrontamiento (planes de cómo afrontar barreras anticipadas a la acción), autoeficacia de afrontamiento (creencias sobre las capacidades de uno para lidiar con barreras) y control de la acción (cuyo componente clave es el automonitoreo).
Investigadores posicionados desde modelos continuos han tratado de defenderlos y sepultar modelos de etapas como el MT (West, 2005), mientras que investigadores posicionados desde modelos de etapas sugieren retirar modelos continuos, como la TCP (Sniehotta et al., 2014), sin que exista a la fecha una clara opción vencedora. Se discute aún si existen en realidad etapas o solamente seudo etapas. La mejor manera de resolver esta disputa es de forma empírica, sustentada en alguna estrategia analítica que permita discernir si los datos apoyan o no la existencia de estas. Para hacerlo, con datos transversales, Sutton (2000) propuso contrastes planeados de medias y análisis de tendencias, inspirados ambos en hipótesis con sentido teórico. Esta estrategia ha sido utilizada en amplia variedad de estudios sobre actividad física (Duan et al., 2016; Lippke et al., 2009; Lippke & Plotnikoff, 2006, 2009) y otras conductas de salud (Armitage & Arden, 2002, 2007; Lippke & Plotnikoff, 2009; Sniehotta et al., 2005). Varios de estos estudios han sido realizados utilizando una combinación de modelos, lo cual implica retos y oportunidades de integración. En el siguiente apartado se aborda lo que puede ganarse en conocimiento si la propuesta de etapas del MT es examinada usando variables del MPAS.
Integración de modelos: ¿qué puede aportar el Modelo Procesual de Acción en Salud a la propuesta de etapas del Modelo Transteórico?
La integración de modelos ha sido parte del campo de los estudios psicosociales de conductas de salud a tal punto que algunos de los modelos más populares son producto de la integración de teorías previas (De Vries, 2017) y se han identificado diversas ventajas de la integración teórica (De Vries, 2017; Lippke & Plotnikoff, 2009). La cantidad de teorías y constructos usados en el campo de las conductas de salud es enorme; según Michie et al. (2014), hay por lo menos 83 teorías y 1700 constructos usados para dar cuenta de comportamientos de salud. La integración de teorías podría ayudar a identificar cuáles son los constructos clave y, en ese tanto, promover la parsimonia. Sin embargo, los esfuerzos de integración no deben pasar por alto la riqueza de cada modelo (Teixeira, 2016). Por el contrario, debe haber un esfuerzo minucioso por describir qué es exactamente lo que se está integrando de uno y otro modelo y qué le puede aportar uno al otro.
Para esta propuesta, del MPAS se toman en cuenta las siguientes variables: la autoeficacia de acción, las intenciones, los planes de acción, los planes de afrontamiento, el control de la acción, y la conducta de actividad física. Puede argumentarse que algunas de estas variables también están en el MT. En específico, tanto autoeficacia como conducta están en ambos modelos (Prochaska & DiClemente, 2005; Schwarzer, 2008) y en ambos se asume que a lo largo del proceso estas deben aumentar. Para el caso de autoeficacia, ni uno ni otro modelo refieren explícitamente que hay una etapa en la que esta deba aumentar marcadamente (Prochaska & DiClemente, 2005; Schwarzer, 2008); sencillamente, no formulan hipótesis al respecto.
Para el caso de la conducta, en el MT explícitamente se espera un incremento de nivel de esta en la etapa de acción (en comparación con etapa de preparación [Prochaska & DiClemente, 2005]). Esto es semejante a la propuesta trietápica del MPAS: después de la etapa de los “intenders” viene la de “actors”, en la que evidentemente se esperan niveles más elevados de conducta (Schwarzer, 2008).
Hay otra variable que está de forma implícita en el MT. Se describe la toma de decisión de forma semejante a como el MPAS habla de formación de intenciones, y refiere que en la etapa de preparación una decisión de actuar ya ha sido tomada, aunque todavía no se actúa (Prochaska & DiClemente, 2005), lo que equivale a afirmar que una intención ha sido formada. Esto invita a suponer que debe haber incrementos en los niveles de intención desde la precontemplación y, eventualmente, desde la contemplación hacia la etapa de preparación. En términos del MPAS, este incremento ocurriría desde la etapa de motivación hacia la etapa de los “intenders”.
Hay otro subconjunto de variables dentro del MPAS que no están en el MT y que pueden, potencialmente, enriquecerlo. Estas incluyen los planes de acción, los planes de afrontamiento y el control de la acción. El MPAS, cuando propone estas variables, no lo hace usando el marco conceptual de cinco etapas del MT, pero se asume que los planes (de acción y de afrontamiento) se formulan una vez que ya existe la intención a actuar (Reyes Fernández et al., 2016). En la versión trietápica del MPAS, los planes deberían presentar un nivel más elevado entre la etapa de “intenders” y la de “actors” (en comparación con la etapa de motivación), ya que ayudan a traducir intención en acción. Esto podría plantearse, en términos de la MT, como que los planes de acción y afrontamiento deberían tener un incremento en la transición entre la etapa de preparación y la de acción.
Para el control de la acción, desde el MPAS solo se espera que este cobre relevancia para predecir conducta luego de que se han formado intenciones y planes (Reyes Fernández et al., 2015; Schwarzer, 2008), lo que podría ser en la etapa de “actors”, pero no existe un supuesto explícitamente formulado de qué niveles de control de la acción habrá en etapas previas ni de cuán marcado debería ser el cambio de “intenders” a “actors” (o, en términos de la MT, de la preparación a la acción).
Examen sobre la existencia de etapas y sus antecedentes con actividad física
Partiendo del supuesto de que las etapas son discretas y cualitativamente distintas, Sutton (2000) argumentó que un criterio para comprobar su existencia es la presencia de tendencias no lineales de medias a través de las supuestas etapas. A estas tendencias, que podrían ser cuadráticas, cúbicas, cuarticas o de niveles superiores, les denomina “patrones de discontinuidad” (en el Apéndice se incluye una representación gráfica de diversas tendencias polinómicas, para el lector poco familiarizado con estas).
Resulta importante agregar que el patrón de medias que se encuentre debe tener sentido teórico para ser considerado como evidencia de la existencia de etapas. Si se encuentra “discontinuidad”, pero no existe una justificación o sentido teórico que la sustente, entonces las evidencias empíricas son insuficientes para apoyar la existencia de un patrón etápico en la variable estudiada. Sutton (2000) argumenta que si, por el contrario, el patrón de medias que se encuentra a través de las supuestas etapas es lineal, es indicativo de seudo etapas; es decir, lo que existe en realidad es un continuo y los “bordes” entre las supuestas etapas son, más bien, arbitrarios.
Ahora bien, cuando lo que se propone es la existencia de múltiples etapas, puede ser que la tendencia sea lineal entre algunas medias y, entre otras, no lineal. Por ende, entre algunas medias podría haber indicios para sustentar la existencia de etapas. Los supuestos teóricos no necesariamente van a exigir que haya discontinuidad para todas las variables entre todas las etapas. Eso dependerá de los supuestos o caracterización teórica de cada etapa.
Originalmente, el MT fue formulado antes de que Sutton (2000) propusiera una estrategia analítica para examinar la existencia de etapas, y en su formulación original no necesariamente tiene hipótesis para cada uno de los posibles resultados de la aplicación de la metodología. La propuesta de Sutton representa, más bien, una oportunidad para el desarrollo teórico del MT. Teniendo eso en cuenta, en el siguiente apartado se presentan las hipótesis que se han esbozado en la introducción. No obstante, conviene primero revisar algunos antecedentes de la aplicación de la metodología de Sutton (2000).
La Tabla 1 resume los estudios antecedentes que se han podido identificar sobre el patrón de medias de algunas de las variables de interés, a través de la propuesta de etapas del MT aplicada a actividad física. Como puede observarse, para el caso de la autoeficacia, en general, las medias de las últimas etapas son superiores a las primeras, con lo que se satisface la vaga predicción desde el MT. Sin embargo, las tendencias de las medias, aunque incluyen la linealidad, consideran tendencias no lineales. Se desconoce si se ha formulado alguna justificación teórica que permita dar cuenta de porqué aparecen patrones no lineales.
Para el caso de la conducta, como se observa en la Tabla 1, aunque hay antecedentes que reportan mayores niveles de actividad física en la etapa de acción al compararla con la de preparación, como se puede hipotetizar desde la teoría, otros antecedentes reportan esta diferencia solo entre acción y mantenimiento. Se desconoce alguna justificación teórica de esta inconsistencia en resultados. Hay evidencia de tendencias que son en parte lineales (entre algunas de las etapas) y en parte no lineales (cuadráticas, entre algunas etapas).
Tabla 1 Resultados de estudios antecedentes sobre patrones de discontinuidad en las variables de interés, aplicadas a actividad física y la propuesta de etapas del MT
| Contrastes de etapas | Tendencias significativas | |
| Autoeficacia | PC<C<PR<A<M (Marshall & Biddle, 2001) PC=C<PR=A<M (Lippke et al., 2007). PC<C=PR=A<M (Lippke & Plotnikoff, 2006, 2009). PC=C=PR<A=M (Duan et al., 2016). | Lineal (Duan et al., 2016; Lippke & Plotnikoff, 2006, 2009). Cuadrática (Duan et al., 2016; Lippke & Plotnikoff, 2006, 2009). Cúbica (Lippke & Plotnikoff, 2006, 2009). |
| Intenciones | PC<C<PR=A=M (Duan et al., 2016; Lippke et al., 2009). PC<C=PR<A<M (Lippke et al., 2007). PC<C=PR=A=M (Lippke & Plotnikoff, 2009). | Lineal (Duan et al., 2016; Lippke et al., 2009; Lippke & Plotnikoff, 2009). Cuadrática (Duan et al., 2016; Lippke et al., 2009; Lippke & Plotnikoff, 2009). Cúbica (Lippke & Plotnikoff, 2009). Cuartica (Lippke et al., 2009; Lippke & Plotnikoff, 2009) |
| Planes | PC=C<PR<A=M (Lippke et al., 2009). PC=C<PR=A=M (Duan et al., 2016) | Lineal (Duan et al., 2016; Lippke et al., 2009). Cuadrática (Duan et al., 2016; Lippke et al., 2009). Cúbica (Lippke et al., 2009) |
| Conducta | PC=C=PR<A<M (Lippke et al., 2009). PC=C=PR=A<M (Lippke et al., 2007; Lippke & Plotnikoff, 2009). | Lineal (Lippke et al., 2009; Lippke & Plotnikoff, 2009). Cuadrática (Lippke et al., 2009; Lippke & Plotnikoff, 2009). |
Nota. PC = precontemplación, C = contemplación, PR = preparación, A = acción, M = mantenimiento.
La última de las variables que se puede considerar como parte del MT son las intenciones. En todos los cuatro estudios identificados y reportados en la Tabla 1 hubo incremento de precontemplación a contemplación, pero solo en dos de estos hubo incremento de contemplación a preparación, como podría esperarse desde el MT. Las tendencias polinómicas presentaron tanto evidencia de linealidad como de no linealidad o discontinuidad.
Para las variables que únicamente están dentro del MPAS se encontraron antecedentes enfocados en planes (Tabla 1) que no diferencian entre los de acción y los de afrontamiento, aunque las medidas utilizadas corresponden a planes de acción (Duan et al., 2016; Lippke et al., 2009). No se encontraron antecedentes para el control de la acción.
Uno de los antecedentes muestra incrementos en los planes tanto de contemplación a preparación como de preparación a acción. En otro antecedente, solo hubo un incremento en los planes, de contemplación a preparación. Debe recordarse que desde la teoría cabría esperar un incremento desde la preparación a la acción, pero este último antecedente no se ajusta con este supuesto. En todos los estudios hubo evidencia tanto de tendencias polinómicas lineales como de tendencias polinómicas no lineales, lo que sugiere que hay parte del proceso que es continuo, pero parte del proceso no lo es.
Para resumir, para las variables que constituyen el foco de interés del presente manuscrito, los antecedentes identificados que utilizan la propuesta metodológica de Sutton (2000) reportan resultados que, en alguna medida, se acercan a los supuestos teóricos esbozados en la introducción. En el siguiente subapartado se plantea de forma más explícita tanto el objetivo como las hipótesis del presente estudio, tomando en consideración tanto aspectos teóricos como antecedentes reportados.
Este estudio
Se propuso, en línea con la metodología descrita por Sutton (2000) y en investigación basada en ella (Duan et al., 2016; Lippke & Plotnikoff, 2009; Sniehotta et al., 2005), un estudio transversal correlacional con estudiantes universitarios. El objetivo del estudio fue examinar patrones de continuidad o discontinuidad de variables del MPAS (autoeficacia, intenciones, planes de acción, planes de afrontamiento y conducta de actividad física) a través de las etapas de cambio del MT y, así, valorar en qué medida la evidencia coincide con supuestos teóricos sobre la existencia de etapas de cambio. Las hipótesis para cada una de estas variables fueron las siguientes:
1. Autoeficacia de acción. Por el planteamiento teórico poco específico, la cual detalla que los niveles de autoeficacia deberían ser mayores al final del proceso de cambio, se espera el siguiente patrón de medias: PC ≤ C ≤ PR ≤ A ≤ M; PC < M. La tendencia de medias podría ser lineal o de discontinuidad (cuadrática o mayor): no se cuenta con el conocimiento teórico suficiente para especificar si se esperan resultados que sugieran un patrón etápico o no para esta variable.
2. Intenciones. La descripción de las etapas del MT permite suponer que, ya sea de la precontemplación, o de la contemplación a la preparación, debe haber un incremento de intenciones, sin que sea claro si luego debe haber incrementos o solo sostenimiento de los niveles de intenciones. Lo anterior es consistente con el siguiente patrón de medias: PC ≤ C ≤ PR ≤ A ≤ M; PC < M. La diferencia esperada entre, ya sea la etapa de precontemplación o la de contemplación y la etapa de preparación, podría hacer suponer que debe haber una tendencia de discontinuidad (por lo menos, cuadrática), lo que significa que se espera un patrón etápico.
3. Conducta. La descripción de etapas del MT permite suponer que debe haber un incremento de la conducta entre la preparación y la acción, lo que sería consistente con el siguiente patrón de medias: PC ≤ C ≤ PR < A ≤ M; PC < M. La diferencia esperada entre preparación y acción es consistente con patrones de discontinuidad (una tendencia cuadrática o superior), lo que significa que suponemos un patrón etápico.
4. Planes de acción. Teóricamente, podrían esperarse incrementos de la preparación a la acción, aunque antecedentes sugieren incrementos de la contemplación a la preparación (y estabilidad entre otras etapas). Lo anterior sería consistente con el siguiente patrón de medias: PC ≤ C ≤ PR <A ≤ M; PC < M. La diferencia esperada entre preparación y acción es consistente con patrones de discontinuidad (una tendencia cuadrática o superior), lo que significa suponer un patrón etápico.
5. Planes de afrontamiento. Teóricamente, podrían esperarse incrementos de la preparación a la acción, aunque antecedentes sugieren incrementos de la contemplación a la preparación (y estabilidad entre otras etapas). Lo anterior sería consistente con el siguiente patrón de medias: PC ≤ C ≤ PR < A ≤ M; PC < M. La diferencia esperada entre preparación y acción es consistente con patrones de discontinuidad (una tendencia cuadrática o superior). Es decir, se hipotetiza un patrón etápico.
6. Control de la acción. Por el razonamiento teórico expuesto en la introducción, se espera un incremento del control de la acción entre las etapas de la preparación y de la acción; sin embargo, la teoría no brinda elementos para especificar qué esperar entre las otras etapas, si mantenimiento de los niveles o incremento. Por ello, el patrón de medias formulado como hipótesis es el siguiente: PC ≤ C ≤ PR < A ≤ M; PC < M. Lo anterior hace que ambos, patrones de discontinuidad o patrones de continuidad, sean esperables en las tendencias polinómicas de esta variable. Es decir, no se tiene claridad sobre si esperar o no un patrón etápico.
Método
Participantes y procedimientos
Se invitó a participar a estudiantes universitarios a un estudio sobre conductas de salud; vale la pena aclarar que este manuscrito se enfoca solo en las variables relativas a actividad física del estudio referido. Por limitaciones de acceso, el muestreo fue a conveniencia, aunque se procuró contar con participantes de diversas disciplinas. Para invitar y reclutar participantes, se contactó a estudiantes en asociaciones de estudiantes y aulas, previa coordinación con las correspondientes autoridades. A las personas que mostraron interés se les presentó el formulario de consentimiento informado, y quienes consintieron en participar procedieron a llenar el cuestionario del estudio. Se contó con la aprobación previa de un comité de ética y se respetó la correspondiente normativa en materia de investigación con seres humanos en Costa Rica.
Los participantes fueron N = 491, con una edad de M = 22.5 años (DT = 6.57), un poco más de la mitad fueron mujeres (55.1%; hombres = 43.2%; otro = 1.6%), la mayoría eran costarricenses (92%; otra nacionalidad latinoamericana o del Caribe = 4.4%; Europa o Estados Unidos = 2.4%). Las áreas de estudios de las personas participantes fueron Ciencias Sociales (29.5%), Ingenierías (16.5%), Ciencias Naturales (16.3%), Artes (10.3%), Salud (9.5%), Letras y Humanidades (8.3%), Ciencias Económicas
(6.4%) y Educación (3.1%). La mayoría refiere ser “blanco-mestizo” (84.6%), seguido de “mulato” (10.1%) y otras (5.2%).
Instrumentos
Para la medición de la autoeficacia, las intenciones, los planes de acción, planes de afrontamiento, y el control de la acción se siguieron las indicaciones de operacionalización provenientes del MPAS (Schwarzer, 2008), con varios ítems para cada una de estas variables y opciones de respuesta tipo Likert de cuatro puntos, cuyas respuestas se promediaban para obtener un puntaje total. Las medidas del MPAS ya han sido aplicadas en español, y propiedades de validez y confiabilidad han sido reportadas (Reyes Fernández et al., 2015, 2016).
La autoeficacia de acción fue medida mediante tres ítems (p. ej.: “Estoy seguro de que puedo practicar actividad física regularmente”). La confiabilidad de esta medida fue de α = .80. Las opciones de respuesta iban de “para nada cierto” (1) a “totalmente cierto” (4).
La intención se midió mediante tres ítems (p. ej.: “Tengo la intención de practicar actividad física regularmente”), introducidos por la pregunta “¿Qué intenciones de actividad física tiene usted para las próximas semanas?”. La confiabilidad fue de α = .92. Las opciones de respuesta iban de “completamente en desacuerdo” (1) a “completamente de acuerdo” (4).
Los planes de acción fueron medidos por medio de tres ítems (p. ej.: “Ya he planeado donde practicar actividad física”). La confiabilidad fue de α = .88. Las opciones de respuesta iban de “para nada cierto” (1) a “totalmente cierto” (4).
Los planes de afrontamiento fueron medidos por medio de tres ítems (p. ej.: “Ya he planeado qué hacer si algo interfiere con mis planes”). La confiabilidad fue de α = .93. Las opciones de respuesta iban de “para nada cierto” (1) a “totalmente cierto” (4).
El control de la acción fue medido mediante seis ítems (p. ej.: “…he vigilado constantemente si hago suficiente actividad física”), introducidos por la raíz “durante las últimas semanas”. La confiabilidad fue de α = .88. Las opciones de respuesta iban de “completamente en desacuerdo” (1) a “completamente de acuerdo” (4).
Los minutos semanales de actividad física, de moderada a vigorosa, fueron medidos utilizando los primeros cuatro ítems del Cuestionario Internacional de Actividad Física (Craig et al., 2003). Para calcular el puntaje total, se multiplicaron primero las ocasiones de actividad física moderada a la semana por los minutos por ocasión. Luego, se multiplicaron las ocasiones de actividad física vigorosa a la semana por los minutos por ocasión. Finalmente, se sumaron los productos de ambas multiplicaciones.
Para medir etapa de cambio se utilizó la pregunta original elaborada por Norman et al. (1998) y adaptada a actividad física por Marcus et al. (1992). De esta medida se han reportado evidencias de validez y confiabilidad (Marcus et al., 1992; Sarkin et al., 2001) y hay antecedentes de su uso en español (Hartman et al., 2017; Marcus et al., 2013). Esta versión corresponde con la recomendada por el Centro de Investigación para la Prevención del Cáncer (https://web.uri.edu/cprc/measures/exercise/stages-ofchange-short-form/). En esta se brinda una descripción de actividad física (“Ahora piense en cualquier actividad física de los últimos meses (por ejemplo, caminatas rápidas, aeróbicos, trotar, usar bicicleta, nadar, etc.) realizada para aumentar su condición física. Esa actividad física debe ser hecha de 3 a 5 veces a la semana por 20-60 minutos cada sesión”), luego se presenta la pregunta (“¿Practicas actividad física según esta definición?”) y cinco opciones de respuesta:
Sí, lo he hecho por MÁS de 6 meses.
Sí, lo he hecho por MENOS de 6 meses.
No, pero tengo la intención de hacerlo en los próximos 30 días.
No, pero tengo la intención de hacerlo en los próximos 6 meses.
No y NO tengo la intención de hacerlo en los próximos 6 meses.
Cada una de estas opciones de respuesta se califica, correspondientemente, como “mantenimiento”, “acción”, “preparación”, “contemplación” y “precontemplación”.
Análisis de datos
Se calcularon estadísticas descriptivas (porcentaje de participantes en cada etapa, medias y desviaciones típicas para cada variable, de la muestra general y de las personas en cada etapa). Se realizan también otros análisis, en consonancia con la estrategia propuesta por Sutton (2000), para poner a prueba la existencia de etapas con datos transversales. Esto incluyó la comparación de medias para conductas y variables sociocognitivas por medio de Análisis de Varianza (ANOVA). Igualmente, incluyó contrates planeados y análisis de tendencias polinómicas (Bautista, 2008). En los contrastes planeados, para examinar las hipótesis descritas para cada una de las variables, se compararon las medias de las etapas adyacentes, así como la media de la etapa de precontemplación con la de la etapa de mantenimiento. Esto último se hace con el objetivo de comprobar si, como es esperable teóricamente, los niveles de todas las variables en la última etapa son superiores a los niveles en la primera. En lo que respecta al análisis de tendencias polinómicas, si como resultado de este emergieron solo tendencias lineales, esto se interpretó como evidencia de la existencia de una seudo etapa para la variable en cuestión. Por el contrario, sí se encontraron tendencias cuadráticas o de orden superior (con o sin resultados sugiriendo existencia de linealidad), esto se interpretó como evidencia de discontinuidad. Se considera que la discontinuidad, junto con diferencias con sentido teórico son evidencia de la existencia de etapas (Sutton, 2000). Como en este caso hay cinco niveles de la variable independiente (cada una de las etapas del MT supuestas), las tendencias podrán ser, a lo sumo, cuarticas (ver el Apéndice para una breve descripción de las tendencias posibles). Para el análisis de las tendencias se ajustó por tamaños de muestra desiguales (Lippke et al., 2009). En las comparaciones de medias, y su reporte, se tomó en consideración si hubo o no homogeneidad de varianzas.
Resultados
Resultados descriptivos
Antes de calcular estadísticas descriptivas y de que se hicieran comparaciones, se revisaron los valores perdidos; para ningún reactivo el porcentaje de estos superó el 2%. Como este porcentaje es considerado sin consecuencias (Graham, 2009), los valores perdidos fueron imputados mediante el logaritmo de Maximización de Expectativas (Enders, 2003; Graham, 2009). Las correlaciones entre todas las variables del estudio estuvieron entre r = .17, p < .001 (autoeficacia-actividad física) y r = .67, p < .001 (planes de acción y control de la acción), niveles que no sugieren la existencia de colinealidad entre variables (Tabachnick & Fidell, 2014).
La Tabla 2 presenta las medias y desviaciones típicas para cada una de las variables, tanto de la muestra total como de cada una de las submuestras por etapa. Puede observarse que la submuestra de personas en precontemplación es particularmente pequeña (N = 15, 3.1% de la muestra total), lo que sugiere cautela en la interpretación de resultados. Aun así, las medias en esta etapa aparentan ser inferiores que las medias de etapas posteriores, lo que es esperable teóricamente. Como se refiere más adelante, para la comparación de medias se hicieron ajustes por tamaño de los grupos. Las submuestras con más participantes fueron las de las etapas de mantenimiento (N = 167, 34%) y de contemplación (N= 109, 22.2%).
Tabla 2 Medias y desviaciones típicas generales y para cada etapa
| Media general N = 491 | Precontemplación N = 15 | Contemplación N = 109 | Preparación N = 99 | Acción N = 101 | Mantenimiento N = 167 | |
| Autoeficacia | 3.34 (0.78) | 1.95 (0.64) | 2.92 (0.79) | 3.40 (0.61) | 3.39 (0.62) | 3.66 (0.56) |
| Intenciones | 3.33 (0.89) | 1.60 (0.88) | 2.68 (0.96) | 3.44 (0.70) | 3.51 (0.70) | 3.75 (0.58) |
| Planes de acción | 2.90 (1.04) | 1.20 (0.56) | 2.07 (0.90) | 2.90 (.87) | 3.08 (.90) | 3.48 (.81) |
| Planes de afrontamiento | 2.07 (1.05) | 1.11 (0.30) | 1.49 (0.71) | 1.89 (0.90) | 2.05 (0.95) | 2.65 (1.11) |
| Control de la acción | 2.85 (0.86) | 1.28 (0.42) | 2.16 (0.69) | 2.59 (0.59) | 3.07 (0.64) | 3.46 (0.65) |
| Actividad física | 179.86 (368.06) | 0.13 (0.51) | 34.78 (119.64) | 75.20 (.65) | 271.05 (27.24) | 346.19 (486.71) |
de personas en precontemplación es particularmente pequeña (N = 15, 3.1% de la muestra total), lo que sugiere cautela en la interpretación de resultados. Aun así, las medias en esta etapa aparentan ser inferiores que las medias de etapas posteriores, lo que es esperable teóricamente. Como se refiere más adelante, para la comparación de medias se hicieron ajustes por tamaño de los grupos. Las submuestras con más participantes fueron las de las etapas de mantenimiento (N = 167, 34%) y de contemplación (N= 109, 22.2%).
Comparación de medias y patrones de tendencia
De acuerdo con la prueba de Levene, la homogeneidad de las varianzas solo se pudo sostener para la variable de control de la acción (p > .05). Por ende, para todas las demás se presentan resultados ajustados por tamaño de la muestra.
Para la autoeficacia, el ANOVA sugiere que hay diferencias entre los participantes ubicados en las distintas etapas (F(4, 486) = 39.924, p < .001, η2 = .24). Igualmente se encontraron diferencias entre etapas para las intenciones (F(4, 486) = 56.831, p < .001, η2 = .32), para los planes de acción (F(4, 486) = 60.926, p <.001, η2= .33), para los planes de afrontamiento (F(4, 486) = 30.910, p < .001, η2 = .20), para el control de la acción (F(4, 486) = 98.315, p < .001, η2 = .44) y para la conducta de actividad física (F(4, 486) = 17.832, p < .001, η2 = .13). Estos efectos pueden ser interpretados como grandes, según el criterio de Cohen (1988).
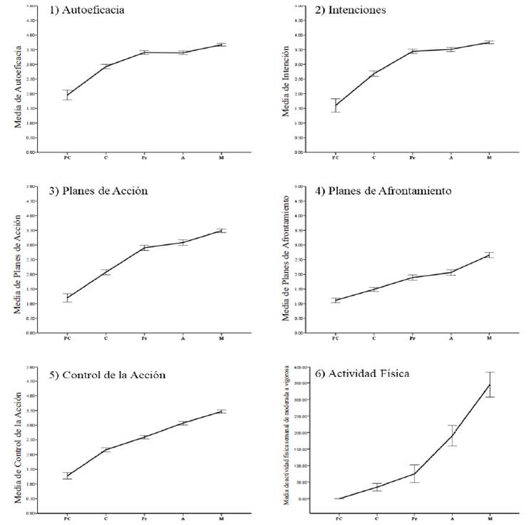
La Tabla 3 permite observar en detalle los resultados de los contrastes entre medias de etapas adyacentes, así como de los contrastes entre la primera y la última etapa y las tendencias polinómicas encontradas para cada variable. Complementariamente, la Figura 1 permite visualizar gráficamente las medias y tendencias de cada variable.
Tabla 3 Resultados de los contrastes planeados (etapas adyacentes y extremas) y tendencias de las variables
| Variable resultado | Diferencia | de medias | entre | etapas | Tendencias | (Valores F) | |||
| PC - C | C -PR | PR - A | A - M | PC-M | Lineal | Cuadrática | Cúbica | Cuartica | |
| Autoeficacia1 | .98*** | .48*** | -.01 | .27** | 1.71*** | 128.582*** | 17.779*** | 11.313** | 2.021n.s. |
| Intención1 | 1.08*** | .76*** | .06 | .24** | 2.15*** | 186.972*** | 32.223*** | 4.339* | 3.790n.s. |
| Planes de acción1 | .87*** | .83*** | .17 | .40*** | 2.28*** | 225.846*** | 12.368*** | 1.312n.s. | 4.179* |
| Planes de afrontamiento1 | .38** | .40*** | .16 | .59* | 1.54*** | 119.830*** | .830n.s. | 1.696n.s. | 1.285n.s. |
| Control de la acción | .88*** | .43*** | .48*** | .39*** | 2.18*** | 217.167*** | 6.025*. | 2.198n.s. | 1.301n.s. |
| Actividad física1 | 34.65** | 40.42 | 115.45** | 155.54** | 346.06*** | 66.999*** | 4.165* | .041n.s. | .123n.s. |
Nota. 1El contraste no asume varianzas iguales entre grupos. Las tendencias de los grupos sin varianzas homogéneas están ponderadas para tener en cuenta las diferencias en el tamaño de estos. PC = precontemplación, C = contemplación, PR = preparación, A = acción, M = mantenimiento. ***p < .001, **p. < .01, *p. < .05
Para la autoeficacia de acción, los resultados de las comparaciones entre etapas adyacentes se resumen de la siguiente manera: PC < C < PR = A < M. Estas diferencias (e igualdad) entre medias se ajustan a lo hipotetizado (PC ≤ C ≤ PR ≤ A ≤ M). Igualmente, y como se esperaba, la media de autoeficacia en la última etapa fue mayor que la media en la primera (PC < M). En cuanto al contraste polinómico, aunque hay evidencia de linealidad, la tendencia también presenta no linealidad (cuadrática y cúbica). Ello sugiere que entre algunas etapas hay continuidad y entre otras no. En las hipótesis se incluyeron ambas posibilidades, por lo que estos resultados se encuentran dentro de lo esperado.
Para las intenciones, las comparaciones entre etapas adyacentes se resumen de la siguiente manera: PC < C < PR = A < M. Estas diferencias (e igualdad) entre medias se ajustan a lo hipotetizado (PC ≤ C ≤ PR ≤ A ≤ M). Además, y como se hipotetizó, la media de intenciones en la etapa de preparación fue superior a la de las dos etapas anteriores, y la tendencia polinómica sugiere discontinuidad entre algunas etapas (hay evidencias de tendencias cuadráticas y cúbicas), lo que estaba dentro de lo esperado. Igualmente, las intenciones en la última etapa son más altas que en la primera (PC < M).
Para la conducta de actividad física, el patrón de medias encontrado fue el siguiente: PC < C = PR < A < M. Esto cabe dentro de lo hipotetizado (PC ≤ C ≤ PR < A ≤ M). En particular, tal y como

Nota. PC = precontemplación, C = contemplación, PR = preparación, A = acción, M = mantenimiento
Figura 1 Medias y errores estándar de cada variable a través de las etapas del MT
la propuesta de etapas permite suponer, hubo un incremento de actividad física desde la etapa de preparación a la de acción (que continuó hacia la de mantenimiento). La diferencia entre las medias de la primera y última etapa también fue confirmada (PC < M) y, como se supuso, emergieron patrones de discontinuidad (cuadrático: el quiebre que se da justo pre y post etapa de preparación), además de la linealidad encontrada entre algunas medias.
Con respecto a los planes de acción, las diferencias de medias encontradas se resumen de la siguiente manera: PC < C < PR = A < M. Esto no calza con lo esperado (PC ≤ C ≤ PR < A ≤ M). Particularmente, como se asumió que los planes se forman después de las intenciones, se pensaba que iba a haber una diferencia entre la etapa de preparación y la de acción, pero ahí se encontró igualdad. Aunque hay evidencias de discontinuidad (tendencias cuadrática y cuartica), estas no coinciden con lo esperado teóricamente; este tema se retoma en la discusión. En cuanto a la diferencia entre la primera y la última etapa, esta fue confirmada (PC < M).
En cuanto a los planes de afrontamiento, el patrón de diferencias de medias que emergió fue: PC < C < PR = A < M. Lo anterior no es consistente con lo hipotetizado (PC ≤ C ≤ PR < A ≤ M), ya que entre la preparación y la acción se esperaba un incremento, y justo ahí lo que se encontró fue igualdad. Tampoco apareció evidencia de discontinuidad en la tendencia polinómica, sino solo de linealidad, lo que no calza las expectativas teóricas planteadas. No obstante, la diferencia entre la primera y la última etapa (PC < M) sí pudo ser confirmada.
Finalmente, el patrón de medias encontrado para el control de la acción fue el siguiente: PC < C < PR < A < M. Esto calza con la hipótesis formulada (PC ≤ C ≤ PR < A ≤ M). En las tendencias polinómicas hay tanto evidencias de discontinuidad (cuadrática) como de continuidad. La discontinuidad encontrada, pre y post etapa de contemplación (ver Figura 1), no corresponde con una diferencia esperada a partir de la teoría. Como sucedió con las otras variables, la diferencia entre la primera y última variable (PC < M) fue confirmada.
El patrón de medias recién reportado para autoeficacia, intenciones, planes de acción y planes de afrontamiento, complementado con una revisión visual de la Figura 1 (paneles del 1 al 4), merece ser resaltado. Para estas cuatro variables los niveles parecieran incrementar desde las etapas iniciales hacia la etapa de preparación (PC < C < PR), seguida por cierta estabilidad entre las etapas de preparación y la de acción (PR = A) y, finalmente, un ligero incremento desde la etapa de acción hacia la de mantenimiento (A < M). Como se detalla más adelante, los patrones de medias de control de la acción y de la conducta de actividad física se diferencian de los de estas cuatro variables y entre sí.
Discusión
Este estudio provee información relevante para abordar un asunto tratado en la literatura especializada sobre modelos psicosociales de conductas de salud. En concreto, trata sobre la existencia o no de patrones de datos que permitan discernir si es o no correcto describir el proceso de cambio en actividad física en términos de etapas o de un continuo.
Para autoeficacia, los resultados calzan dentro de lo hipotetizado y se encontraron patrones de discontinuidad. No obstante, en principio se carecía de una justificación teórica para el patrón específico de discontinuidad encontrado. Ciertamente, la discontinuidad, de tendencia cúbica, parece brindar apoyo para la existencia de etapas. Como se mencionó en la introducción, varios estudios previos también reportan patrones de discontinuidad para esta variable (tendencias cúbicas o, por lo menos, cuadráticas [Duan et al., 2016; Lippke & Plotnikoff, 2006, 2009]). Podría suceder que, como lo plantea el MPAS, la autoeficacia de acción tenga un rol motivacional y, por ende, sus incrementos deban darse en las primeras etapas (antes de la de preparación). Eso ayudaría a explicar la tendencia no lineal y apoyaría la conclusión de que esta variable presenta un patrón etápico.
Los resultados de otras variables se asemejan a los de autoeficacia. Con las intenciones, los hallazgos también coincidieron con lo hipotetizado y el patrón de medias fue semejante al encontrado para autoeficacia, al igual que los patrones de discontinuidad (cúbicos y cuadráticos). En este caso, sin embargo, a partir de la literatura previa (Duan et al., 2016; Lippke et al., 2009) sí se había formulado inicialmente una justificación teórica, particularmente para el incremento en las intenciones, desde las etapas iniciales hasta la etapa de preparación. Esto apoya la conclusión de que las intenciones presentan un patrón etápico.
Los resultados de los planes de acción y de afrontamiento también guardan cierto parecido con los de los autoeficacia e intenciones, aunque las tendencias polinomiales difieren. En todos los casos hay incrementos hacia la etapa de preparación, luego estabilidad y, finalmente, incremento. En general, pareciera que estas variables formaran parte de un mecanismo común que incrementa hacia la etapa de preparación o, para plantearlo en términos del MPAS, hacia la “cúspide” de la etapa de motivación.
La conducta de actividad física presentó un patrón de resultados distinto, pero, también, en consonancia con lo hipotetizado. Como se esperaba, se observó un incremento entre la etapa de preparación y la de acción. En este caso, el incremento continuó hacia la etapa de mantenimiento. En general, el patrón de discontinuidad, justificado teóricamente, brinda apoyo a la propuesta de etapas del MT. Estos resultados coinciden con algunos hallazgos anteriores (Lippke et al., 2009), aunque otros estudios reportan, más bien, un incremento de la etapa de acción a la de mantenimiento (Lippke et al., 2007; Lippke & Plotnikoff, 2009).
Como se refirió en la introducción, tanto la autoeficacia como intenciones y conducta puede argumentarse que son variables que están tanto en el MPAS como en el MT. Los planes de acción y de afrontamiento, así como el control de la acción, solamente están en el MPAS. Por ende, su inclusión dentro de las cinco etapas del MT puede ser particularmente enriquecedora.
Como ya se mencionó, los resultados para los planes de acción y de afrontamiento se asemejan a los de autoeficacia y los de intenciones. Ambos tipos de planes tuvieron un patrón de medias que sugiere que hay un incremento desde la precontemplación hasta la preparación (pasando por la etapa de contemplación), luego permanecen igual entre la etapa de preparación y la de acción e incrementaron de la etapa de acción a la etapa de mantenimiento.
Interesantemente, esto no coincide con lo que se había hipotetizado a partir del MPAS. Dado que desde el MPAS se supone que los planes se formulan luego de que las intenciones se han formado y ayudan a traducir intenciones en acción, teniendo un rol volitivo (Reyes Fernández et al., 2015; Schwarzer, 2008), se esperaba un incremento en los niveles de los planes entre la etapa de preparación y la de acción. Los datos no muestran eso, sino que el incremento de planes en las primeras dos etapas del MT sugiere un rol motivacional.
Algunos estudios han reportado también efectos motivacionales de los planes (Monge-Rojas et al., 2020), más consistentes con el patrón de resultados encontrado. Duan et al. (2016) también reporta incrementos en los planes previos a la etapa de preparación. Estos hallazgos deben ser replicados, tanto para actividad física como para otras conductas. En lo concerniente a los patrones de discontinuidad, debe agregarse que, para los planes de acción, al no coincidir con supuestos teóricos, no pueden tomarse como evidencia de la existencia de etapas. Para los planes de afrontamiento, los patrones que se encuentran son exclusivamente continuos, por lo que con esta variable no se sostiene la existencia de etapas.
La inclusión del control de la acción en este estudio fue particularmente relevante, ya que no se conocen antecedentes que, dentro de la propuesta de etapas del MT, hayan incluido esta variable. El patrón de medias encontrado coincide con la formulación de hipótesis. Sin embargo, la tendencia no lineal encontrada no permite concluir que hubo un patrón etápico, pues se carece de una justificación teórica para el “quiebre” encontrado en la etapa de contemplación.
A manera de resumen, en general, aunque para algunas variables (por ejemplo, intenciones y conducta) los resultados apoyan claramente un patrón etápico, para otras variables (por ejemplo, planes y control de la acción) se encontraron patrones de discontinuidad que no calzaron con las expectativas teóricas y que, eventualmente, sugieren reflexión y reformulación de algunos aspectos teóricos. Llama la atención que esto suceda precisamente con las variables provenientes del MPAS, no incluidas originalmente dentro del MT.
Algunas limitaciones de este estudio deben ser mencionadas. Por un lado, el diseño fue transversal correlacional, lo que sugiere cautela ante cualquier inferencia de causalidad y proceso. Sin embargo, esta investigación puede entenderse como un vistazo a características del fenómeno que deban luego ser examinadas mediante estudios longitudinales y experimentales. Por otro lado, aunque se adecuaron los análisis al tamaño de las muestras, futuros estudios podrían intentar reclutar más participantes que se encuentren en la etapa de precontemplación y tener, así, submuestras por etapas más balanceadas.
También, se debe recalcar que el muestreo fue a conveniencia, por lo que debe evitarse la extrapolación y generalización de resultados a otros grupos. Se espera que futuros estudios puedan contar con muestras más grandes y representativas.
Finalmente, en este estudio se utilizaron medidas de autorreporte, las cuales pueden tener sesgos por problemas de memoria o por deseabilidad social (Durmaz et al., 2020; Renner et al., 2015). Aun así, las medidas utilizadas han sido reconocidas internacionalmente como válidas y confiables (Craig et al., 2003; Marcus et al., 1992; Reyes Fernández et al., 2015; Reyes Fernández et al., 2016; Sarkin et al., 2001; Schwarzer, 2008) y son un primer acercamiento al estudio de la existencia de las etapas e integración de teorías aplicadas a conducta de salud en el contexto costarricense. En particular, la pregunta usada para clasificar por etapas, que se apega a la versión original, podría ser adaptada para apegarse a recomendaciones actuales para la práctica de actividad física (OMS, 2010) y ser usada en estudios futuros que, además, complementen el uso de autorreportes con medidas objetivas.
Con todo y estas limitaciones, el estudio tiene una serie de fortalezas. Investigaciones sobre la existencia de etapas en modelos de conductas de salud no parecen ser frecuentes en América Latina (Davis et al., 2015). El presente estudio contó con una muestra latinoamericana que brinda insumos para el desarrollo teórico en torno al constructo de etapa del MT. Además, la existencia de diferencias en los niveles de diversas variables a través de las etapas ha sido interpretada como evidencia de validez de la medida de etapas antes (Schumann et al., 2002). Por ende, este estudio, al encontrar diferencias, también brinda evidencias de validez de este instrumento en una muestra costarricense y con una versión de la medida en español.
Estos resultados también tienen algunas implicaciones prácticas, pues sugieren cómo deberían estar ciertas variables como para que un individuo alcance momentos avanzados en el proceso de cambio. En general, independientemente de si el proceso deba ser descrito como etápico o de continuo, los resultados sugieren que conviene que tanto las variables motivacionales (autoeficacia e intenciones) como las variables de autorregulación (planes y control de la acción) estén en sus niveles más altos para alcanzar el mantenimiento. Se espera que otros estudios, enfocados en otras conductas, se lleven a cabo en el futuro y contribuyan a un mayor conocimiento del proceso de cambio, así como a una mejor traducción práctica de los desarrollos teóricos.
Contribución de los autores
Benjamín Reyes Fernández contribuyó en el diseño, recolección, análisis, interpretación de los datos y edición del artículo. Derby Muñoz Rojas contribuyó en el diseño, recolección de datos, interpretación y edición del artículo.













