SciELO - Scientific Electronic Library Online

 
vol.17 número29Aplicación de la metodología iRAP y el software ViDA-iRAP en un tramo de autopista en MéxicoMetodología de análisis de la condición del pavimento a partir del cuenco de deflexión índice de autoresíndice de materiabúsqueda de artículos
Home Pagelista alfabética de revistas  

Servicios Personalizados

Revista

Articulo

Indicadores

Links relacionados

  • No hay articulos similaresSimilares en SciELO

Compartir


Infraestructura Vial

versión On-line ISSN 2215-3705versión impresa ISSN 2215-3705

Infraestructura Vial vol.17 no.29 San Pedro de Montes de Oca ene./jun. 2015

 

Artículo científico

Seguridad vial en planes de inversión. Caso de estudio: Ruta Nacional 27, Costa Rica

Considering road safety on long-term investment strategic plans. Case study: National Route 27, Costa Rica

Sergio Andrés Guerrero Aguilera 1  

1 Universidad de Costa Rica, LanammeUCR. sergio.guerreroaguilera@ucr.ac.cr

Resumen:

El trabajo que aquí se presenta se enfoca en generar directrices de inversión desarrollados según el componente de la seguridad vial, con el fin de incorporarlo a un plan integral de inversiones, usando como estudio de caso la Ruta Nacional 27 (San José -Caldera, en Costa Rica).

El elemento de seguridad vial se une a un plan de inversión más integral a través de un análisis detallado de accidentes. El análisis desarrollado incluyó: la clasificación por tipo de accidente, la determinación de tramos de concentración de accidentes (TCA, por sus siglas en español), la corroboración de la existencia de deficiencias en la infraestructura vial en cada TCA por las evaluaciones de seguridad vial y evaluaciones de campo de los parámetros relacionados con la seguridad vial , generando pautas de inversión a través de la determinación de un orden, priorización e intervención de contramedidas según efectividad y costos fundamentadas en la frecuencia y severidad por tipo de accidente.

Para cada TCA se generó un listado de deficiencias en infraestructura por tipo de accidente, las cuales se clasificaron en orden de prioridad e intervención. Los resultados van a generar un apoyo técnico a las políticas de inversión para la asignación de recursos de la seguridad vial, contribuyendo a la toma de decisiones mediante la solución de manera estratégica a las pregunta de ¿Cómo? y ¿Donde? se deben invertir los recursos en el tema de seguridad vial.

Palabras-clave: Gestión; seguridad vial; tramos de concentración de accidentes; priorización; inversión

Abstract:

The work presented here is focused on develop investment guidelines on road safety, in order to incorporate it into a more comprehensive investment plan for a case study (Route 27 San Jose -Caldera, in Costa Rica).

The element of road safety was incorporated to the investment plan through a detailed accident analysis. The analysis developed included: classification by type of accident, determination of accident concentration sections (TCA, for its acronym in Spanish), corroboration of the existence of deficiencies in road infrastructure in each TCA by road safety assessments and field evaluations of road safety related parameters, generating investment guidelines and determination of effectiveness and cost countermeasures based on the frequency and severity of each type of accident.

For each TCA was generated a list of deficiencies in infrastructure, it was able to establish an order of priority of investment and countermeasures intervention for the classification of accidents defined. The results will generate technical inputs for investment policies and resource allocation of road safety. It will contribute to take decisions in order to solve in strategically way the question like How ? and Where ? invest road safety resources.

Key words: Asset management; road safety; accident concentration sections; prioritization; invesment

Introducción

Las inversiones en las carreteras han sido tradicionalmente guidas por la condición de los activos que las componen como los pavimentos, los puentes, muros, drenajes y señales.

Sin embargo, dado que las vías no son un fin en sí mismas, existen nuevos enfoques que señalan la necesidad de considerar la seguridad de los usuarios como principio en la toma de decisiones que guían las inversiones en las redes viales.

La seguridad vial, una preocupación actual de gobiernos y organismos multilaterales, también se debe gestionar y planificar, tal como se hace con los componentes físicos de las carreteras. Debido a esta importancia, en este trabajo se desarrolla un procedimiento que permitirá jerarquizar las actuaciones de seguridad vial en la Ruta Nacional 27 de Costa Rica, con el objetivo de establecer un plan de inversiones que forme parte de un plan integral de mantenimiento y conservación vial de la vía en estudio.

Objetivos

Desarrollar un análisis detallado de accidentes, que permita identificar secciones de carretera con deficiencias en infraestructura relacionadas con la seguridad vial.

Estimar los tratamientos, obras a implementar y costos de inversión desde el punto de vista de seguridad vial.

Elaborar una metodología para priorizar actuaciones en la toma decisiones dentro de un Sistema de Gestión de Activos.

Metodología

La incorporación de la seguridad vial dentro del plan de inversiones propuesto en esta metodología considera un análisis detallado de accidentes en un corredor de estudio a partir del cual se corrobora la incidencia del factor carretera en la ocurrencia del historial de accidentes. Esto se hace, con el fin de generar lineamientos de inversión para la agencia o ministerio de transporte basados en una priorización de la inversión, intervención y selección de contramedidas a implementar en el corredor de análisis.

En la figura 1 se logra observar el diagrama de flujo de la metodología empleada en la presente investigación. Se realizó un registro histórico de accidentes de la ruta de estudio, posteriormente los accidentes se clasificaron por tipo de accidentes y se determinaron tramos de concentración de accidentes (TCA) por kilómetro considerando la clasificación generada. A continuación se revisaron auditorías y evaluaciones de parámetros de seguridad vial realizadas previamente en el corredor de estudio con el objetivo de verificar deficiencias de infraestructura vial en los TCA encontrados. Los lineamientos de inversión en seguridad vial se realizaron mediante el establecimiento de un orden de priorización según tasas de accidentabilidad, intervención según la severidad por tipo de accidente y selección de contramedidas según costos y efectividad de las mismas.

Figura 1: Metodología de incorporación del componente de seguridad vial al plan de inversiones. 

Registro de accidentes

El registro de accidentes debe tener un periodo de estudio mínimo de tres años con el fin de garantizar consistencia estadística y confiabilidad en los datos de análisis y sus proyecciones a futuro. Tampoco se recomienda un análisis de accidentes por un periodo de tiempo prolongado ya que pueden haber variaciones importantes en la geometría de la vía o en el crecimiento del flujo vehicular en la ruta de análisis. (Highway Safety Improvement Program Manual, FHWA 2010).

La información de los reportes de accidentes incluidos en el registro debe ser detallada e indicar en cada uno de los accidentes características como la ruta, el número del kilómetro, la fecha, la hora, el número de parte del evento así como el número de vehículos involucrados, víctimas mortales, heridos de gravedad, heridos leves, daños materiales. Además el informe debe contener una breve descripción del evento, está descripción debe ser realizada por el profesional encargado de velar por el cumplimiento de la normativa vial del país, en la cual se especifican aspectos generales del momento del accidente, condición de la calzada, presencia de peatones y objetos en la vía, excesos de velocidad, irrespeto a señalización vial, salida de la vía y vuelco de vehículos, entre otros.

Cabe recalcar que las definiciones de las severidades de los accidentes registrados deben concordar con las definiciones de gravedad (grave, leve, moderado, daños materiales) que manejan las diferentes instituciones que atienden el post evento del accidente. De lo contrario se podrían generar errores en las proyecciones de accidentes y costos de los mismos, de ahí la importancia de estandarizar una escala de severidad para el análisis de accidentes.

Clasificación por tipo de accidente

Los datos de accidentes son analizados y clasificados según las descripciones realizadas por la autoridad de tránsito en tipos de accidentes según su efecto causal, considerando únicamente los accidentes donde el factor carretera tenga incidencia. La clasificación utilizada en esta metodología fue realizada a partir de criterios de profesionales expertos en el tema de seguridad vial, los criterios se basan en la identificación de palabras claves presentes en las descripciones realizadas por oficiales de tránsito en el levantamiento del accidente. Las palabras claves deben estar asociadas a problemas o deficiencias de la carretera o entorno. Así por ejemplo:

Peatón: Atropello, presencia de peatón en vía.

Salida de vía: Colisión contra postes eléctricos, árboles, cunetas, mallas.

Acceso: Intercambios, rampas de acceso, visibilidad de accesos.

Adelantamiento: Colisión frontal, invasión de carril.

Alcance: Colisión por atrás, tiempo de frenado.

Determinación tramos de concentración de accidentes

Establecida la clasificación de accidentes, se debe realizar un análisis de cada tipo de accidente con el fin de determinar si la frecuencia observada de cada uno de los tipos de accidentes a lo largo del kilometraje del corredor es representativo o no. Para esto se utilizó la metodología Número-Tasa desarrollado por la "Transportation Research Board" (TRB) en 1975 para la determinación de TCA.

El método se basa en el concepto de que, si tanto el número y la tasa de accidentes de un lugar superan en mucho al promedio, se puede tener una razonable certeza de estar ante un registro anormal de accidentes. La metodología es aplicada a cada tipo de accidente y obtendrá como resultado conocer si el tipo de accidente analizado es representativo por kilómetro.

Los requerimientos de datos básicos comprenden: periodo de tiempo, ubicación de los accidentes, longitud de tramos, volúmenes de tránsito y categorías de vías. Además, requiere establecer la ocurrencia media de accidentes correspondientes a cada categoría de camino, por lo que debe calcularse el Número medio de accidentes por kilómetro (Nm) así como el número medio de accidentes por millón de vehículos-kilómetro (es decir la tasa media, Tm).

El método define como un tramo de concentración de accidentes a aquellos cuyos números y tasas de accidentes superen ambos los valores límite. Se tiene que para calcular la frecuencia de accidentes por kilómetro se procede de la siguiente manera:

(1)

(2)

La tasa de accidentes de un tramo i cualquiera se calcula de la siguiente manera:

(3)

Se define la tasa media del sistema de igual manera que la tasa del tramo pero considerando la sumatoria de los accidentes, el tránsito medio y la longitud total de la vía en estudio.

(4)

Por último el método del número-tasa considera que un tramo es peligroso (TCA) cuando:

(5)

Con: kn, kt ≥ 1

Los resultados inducirán a la determinación de secciones de carretera con deficiencias en seguridad vial relacionadas con cada tipo de accidente y se generará una visión general más clara de cuál debe ser el tipo de intervención a implementar en cada sección de carretera analizada.

Evaluaciones de seguridad vial

La ejecución de evaluaciones en campo de seguridad vial en vías ya construidas permite la corroboración de los resultados obtenidos a través de mediciones de parámetros relacionados con la seguridad vial y el análisis estadístico de accidentes. Además las evaluaciones en campo permiten la evaluación más detallada de las deficiencias encontradas, como por ejemplo verificar la consistencia de la señalización, dispositivos de seguridad y riesgos existentes que son factores contribuyentes a la ocurrencia de accidentes. Las evaluaciones de seguridad vial constituyen fundamentos técnicos que permiten determinar las contramedidas necesarias a considerar en las intervenciones por realizar en la vía de estudio.

Evaluación de parámetros relacionados con la seguridad vial

La evaluación de parámetros de seguridad vial busca brindar un diagnostico detallado del estado en que se encuentra la carretera bajo estándares previamente establecidos. Permite relacionar la condición de la vía con ciertos tipos de accidentes, estableciendo si el parámetro podría estar favoreciendo a la generación de accidentes en la sección. Los parámetros seleccionados varían según el interés y la calidad de información disponible, para el caso de estudio, son ejemplos de estos: la vulnerabilidad de suelos, zonas climáticas, fricción, retrorreflexión y velocidades de operación.

Lineamientos de inversión para el componente seguridad vial en plan de inversiones

Priorización inversión tipo de accidente

Determinados los TCA y constatadas las deficiencias de infraestructura vial presentes en las secciones encontradas, se establece un orden de priorización basado en la severidad de los tipos de accidentes analizados. El establecimiento del orden de priorización permite establecer el patrón a seguir en las intervenciones a implementar en el corredor de estudio, optimizando la inversión y la efectividad de las contramedidas a implementar.

La aplicación de estos criterios debe de considerar la información disponible por la agencia de transporte. Se debe seleccionar un parámetro con base en la información registrada; ya sea la cantidad o frecuencia de accidentes, severidad, daños materiales, costos de accidentes registrados, entre otros parámetros.

El criterio aplicado para obtener el orden de inversión se denomina daño de propiedad equivalente y se obtuvo del "Road Safety Manual" (PIARC, 2003). El criterio permite estimar un daño equivalente según la severidad del accidente y el número de accidentes. La normalización del daño se realiza a través de la asignación de factores de peso (wi) que permiten equiparar la severidad de los accidentes a un mismo estándar. Los valores de los factores de peso que han sido sugeridos por la PIARC se muestran en la tabla 1.

Tabla 1: Factores de peso equivalente según severidad del accidente 

Nota: PIARC (2003)

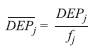
La ecuación 6 calcula el daño a la propiedad equivalente de cada tipo de accidente:

(6)

Donde:

DEPj = Daño a la propiedad equivalente por tipo de accidente.

wi = factores de peso según severidad.

fij = frecuencia de severidad por tipo de accidente.

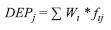
El daño equivalente promedio se obtiene mediante la ecuación 7

(7)

Donde:

DEPj = Daño a la propiedad equivalente por tipo de accidente.

DEPj = Daño promedio equivalente por tipo de accidente.

fj = frecuencia por tipo de accidente.

El tipo de accidente con mayor daño equivalente se considera como el más prioritario en el orden de inversión y así sucesivamente se les asignará un orden a los restantes valores.

Priorización de intervención por kilómetro según tipo de accidente

Definido el orden de inversión de las contramedidas según el tipo de accidente, se define el orden de intervención en cada uno de los kilómetros que presentaron puntos de concentración de accidentes y deficiencias en infraestructura vial que favorecen a la ocurrencia de cada tipo de accidente.

La priorización de los puntos de intervención se realizó basado en la tasa de accidentabilidad (Ti) calculada para la determinación de los puntos de concentración de accidente para cada tipo de colisión mediante la ecuación (3), ya que considera parámetros de cantidad de accidentes y flujo vehicular. El orden de intervención por kilómetro para cada tipo de accidente se realizó en forma descendente en relación a sus respectivas tasas de accidentabilidad, siendo los kilómetros prioritarios los de mayor tasa de accidentabilidad y los de menor tasa los últimos a intervenir.

Selección y Priorización de Contramedidas en Seguridad vial

Determinados los puntos de intervención y el orden de priorización, se deben seleccionar las intervenciones a implementar con el objeto de reducir la cantidad y severidad de los accidentes en el corredor de estudio.

La selección de las contramedidas se realizó en relación al tipo de accidente y deficiencias de infraestructura existente en cada uno de los puntos de intervención de la ruta de estudio. Además la escogencia de las intervenciones debe considerar la efectividad, costos y aplicabilidad de cada una de las contramedidas consideradas a implementar en la ruta de estudio.

Caso de Estudio

El corredor seleccionado para aplicar la metodología para la integración del componente seguridad vial en el desarrollo de un plan estratégico de inversiones corresponde a la denominada Ruta Nacional 27, entre los destinos de San José-Caldera, en Costa Rica. La Ruta Nacional 27 es un proyecto vial actualmente concesionado por el Estado costarricense, según el contrato de concesión de obra pública con servicio público "Proyecto carretera San José - Caldera". (Consejo Nacional de Concesiones, 2001)

La vía tiene una extensión de 78,6 km de longitud comunica las provincias costarricense de San José y Puntarenas, superficie de ruedo en asfalto, dividido en tres secciones con velocidades de operación entre 80 km/h y 100 km/h

Sección I: San José-Ciudad Colón (14.2 km, zona urbana, 4 carriles, dos por sentido, barrera divisoria, 8 intercambios, 11 puentes peatonales, TPD>20 000).

Sección II: Ciudad Colón-Orotina( 38.8 km, zona semi urbana, 2 carriles uno por sentido, 11 intercambios, 2 puentes peatonales, 20 000> TPD >16 000).

Sección III: Orotina-Caldera (23.8 km, zona rural, 2 carriles uno por sentido. 10 intercambios, 1 puente peatonal, 16 000> TPD >12 000).

Se elaboró el historial de accidentes a partir de reportes de accidentes registrados por el concesionario Autopistas del Sol mediante informes de explotación al Consejo Nacional de Concesiones. El periodo de estudio fue comprendido entre los meses octubre 2010 y noviembre 2012 equivalente a dos años de registro de accidentes, lo cual constituye una limitante a la investigación debido a la inexistencia de un historial de accidentes desarrollado por la agencia de transporte en Costa Rica.

La información de accidentes de la RN 27 cuenta con la mayoría de las características que debe contener un reporte de accidente a excepción de la descripción realizada por el oficial de tránsito, ya que la información contenida en los reportes fue tomada de informes elaborados por el concesionario. La tabla 2 muestra un ejemplo de la calidad de información de los informes de explotación.

Tabla 2: Reporte de accidentes para la elaboración del historial de accidentes de la Ruta Nacional 27 

Nota: Autopistas del Sol, (2013)

La RN 27 registró un total de 1073 accidentes a lo largo de los 78,6 kilómetros del corredor San José-Caldera durante el periodo de estudio, (ver tabla 3).

Tabla 3: Diagnóstico general accidentes Ruta Nacional 27 

Nota: Consejo Nacional de Concesiones, (2012)

Un aspecto a destacar en el desarrollo de la investigación es la utilización de Sistemas de Información Geográfica (SIG) que constituyen una herramienta de gran utilidad para el análisis de accidentes, la ubicación georreferenciada de cada uno de los accidentes permite la identificación de zonas de ocurrencia de accidentes así como la posibilidad de representar los distintos tipos de accidentes mediante la creación de mapas georreferenciados que permitan transmitir la información a la agencia de transportes o instituciones de interés.

Establecida la base de datos de accidentes en el periodo octubre 2010-noviembre 2012 se realizó la búsqueda de palabras claves en las descripciones de los reportes y se elaboró una clasificación por tipo de accidente. La clasificación de los accidentes en el caso de estudio RN27 se realizó a partir de las descripciones levantadas en el sitio por operarios de la concesionaria en función de las declaraciones de testigos o usuarios participes en el accidente(ver tabla 4). Lo anterior constituye una limitante de la metodología, al Costa Rica no contar con un historial de accidente actualizado por las autoridades encargadas de velar por el cumplimiento de la ley de tránsito en el país. Como se mencionó anteriormente el reporte de accidentes debe ser elaborado por oficiales de tránsito de cada país con el fin de evitar sesgos estadísticos por la intervención de involucrados en la descripción de la causa del accidente.

Análisis de Resultados

Se observa en la Tabla 4 "Clasificación por tipo de accidentes en la Ruta Nacional 27" que el tipo de accidente con mayor frecuencia corresponde a accidentes por alcance con cerca del 36% del porcentaje total, seguido por accidentes asociados a otras causas y accidentes relacionados a la salida de vehículos con un 12% de los accidentes. De la información procesada otro aspecto que se evidencia es la severidad para cada tipo de accidentes, accidentes por adelantamiento muestran el mayor número de muertes en carretera con 15, en segundo lugar, accidentes por la salida de vehículos con 6 y el atropello de peatones con 5 muertes en el tercer lugar.

Tabla 4: Clasificación por tipo de accidentes Ruta Nacional 27 

Una vez que los datos han sido clasificados por tipo de accidentes, se debe aplicar la metodología de TCA. La metodología Número- Tasa debe ser aplicada a cada kilómetro de carretera agrupando el número de accidentes contemplado en dicho tramo por tipo de accidentes. En la figura 2 se ejemplifica la aplicación de la metodología para el tipo de accidente relacionado con peatones. En la figura se muestra la distribución espacial de los accidentes con peatones en la RN 27, en la Tabla 5 se muestran los resultados de la aplicación de la metodología para la determinación TCA, los valores subrayados en amarillo representan los kilómetros de carretera con mayor tasa de frecuencia (Ni) y de accidentabilidad (Ti) de los TCA encontrados para el tipo de accidentes con peatones.

Figura 2: Mapa de atropellos Ruta Nacional 27. Fuente Guerrero, (2014) 

Para el caso de estudio de la Ruta 27 se recurrió a evaluaciones de seguridad vial realizadas previamente en la Ruta Nacional 27, específicamente refiriéndose al informe LM-AT-181-10 Evaluación de seguridad vial Ruta Nacional Nº 27 Proyecto de Concesión San José-Caldera: Facilidades peatonales, condiciones laterales de la vía y aspectos de la geometría de la carretera, elaborado por el LanammeUCR, ente auditor, en diciembre, 2010. Este informe contempla evaluaciones de seguridad vial en temas de peatones, carriles de aceleración, obstáculos en la vía, deficiencias en el uso de sistemas de contención vial entre otros aspectos.

Tabla 5: Tramos de concentración de accidentes por atropellos Ruta Nacional 27 

Así por ejemplo, de la tabla 5 se observó que para los accidentes con peatón los resultados presentan al tramo comprendido entre el kilómetro siete y ocho como el más crítico, con un 25% de los accidentes ocurridos en esta vía. Este kilómetro contempla el intercambio de Guachipelín (ver figura 3) donde según el contrato de concesión San José-Caldera se debía construir un puente peatonal, pero el mismo fue eliminado del contrato en el balance Económico de Obras Nº 1 según el informe LM-AT-181-10 del LanammeUCR. Además en la figura 3 se logra constatar las condiciones de inseguridad que deben atravesar los peatones para atravesar la carretera en el kilómetro 7+200.

Figura 3: Peatones cruzando en condiciones inseguras, intercambio de Guachipelín. Fuente: LanammeUCR, (2010) 

Otro de los puntos con mayor registro de accidentes es el tramo comprendido entre el Gimnasio Nacional y el Intercambio de Pavas, donde ya se encuentra construido un puente peatonal Sabana cerca al paso a desnivel frente al antiguo Colegio La Salle y por el kilómetro comprendido entre los estacionamiento 31+00 y 32+00 el cual corresponde al intercambio donde recientemente en el año 2013 se contruyó un nuevo puente peatonal.

El procedimiento se repite para cada una de las categorías de accidentes generadas. Los resultados permiten conocer cuáles son los tramos de carretera con mayor problemas por tipo de accidente. La información se complementó con las evaluaciones de seguridad vial con el fin de corroborar la información generada y determinar las secciones puntuales de intervención.

Lineamientos de inversión

Posterior al análisis presentado, se realizó el cálculo del daño equivalente según la severidad de los accidentes registrados a cada uno de los tipos de accidentes analizados previamente. Si bien en Costa Rica no existe un costo económico o social asociado a accidentes con fallecidos, heridos de gravedad o heridos leves, la aplicación de este método busca homogenizar el daño equivalente de cada tipo de accidente según su severidad. Lo anterior, con el objetivo de dar atención prioritaria al tipo de accidente con mayor daño equivalente en la ruta de estudio y así poder establecer un orden de priorización de inversión de recursos en seguridad vial.

El tipo de accidente con mayor daño equivalente se considerará como el más prioritario en el orden de inversión y así sucesivamente se les asignará un orden a los restantes valores. En la tabla 6 se muestran los valores estimados.

Tabla 6: Daño de propiedad equivalente promedio 

Los accidentes con peatones corresponden al tipo de accidente de mayor daño equivalente de la clasificación, por lo que las contramedidas determinadas para este tipo de accidente serían prioritarias en el orden de inversión en el plan. En segundo lugar se establecieron las contramedidas asociadas a los accidentes por adelantamiento, seguido de los accidentes por salida de vía, accesos y por último los accidentes asociados a la fricción y alcance. Estos últimos, pese a ser los accidentes con mayor frecuencia en el registro son los accidentes de menor severidad.

Priorización de intervención por kilómetro según tipo de accidente

La priorización de los puntos de intervención se realizó basado en la tasa de accidentabilidad (Ti) calculada para la determinación de los TCA para cada tipo de colisión. En la tabla 7 se muestra el orden de intervención generado del criterio de la tasa de accidentabilidad aplicado. Así por ejemplo, en el caso de los accidentes con peatones que representan el primer orden de inversión, se observa que el kilómetro de mayor tasa de accidentabilidad es el comprendido entre el kilómetro siete y ocho como se observó en el Tabla 5, por ende, corresponde al primer kilómetro a intervenir según tipo de accidente contemplado en el plan de inversiones; en segundo lugar el kilómetro comprendido entre los kilómetros 31 y 32. De igual forma se aplica el criterio al resto de los tipos de accidentes analizados.

Tabla 7: Orden de intervención por tipo de accidente Ruta Nacional 27 

Selección y priorización de contramedidas en seguridad vial

Costa Rica no cuenta con un documento formal que señale el tipo de contramedidas que deben implementarse en tramos con deficiencias de infraestructura de acuerdo a sus diferentes características. Tampoco se tienen registros de la efectividad de las contramedidas implementadas a lo largo de la red de carreteras del país. Por lo tanto es necesaria la revisión de bibliografía internacional para determinar el parámetro de efectividad de las contramedidas a implementar en las secciones con deficiencias de infraestructura a lo largo del corredor. Si bien la utilización de bibliografía internacional constituye una guía base para países que no cuentan con parámetros de efectividad de contramedidas, es importante mencionar que la selección de estos parámetros debe ser corroborada mediante investigación propia del país de interés dando seguimientos a las contramedidas implementadas con el fin de tropicalizar la efectividad de la contramedidas a la realidad técnica y sociocultural del país.

En la tabla 9 se muestran las contramedidas seleccionadas para las intervenciones de la seguridad vial de la Ruta Nacional 27. La selección contempló las características de la ruta y su aplicabilidad a la misma. Las contramedidas han sido clasificadas por tipo de accidentes y deben ser aplicadas en los tramos que presentan deficiencias de infraestructura vial en relación al tipo de accidente, la escogencia de las contramedidas consideró la efectividad de las mismas. Además se observa en la tabla 8 los distintos factores de reducción de accidentes según la contramedida señalada, estos factores fueron obtenidos a partir de bibiografía internacional (U.S. Department of Transportation Federal Highway Administration, 2008; Elvik, Hoye, Vaa, & Sorensen, 2009). Así por ejemplo para los accidentes con peatones, la implementación de un puente peatonal reduciría teóricamente en 90% la cantidad de atropellos en el punto de intervención y la colocación de señalización preventiva para evitar el paso de peatones entre un 20 y 30 % del total de atropellos.

Tabla 8: Efectividad en las contramedidas a implementar, Ruta Nacional 27 

Nota: "U.S. Department of Transportation Federal Highway Administration, (2008)

Tabla 9: Costo implementación de contramedidas para cada tipo de accidente RN 27 

El costo de las contramedidas determinadas para cada tipo de colisión variará de proyecto en proyecto debido a las condiciones que se presenten. Los costos determinados en la investigación buscan establecer un valor representativo de los valores promedio de cada tipo de intervención para la Ruta Nacional 27. Para ello se revisaron los precios del mercado nacional de cada contramedida.

Los costos de las contramedidas fueron ordenados con base en su valor monetario de menor a mayor, lo cual es asociado a contramedidas aplicables a corto y largo plazo según el presupuesto que se le asigne al componente de seguridad vial en un proyecto o red. En la tabla 10 se muestran los valores designados a cada una de las contramedidas determinadas para reducir la severidad de los accidentes de tránsito, se logra establecer una relación costo-efectividad, donde las contramedidas de mayores costos representan las de mayor efectividad y las de menor costo las de menor efectividad.

Los costos de las contramedidas determinadas para cada tipo de colisión variará de proyecto en proyecto debido a las condiciones que se presenten en función de la vía de estudio. Los costos determinados en esta investigación buscan establecer un valor representativo de los valores promedio de cada tipo de intervención.

Es importante mencionar que la investigación al desarrollar lineamientos de inversión a nivel estratégico, considera tramos de análisis amplios (1 km), por lo que las contramedidas determinadas deben considerar un análisis más detallado para su implementación a nivel de proyecto. Por ejemplo, un aspecto que debe considerarse una vez implementadas las contramedidas a nivel de proyecto es el posible efecto de la migración de accidentes a tramos anteriores o posteriores de la intervención.

Conclusiones

Como hallazgo principal, el desarrollo de la investigación permitió contestar las preguntas de dónde invertir y cómo realizar la inversión, a través de la determinación de TCA con deficiencias en infraestructura vial y el establecimiento de las contramedidas a implementar en dichas secciones. Se debe contestar la pregunta de ¿Cuándo realizar la inversión?, por lo que una de la líneas de recomendación es el desarrollo y aplicación de una metodología de proyección de accidentes necesaria para la toma de decisiones de inversión a lo largo de los 20 años del plan de inversiones a largo plazo. Lo anterior permitirá el desarrollo de distintos escenarios de inversión para realizar una relación costo beneficio de las contramedidas seleccionadas en el corredor.

La creación de lineamientos de intervención en TCA con deficiencias de infraestructura vial mediante implementación de contramedidas relacionadas a dichas deficiencias permite la incorporación del componente de seguridad vial al modelo y generar una visión general de los costos de inversión a nivel estratégico requeridos para solventar las deiciencias que presenta el corredor en la actualidad.

La metodología Tasa-Número desarrollada por la TRB en 1975, generó resultados eficientes en la determinación de TCA por tipo de accidente.

Se logró demostrar y se corroboró que los TCA para distintos tipos de accidentes, coincidieron con deiciencias de infraestructura vial previamente señaladas en evaluaciones de seguridad vial.

El criterio de daño de propiedad equivalente permite homogenizar el daño de los accidentes, constituye una guía para el establecimiento de un orden de priorización de inversión.

Se advierte la necesidad de mejorar y homogenizar en países como Costa Rica el contenido de los reportes de accidentes levantados por los oiciales de tránsito. Los reportes deben contener información más detallada del lugar del accidente e incorporar información de elementos y deiciencias de infraestructura vial que contribuyan a la ocurrencia de accidentes.

Se debe unificar la escala salud de los accidentes en hospitales, paramédicos y oiciales de tránsito, ya que el criterio del estado de salud de los lesionados emitido por estos distintos entes se vuelve subjetivo generando sesgos en las estadísticas registradas.

Se recomienda la realización de investigaciones sobre factores de modiicación de accidentes en países que no cuenten con este tipo de información. Se busca que las investigaciones brinden información sobre la efectividad de las contramedidas en el orden de la reducción y severidad de accidentes propias del ámbito nacional.

REFERENCIAS

1. Amador, L., Pooyan, A. (2010). "Developing an initial road management system for optimizing pavement condition and road safety: case study of the Tanzania", 91th Annual Meeting of Transportation Research Board Washington, D.C. [ Links ]

2. Autopistas del Sol (2010-2012). Base de datos reportes mensuales de accidentes de tránsito. Consejo Nacional de Concesiones, San José ,Costa Rica [ Links ]

3. Consejo Nacional de Concesiones (2001). Contrato de concesión de obra pública con servicio público "Proyecto carretera San José -Caldera, Consejo Nacional de Concesiones, Montes de Oca, San Pedro Costa Rica [ Links ]

4. Consejo Nacional de Vialidad (2011-2013). Listado de precios unitarios conservación vial de la red vial nacional ,Costa Rica [ Links ]

5. Elvik, R., Hoye, A., Vaa, T., & Sorensen, M. (2009). The Handbook of Road Safety Measures. Emerald Group Publishing Limited. [ Links ]

6. FHWA. (2008). Desktop Reference for Crash Reduction Factors. US Department of Transportation, Federal Highway Administration. [ Links ]

7. FHWA. (2010). Toolbox of Countermeasures for quality modification crash factors. US Department of Transportation, Federal Highway Administration [ Links ]

8. FHWA. (2010). Highway Safety Improvement Program Manual, Federal Highway Administration. [ Links ]

9. Lanamme UCR (2010). Base de datos Red Vial Nacional, Ruta 27, FWD, IRI, Fricción, Retrorreflexión. [ Links ]

10. Lanamme UCR. (2010). Informe de Evaluación de seguridad vial de la Ruta nacional 27 , proyecto de concesión San José-Caldera: facilidades peatonales condiciones laterales de la vía y aspectos de la geométrica de la vía. Universidad de Costa Rica, LanammeUCR, San José. [ Links ]

11. Missouri State Highway Commission, U.S. Department of Transportation, Federal Highway Admninistration, 1975. Manual on Identification, Analysis a Correction of High Accident Locations [ Links ]

12. PIARC TECHNICAL COMMITTE ON ROAD SAFETY (2003). Road Safety Manual. World Road Asociation (PIARC). Route Market (2003) [ Links ]

13. Report No. FHWA-SA-08-011,(2008)., Desktop Reference for Crash Reduction Factors U.S. Department of Transportation Federal Highway Administration. [ Links ]

14. Rotulick (2013). Listado de precios pantallas LED para carreteras, San José , Costa Rica. [ Links ]

Recibido: 10 de Marzo de 2015; Aprobado: 06 de Abril de 2015

Creative Commons License This is an open-access article distributed under the terms of the Creative Commons Attribution License