SciELO - Scientific Electronic Library Online

 
vol.36 issue1Measuring traffic dynamics at the EdgeKnowledge used by preservice teaching students when comparing areas of 2D figures author indexsubject indexarticles search
Home Pagealphabetic serial listing  

Services on Demand

Journal

Article

Indicators

Related links

  • Have no similar articlesSimilars in SciELO

Share


Uniciencia

On-line version ISSN 2215-3470Print version ISSN 1011-0275

Uniciencia vol.36 n.1 Heredia Jan./Dec. 2022

http://dx.doi.org/10.15359/ru.36-1.40 

Artículo

Hacia una caracterización de competencia algebraica: Un estudio exploratorio con estudiantes

Towards a characterization of algebraic competence: an exploratory study with students

Rumo a uma caracterização da competência algébrica: Um estudo exploratório com estudantes

1 Facultad de Ingeniería, Universidad Autónoma de Querétaro, Santiago de Querétaro, México. lake86@gmail.com, https://orcid.org/0000-0003-4303-4895

2 Facultad de Ciencias Exactas, Universidad Juárez del Estado de Durango, Durango, México. *Autor para correspondencia carmen.olvera@ujed.mx, https://orcid.org/0000-0001-7361-1687

Resumen

(Objetivo)

El presente artículo tiene por objetivo evidenciar la competencia algebraica exhibida por un grupo de 27 estudiantes de universidad, en México, al trabajar con una tarea algebraica. Para esto se propone, desde las investigaciones de la competencia matemática y los niveles de algebrización, un marco para su estudio articulado en tres acciones: resolver, interpretar y validar.

(Metodología)

La investigación fue de corte cualitativa y exploratoria con una selección de estudiantes de tipo incidental, la implementación de la tarea se llevó a cabo durante una clase habitual con duración de dos horas. El profesor titular y el investigador estuvieron presentes durante el desarrollo de la tarea en el aula.

(Resultados)

Los resultados muestran que estos estudiantes presentan dificultades en la acción de resolver dado que no manipulan eficazmente expresiones simbólico-literales y no alcanzan el nivel de algebrización esperado. También, presentan inconsistencias en la acción de interpretar, es decir, no identifican ni conectan los conocimientos sobre las propiedades de las operaciones que se ponen en juego en la tarea algebraica. En la acción de validar, comunican comprobaciones o verificaciones de carácter descriptivo.

(Conclusiones)

Los hallazgos sugieren que la mayoría de los participantes no alcanzaron un primer nivel de competencia algebraica y se plantea la necesidad de formular estadios de desarrollo basados en las tres acciones.

Palabras clave: Competencia algebraica; razonamiento algebraico; tareas algebraicas; educación matemática; estudiantes universitarios.

Abstract

(Objective)

The present article seeks to determine the algebraic competence displayed by a group of 27 university students in Mexico when they worked on an algebraic problem. A study framework is proposed based on the investigation of mathematical competence and levels of algebrization in three areas: solving, interpreting and validating.

(Methodology)

A qualitative and exploratory study with convenience-based selection of students was implemented during a regular two-hour class. The professor and the researcher were present when the task was carried out in the classroom.

(Results)

The results show that the students had difficulties in problem solving because they did not effectively manipulate symbolic-literal expressions, and did not achieve the expected level of algebraization. They were also inconsistent in interpreting the task - that is, they did not identify or connect knowledge about the properties of the operations necessary to solve the algebraic problem. When validating their responses, they provided descriptive proofs or verifications.

(Conclusions)

The findings suggest that most of the participants did not display a basic level of algebraic competence, and the necessity of formulating stages of development based on the three actions is discussed.

Keywords: Algebraic competence; algebraic reasoning; algebraic tasks; mathematics education; university students.

Resumo

(Objetivo)

O objetivo deste artigo é demonstrar a competência algébrica exposta por um grupo de 27 estudantes universitários no México quando se trabalha com uma tarefa algébrica. Para este fim, propomos, a partir da pesquisa sobre competência matemática e níveis de algebrização, uma estrutura para seu estudo articulada em três ações: resolver, interpretar e validar.

(Metodologia)

A pesquisa foi de coorte qualitativa e exploratória com uma seleção incidental de estudantes, a implementação da tarefa foi realizada durante uma aula regular com duração de duas horas. O professor principal e o pesquisador estiveram presentes durante o desenvolvimento da tarefa na sala de aula.

(Resultados)

Os resultados mostram que estes estudantes apresentam dificuldades na ação de resolver, uma vez que não manipulam efetivamente as expressões simbólico-literárias e não atingem o nível de algebrização esperado. Além disso, mostram inconsistências na ação de interpretar, ou seja, não identificam e nem conectam o conhecimento sobre as propriedades das operações em jogo na tarefa algébrica. Na ação de validar, eles relatam testes ou verificações de caráter descritivo.

(Conclusões)

As constatações sugerem que a maioria dos participantes não atingiu um primeiro nível de competência algébrica e surge a necessidade de formular etapas de desenvolvimento com base nas três ações.

Palavras-chave: Competência algébrica; raciocínio algébrico; tarefas algébricas; educação matemática; estudantes universitários

Introducción

La competencia matemática, en términos generales, es considerada como el dominio sobre las matemáticas (OCDE, 2003, 2005, 2013; Rico, 2007). Sin embargo, ha resultado un reto identificar cuándo es posible considerar que se tiene ese dominio. Uno de los trabajos pioneros en su estudio es el realizado por Niss y colaboradores (Niss, 2002; Niss & Højgaard, 2011; Niss & Højgaard, 2019) que tiene su origen con el proyecto KOM (por sus siglas en danés, que significa en español competencia y aprendizaje de las matemáticas). Para estos autores, la competencia matemática se basa en la capacidad de emprender actividades para enfrentar desafíos matemáticos de cualquier tipo. Niss & Højgaard (2011) mencionan:

La competencia matemática implica conocimiento, comprensión; saber hacer, usar, comparar; tener una opinión sobre las matemáticas y evidenciar la actividad matemática en una variedad de contextos donde las matemáticas están presentes. Implica la presencia de una variedad de conocimientos fácticos, procedimentales y habilidades concretas dentro del campo matemático. (p. 49)

En los trabajos de estos autores se identifican ocho competencias matemáticas divididas en dos grupos. Por un lado, en el grupo de las competencias relacionadas con la capacidad para plantear y responder preguntas, mediante las matemáticas, se incluyen las competencias: pensamiento matemático, manejo de problemas, modelación matemática y razonamiento matemático. Por otro, el grupo de las competencias referentes al manejo del lenguaje, construcciones y herramientas incluyen las competencias: representación matemática, formalismo, comunicación matemática y herramientas matemáticas. Como se observa, estas competencias están relacionadas con procesos, actividades y comportamientos, es decir, lo que las personas pueden hacer (Niss, 2002; Niss & Højgaard, 2019).

En 2003, la OECD (Organisation for Economic Cooperation and Development), dentro del proyecto PISA (Programme for International Student Assessment), establece que cuando un estudiante es capaz de analizar, razonar y comunizar eficazmente al resolver o proponer problemas matemáticos en diversas situaciones, ha logrado desarrollar una competencia matemática. Dentro de este mismo proyecto, la competencia matemática también es considerada como la capacidad de un individuo para identificar y entender el papel que las matemáticas tienen en el mundo, hacer juicios fundados y usar e implicarse con las matemáticas en aquellos momentos necesarios para su vida individual como ciudadano (OECD, 2003).

Estos planteamientos del proyecto PISA, posteriormente fueron analizados en los trabajos de Rico y colaboradores (Rico, 2007; Caraballo, Rico & Lupiáñez, 2013), quienes plantean que ''la competencia matemática se define como el conjunto de capacidades puestas en juego por los estudiantes para analizar, razonar y comunicar eficazmente cuando resuelven problemas matemáticos en una variedad de dominios y situaciones'' (Rico, 2007, p. 50). Además, mencionan que la última definición de competencia matemática o alfabetización matemática (por el término Literacy, en inglés) proporcionada por la OECD en 2013 es ''caracterizada a través de siete capacidades generales: razonar y argumentar; comunicar; matematizar; representar; diseñar estrategias para resolver problemas; utilizar lenguaje simbólico, formal y las operaciones; y usar herramientas matemáticas'' (Caraballo, Rico & Lupiáñez, 2013, p. 58). En estas capacidades subyacen tres procesos que denominan fundamentales y enfatizan la idea de acción y solución activa de problemas por parte de los estudiantes: (a) formular situaciones matemáticamente; (b) utilizar conceptos, hechos, procedimientos y razonamiento matemático; y, finalmente, (c) interpretar y evaluar resultados matemáticos. Solar, García, Rojas & Coronado (2014) realizan un análisis comparativo de la noción de competencia matemática expuesta en el proyecto KOM y el proyecto PISA y discuten las posturas de autores como Niss y Rico, entre otros. Su conclusión, apoyada en la naturaleza pragmática de esta competencia es la siguiente:

La competencia matemática se caracteriza a través de procesos (representar, resolver problemas, argumentar, entre otros), dimensión del conocimiento matemático que tiene una expectativa de aprendizaje a largo plazo … el desarrollo de estos procesos matemáticos, es componente esencial de las competencias, y requiere la actuación del estudiante en contextos escolares y extraescolares. (p. 63)

Como se puede observar, las investigaciones reflejan distintas definiciones y maneras de concebir a la competencia matemática. Pero, también existen ciertos puntos comunes como la naturaleza pragmática de la competencia y similitudes en cuanto a las acciones específicas que los estudiantes deben evidenciar (interpretar, resolver, aplicar, argumentar, etc.) y que son denominados como procesos, capacidades, habilidades, etc. Una situación similar se aprecia cuando se investigan competencias específicas, es decir, las relacionadas con las diferentes ramas de las matemáticas. Son pocos los estudios, en los que se puntualizan los descriptores que permiten un análisis, desarrollo y evaluación del nivel de desempeño de los estudiantes.

Uno de los trabajos desarrollados en esta línea de competencias específicas es el de Alsina & Vázquez (2016) que articulan un posicionamiento sobre la competencia probabilística. En el caso de la competencia algebraica, dados los pocos estudios relacionados, se ha identificado la necesidad de pensarla en términos de una caracterización que permita fomentar su desarrollo en los distintos niveles educativos (Syawahid, 2019; Angriani & Herman, 2019). Esta necesidad también se justifica porque el aprendizaje del álgebra escolar ha representado una cuestión inconclusa, entre los estudiantes, que ha sido expuesta en diversas investigaciones, en las cuales se afirma que las inconsistencias en el conocimiento algebraico se mantienen a lo largo de la trayectoria educativa de los aprendices, desde la educación secundaria hasta los estudios universitarios (Booth, McGinn, Barbieri & Young, 2017; Filloy, Puig & Rojano, 2008).

Este artículo está centrado en la competencia algebraica, particularmente, en presentar los descriptores que nos permiten caracterizarla y hacerla operativa mediante el análisis de respuestas de estudiantes a una tarea algebraica. De esta manera, la pregunta de investigación planteada es: ¿Cuál es la competencia algebraica que manifiestan estudiantes universitarios al resolver tareas matemáticas? Para contestar dicha pregunta se utiliza una propuesta refinada de un marco de estudio para la competencia algebraica desde el punto de vista educativo que tiene sus antecedentes en investigaciones propias (Aké & Larios, 2020).

Marco teórico

La mayoría de las aproximaciones de estudio de las competencias se centran en la competencia matemática, la cual se define con pluralidad de matices desde las investigaciones (Abrantes, 2001). Además, en dichas aproximaciones se considera que es posible obtener un conjunto genérico de aspectos que abarcan diferentes dominios matemáticos (Säfström, 2013), y con un mayor énfasis en situaciones contextuales (Angriani & Herman, 2019). Esto implica tomar un posicionamiento para el estudio de la competencia matemática y, en particular, de la competencia algebraica.

Para la interpretación de competencia matemática consideramos el posicionamiento pragmático del enfoque ontosemiótico. En este sentido, Godino y colaboradores (e.g. Godino, Rivas, Castro & Konic, 2012; Godino, Giacomone, Batanero & Font, 2017) mencionan, desde el punto de vista pragmático, que el uso competente de los objetos matemáticos implica tanto conocimiento como comprensión sobre dichos objetos. El carácter pragmático se hace evidente cuando estos se relacionan de manera adecuada entre sí y se aplican a la resolución de problemas. De esta manera, el conocimiento y la comprensión son interpretados como acciones y no como procesos mentales. Dicha naturaleza pragmatista es concordante con el posicionamiento de otros autores cuando mencionan que ''la competencia es algo en continuo desarrollo … no es un atributo de los individuos'' (Säfström 2013, p. 33), y está orientada hacia la acción (Niss & Højgaard, 2019; Solar et al., 2014). En el caso de la competencia algebraica, también tendría un posicionamiento pragmático.

Precisamente, la competencia algebraica, al estar orientada hacia la acción, permite retomar los procesos matemáticos de resolver, interpretar y validar que proponen diversos autores para el estudio de la competencia matemática (e.g. Niss & Højgaard, 2019, Solar et al., 2014). La selección de las acciones de resolver, interpretar y validar se sustenta en que son intrínsecas a la tarea y no se estudian como competencias específicas como es el caso de los procesos de modelizar, representar, argumentar, entre otros. Por ejemplo, Pande & Chandrasekharan (2017) y también Fakhrunisa & Hasanahm (2020) estudian la competencia de representación, mientras que Solar et al. (2014) definen competencias específicas para los procesos matemáticos de modelización y argumentación.

Al hablar de competencia algebraica es necesario considerar una doble caracterización: (a) para las edades tempranas en la educación primaria, en el que se promueve el desarrollo del álgebra temprana y, (b) para los niveles educativos posteriores en los que se trabaja propiamente con álgebra. Esta distinción es requerida porque la práctica algebraica que se podría manifestar para resolver una tarea puede implicar diferentes niveles de algebrización y dependen del tipo de tarea que se plantean en cada nivel educativo. Godino, Castro, Aké & Wilhelmi (2012) expresan que la caracterización de una práctica matemática, y el razonamiento que la acompaña, como de índole algebraico se basa en la presencia de los tipos de objetos primarios y de procesos epistémicos que intervienen en esta misma, lo que daría lugar a diferentes niveles de algebrización. Sin embargo, Burgos & Godino (2021) mencionan que ''los criterios para discriminar los niveles de algebrización se basan en la presencia de objetos algebraicos, las transformaciones aplicadas a estos objetos y el tipo de lenguaje utilizado'' (p. 7), que se ponen de manifiesto al resolver una tarea planteada.

De esta manera, un referente considerado adecuado para esta caracterización de competencia algebraica es el trabajo propuesto por Godino y colaboradores sobre los niveles de algebrización. Estos autores proponen siete niveles de desarrollo progresivo del razonamiento algebraico; donde los tres primeros (nivel cero, uno y dos) están relacionados con educación primaria y se utilizan registros de representación como el verbal, numérico, pictórico y simbólico (no literales) que no se consideran dentro del estudio propio del álgebra. Los niveles posteriores para el desarrollo del álgebra de manera formal (nivel tres, cuatro, cinco y seis) son los considerados para el marco de estudio de la competencia algebraica, dado que es donde se aborda el significado de equivalencia del signo igual, se opera con las variables y se utiliza el registro simbólico-literal. Estos niveles quedan enmarcados dentro de la acción de resolver, en la caracterización de la competencia algebraica, precisamente porque es concordante con la noción de práctica matemática entendida como acciones realizadas por un sujeto para resolver una situación-problema (Godino, 2002; Burgos & Godino, 2021).

Las características para la acción de resolver son derivadas de los niveles de algebrización, lo que conlleva que la competencia algebraica implique un razonamiento algebraico y sea desarrollada de forma gradual. Debido a que el razonamiento algebraico es caracterizado por la presencia de objetos primarios y procesos epistémicos de índole algebraico, que el sujeto pone de manifiesto al resolver una situación-problema, es subyacente a la competencia algebraica, ya que ser competente implica acciones que van más allá de resolver la situación-problema planteada. Es decir, como se mencionó previamente, en la competencia se movilizan otras acciones que en la bibliografía se denominan procesos, capacidades, habilidades, etc. Con esta afirmación indicamos que no es posible desarrollar una competencia algebraica sin que se razone algebraicamente. En este sentido, la relación entre el razonamiento algebraico y la competencia algebraica es implicativa (Syawahid, 2019). La acción de interpretar está relacionada con la noción de ''dar sentido'', la cual en términos del National Council of Teachers of Mathematics (NCTM, 2009; 2010) implica el desarrollo de la comprensión de una situación o concepto conectándolo con el conocimiento existente, de manera que los estudiantes puedan realizar con precisión los procedimientos y comprender por qué funcionan esos procedimientos para la obtención de resultados asertivos.

Por último, la acción de validar se refiere a comunicar una justificación de su propio razonamiento, es decir, explicitar la información que se pone en juego para justificar el resultado emergido de la resolución de un problema (Flores-Samaniego, 2007). Es importante mencionar que en los estudios se utilizan expresiones como explicar, validar, justificar, argumentar y, demostrar cuyas definiciones no son homogéneas ni universalmente compartidas. Por ejemplo,

(a) la caracterización de explicaciones, justificaciones y argumentos de Planas & Morena (2012); (b) los esquemas de prueba de Harel & Sowder (1998); (c) la noción de argumentación utilizada en diversas investigaciones y caracterizada por el uso de la aserción, garantía, respaldo, refutación, etc. (e.g. modelo Toulmin presentado en Rasmussen, Waweo & Zandieh, 2015); (d) la argumentación asociada a la demostración matemática (Alfaro-Carvajal, Flores-Martínez & Valverde-Soto, 2019); asimismo, (e) la noción de argumento del Enfoque Ontosemiótico (situado como objeto primario en la práctica matemática), definido como un enunciado requerido para explicar proposiciones y justificar procedimientos que emergen durante la práctica matemática de resolución (Burgos & Godino, 2019, 2021, 2022); esto es, al emerger de la práctica, no se solicita que se den a conocer dichas explicaciones.

Los ejemplos previos son muestra de la diversidad de términos relacionados que se usan de una manera relativa. En este caso, la acción de validar no resulta contradictoria con los posicionamientos previos. Por un lado, se plantea como un requerimiento explícito para comunicar, de manera verbal, los elementos que proporcionan sentido a los razonamientos en la resolución y resultado de una tarea. Por otro, está sujeto a la práctica matemática realizada, en este sentido, está caracterizada por la explicitación de las definiciones y propiedades subyacentes al trabajo algebraico en la acción de resolver. Esto significa que es acorde con los diferentes niveles de algebrización y que resultan congruentes al nivel educativo.

De forma resumida, en la Tabla 1 se presentan las características globales y específicas de las acciones relacionadas con la competencia algebraica. Las diferencias que se presentan en los modos en que los estudiantes resuelven, interpretan y validan su actividad matemática en una tarea determinada, permiten identificar el nivel de competencia algebraica que posee un estudiante.

Tabla 1 Niveles de competencia algebraica 

  Resolver Interpretar Validar
Característica global La resolución debe contener objetos algebraicos, transformaciones u operaciones aplicadas a estos objetos y un tipo de lenguaje utilizado. En el caso del lenguaje, debe ser de carácter alfanumérico, es simbólico-literales. decir, debe ser explícito el uso de expresiones La interpretación debe expresar un sentido en el uso de expresiones en el trabajo algebraico que conduce a los resultados o respuesta obtenida. La validación debe expresar un conocimiento sustentado sobre el razonamiento llevado a cabo para resolver una tarea determinada y proporcionar un resultado dado.
Nivel 1 R1. Usa variables en las que reconoce su significado como incógnita o número generalizado. Opera con las variables, por tanto, existe un tratamiento de expresiones, ecuaciones y de funciones conservando equivalencias. particulares I1. Identifica y conecta conocimientos previos con las relaciones ligadas al contexto de la tarea planteada y con las emergidas del trabajo con variables y equivalencias algebraicas en ecuaciones y funciones. V1. Expresa información sustentada en definiciones y propiedades que emergen en el trabajo con variables y equivalencias en el tratamiento de ecuaciones y funciones.
Nivel 2 R2. Usa variables y parámetros, por lo que trabaja con la noción de familia de ecuaciones y de funciones. Las variables representan valores que cambian y reconoce el significado de los parámetros que son entendidos como valores fijos que no cambian, o bien, adquiere sistemáticamente valores específicos. No opera con los parámetros. I2. Identifica y conecta conocimientos previos con las relaciones ligadas al contexto de la tarea planteada y con las emergidas del trabajo algebraico con el uso de variables y parámetros presentes en ecuaciones y funciones. V2. Expresa información sustentada en definiciones y propiedades formales utilizados en el trabajo con variables y parámetros en el tratamiento de ecuaciones y funciones.
Nivel 3 R3. Trabaja con familias de ecuaciones y de funciones. Los parámetros son entendidos como incógnitas. Opera con los parámetros y las operaciones en las que intervienen son realizadas de manera comprensiva y no puramente algorítmica. I3. Identifica y conecta conocimientos previos con relaciones y regularidades ligadas al contexto de la tarea y con las emergidas del trabajo algebraico con la familia de ecuaciones y funciones. V3. Expresa información sustentada en definiciones y propiedades formales utilizados en el trabajo con variables y parámetros en el tratamiento de familias de ecuaciones y funciones.
Nivel 4 R4. Trabaja con familias de ecuaciones, funciones y con estructuras algebraicas. Opera con las variables y parámetros y se aplican propiedades de las estructuras algebraicas. I4. Identifica y conecta conocimientos previos con relaciones, regularidades para establecer estrategias de resolución de acuerdo con las propiedades de las estructuras algebraicas. V4. Expresa información sustentada en razones que validan el cómo y por qué de su resultado, a partir de un marco de referencia basado en la matemática formal (leyes, teoremas, axiomas).

Nota: Fuente propia de la investigación.

Aplicación de los niveles de competencia algebraica

Con la finalidad de ejemplificar cómo se utiliza la propuesta de niveles de competencia algebraica, en la Figura 1 se presenta la siguiente tarea:

Esta tarea consta de tres ítems (incisos 1, 2 y 3) y tres consignas (incisos a, b y c). Los tipos de ítem que se proponen en la tarea suelen abordarse en el nivel bachillerato (estudiantes entre 16 y 18 años) previo a los estudios universitarios.

La consigna b, está relacionada con la acción de resolver e implica un trabajo algebraico, se utiliza el registro alfanumérico y las literales representan valores que son desconocidos; además, existe un tratamiento de simplificación a través de la aplicación adecuada de las propiedades y la equivalencia. De esta manera, la resolución de los tres incisos sería:

1. 3(4 + 2) + (m a)b -14 =12 + 6 + m ab - 14 =18 + m ab - 14 =4 + m ab 2. -2(-3)3 + 18 + 2ab=54 + 18 + 2ab =72 + 2ab 3. (2x)2 - 32(3) + 13(5) + 240 =4x 2 -36 +115 +240 =4x 2 - 729 + 1 + 240 =4x 2 - 488

En este sentido, la acción de resolver, por lo tanto, tiene un nivel 3 de algebrización (ver Tabla 1: R1, NA3). En la siguiente Tabla 2 se presentan los elementos primarios que se conjugan para definir este nivel.

Nota: Adaptado de Martínez, Aké y López-Mojica (2017, p. 161)

Figura 1 Tarea algebraica 

Tabla 2 Asociación de elementos para resolver la tarea con un nivel 3 de algebrización 

Objetos algebraicos Tratamiento Lenguaje
Equivalencia algebraica Propiedades de las operaciones Variable Tratamiento analítico de expresiones en las que se generan expresiones equivalentes y reducción de términos. Alfanumérico, es decir, uso de símbolos y letras en el trabajo algebraico

Nota: Fuente propia de la investigación.

Por otro lado, la acción de interpretar (consigna a) implica el reconocimiento de la aplicación errónea de propiedades para la simplificación de expresiones, identificar las leyes de los exponentes y la jerarquía de operaciones. En este sentido, la acción de interpretar implica la identificación y conexión de conocimientos previos adquiridos para el trabajo con equivalencias de expresiones algebraicas (I1). En el ítem 1, en la expresión 3(4 + 2) = 12 + 2, la propiedad distributiva aplicada a la suma no se hace correctamente puesto que el 2 no está siendo afectado por el 3; el uso adecuado de esta propiedad permitiría encontrar el resultado 3(4 + 2) = 12 + 6, o bien, si se aplicara la jerarquía de las operaciones, se tendría, 3(4 + 2) = 3(6). Así, 3(4 + 2) = (3 x 4) + (2 x 3) = 3(6). Además, en la expresión (ma)b = mamb, se identifica que se está aplicando la propiedad distributiva a la base respecto a sus exponentes, por lo que la igualdad es incorrecta. En el ítem 2, en la expresión -2(-3)3 = -18 no se aplica correctamente la ley de los exponentes al multiplicar -3 por 3; o bien, el orden de las operaciones no es el adecuado si se realizara -2 por -3. Por otro lado, en el ítem 3 no se aplica la ley de los exponentes, específicamente a la literal (2x)2 = 4x, la cual debe ser (2x)2 = 4x2. También, se aplica la propiedad distributiva a la base respecto a sus exponentes, -32(3) = 3233 y 13(5) = 1215, de manera similar a lo descrito en el ítem 1. Por último, se cambia 240 por 200. En la Tabla 3, se muestra de manera condensada, los conocimientos previos requeridos para la solución correcta de la tarea y los principales errores cometidos en su aplicación.

La acción de validar (consiga c) implica comunicar el uso incorrecto de la extrapolación lineal de la base respecto a sus exponentes, la aplicación de las leyes de los exponentes y de los signos, jerarquía de operaciones y, la propiedad distributiva (Tabla 3), es decir, comunicar la interpretación de manera estructurada. En este sentido, la explicación explícita de los errores identificados valida los procedimientos adecuados

Tabla 3 Asociación de elementos que permiten interpretar las respuestas a la tarea 

Conocimiento previo Equivalencias incorrectas Equivalencias correctas
Jerarquía de operaciones 3(4 + 2) = 12 + 2 3(4 + 2) = (3 x 4) + (2 x 3) = 3(6) = 18.
Propiedad distributiva respecto a la suma (propiedad de las operaciones)    
Leyes de los exponentes (ma)b = mamb (ma)b = mab
  2ab = 2a 2b 2ab= 2ab
  -32(3) = 3233 -32(3) = 36
  13(5) = 1315 13(5) = 115
  (2x)2 = 4x (2x)2 = 4x2
Ley de los signos -2(-3)3 = -18 -2(-3)3 = -2(-27) = 54

Nota: Fuente propia de la investigación.

(V1). En la Tabla 4 se presentan los errores que los estudiantes deben referir para presentar la validación de su razonamiento y respuestas a los ítems planteados.

Las tres acciones realizadas de modo adecuado indican el mayor estatus de la competencia algebraica, es decir, el primer nivel (R1, I1, V1). En este sentido, no solo se trata de resolver en forma adecuada, también es necesario identificar y conectar las propiedades matemáticas derivadas de la tarea y comunicar por qué funcionan para la obtención de respuestas asertivas en una acción de validación.

Dado el presente ejemplo, pareciera que la propuesta representa un estatus final de la competencia algebraica y, efectivamente, para alcanzar el nivel 1 se precisa evidenciar las características en las acciones de resolver, interpretar y validar como previamente se ha mostrado. A partir de este marco de estudio, es posible plantear una ruta de desarrollo para promover en el aula dichas acciones. Por ejemplo, la acción de interpretar las propiedades no es exclusiva de este tipo de situaciones ya que están presentes a lo largo del trayecto formativo de los estudiantes, cuando resuelven sistemas de ecuaciones lineales en las que se precisa identificar y conectar los diferentes tipos de conocimientos de acuerdo con el contexto. Asimismo, la acción de validar se pone de manifiesto al expresar la información que guían los razonamientos que conducen a un resultado específico.

Metodología

Los resultados que se presentan en este artículo forman parte de una investigación más amplia de enfoque cualitativo y exploratorio (Leatham, 2019), sobre la caracterización y análisis de la competencia algebraica. El objetivo del estudio que aquí se reporta es analizar e interpretar las soluciones desarrolladas por 27 estudiantes universitarios, cuyas edades se encuentran entre 18 y 20 años, al enfrentarse a cinco tareas matemáticas para caracterizar su nivel de competencia algebraica mediante el marco de estudio propuesto. Los participantes cursaban el primer semestre en una universidad de México, es decir, habían concluido las etapas de la educación básica (preescolar, primaria, secundaria) y educación media superior o bachillerato. La selección del grupo fue incidental y, por tanto, no aleatoria (Creswell, 2009); la implementación se llevó a cabo en cuanto el grupo estuvo cursando el primer

Tabla 4 Asociación de elementos que permiten validar las respuestas a la tarea 

Error Evidencia Ideas clave
1 3(4 + 2) = 12 + 2 3(4 + 2) = (3 x 4) + (2 x 3) = 3(6) = 18; jerarquía de operaciones, propiedad distributiva respecto a la suma.
2 (ma)b = mamb (ma)b = mab; la base no se distribuye respecto a los exponentes, de igual manera para las expresiones restantes; leyes de los exponentes.
  2ab = 2a2b  
-32(3)=3233  
13(5)=1315  
3 -2(-3)3 = -18 -2(-3)3 = -2(-27) = 54; jerarquía de operaciones, leyes de los exponentes y ley de los signos.
4 (2x)2 = 4x (2x)2 = 4x2; leyes de los exponentes.
5 240 se cambia por 200 240; por cambio en el número.

Nota: Fuente propia de la investigación.

semestre de tronco común y se contó con la disposición del docente titular para que su alumnado participara en el estudio. El investigador y el profesor titular estuvieron presentes durante la experiencia; el investigador fungió como observador participante y los alumnos tuvieron la oportunidad de plantear preguntas. Además, se utilizaron hojas de trabajo individuales en las que se presentó la tarea algebraica. Los datos que aquí se reportan detallan las evidencias manifestadas por los estudiantes a una de las tareas durante una clase habitual en una sesión con duración de dos horas.

Análisis y resultados

Los resultados surgen del análisis de las producciones escritas en las hojas de trabajo de los participantes y se organizaron de manera que se pudieran identificar las acciones resolver, interpretar y validar haciendo énfasis en los métodos de solución, características de las interpretaciones que realizaban y formas de validación. De esta manera, fue posible caracterizar la competencia algebraica de los participantes.

La acción de resolver se consideró alcanzada solo si los tres ítems fueron resueltos de forma correcta aplicando las propiedades indicadas y conservando la equivalencia en las expresiones que se simplificaban (Figura 2). En caso de que no fuera así, es decir, que no se obtuviera la resolución correcta en alguno de los ítems, se consideró que la acción de resolver no estaba completa. Así, fueron 6 estudiantes quienes resolvieron de forma adecuada los tres ítems, los demás participantes incurrieron en algún error.

Nota: Datos propios de la investigación.

Figura 2 Acción de resolver del E27 desarrollada de manera correcta 

Nota: Datos propios de la investigación.

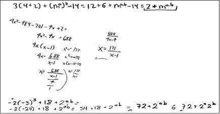
Figura 3 Errores en la acción de resolver manifestados por E7, E22 y E26 respectivamente 

A partir de los errores identificados en la acción de resolver en las respuestas categorizadas como parcialmente correctas, es posible identificar que el ítem 3 representó mayor dificultad para los estudiantes, dado que tuvo un mayor número de errores, se registraron 17 respuestas incorrectas. Los ítems 1 y 2 tuvieron comportamientos similares al contar con 8 y 7 respuestas incorrectas, respectivamente. Los errores detectados en la acción de resolver estaban relacionados con sumas incorrectas, interpretación errónea de las expresiones al considerarlas como ecuaciones que se debían resolver y, con el uso incorrecto de propiedades de los exponentes (Figura 3, lectura de arriba hacia abajo).

En el caso de la resolución del ítem 1 desarrollada por el E7, se tiene un error al no considerar el número 6 dentro de sus operaciones, es decir, suma 12-14 únicamente. Por otra parte, la resolución del E22 al ítem 3 indica que trata de encontrar la solución a la expresión como si fuera una ecuación, realiza operaciones agrupando términos semejantes hasta que identifica y resuelve una ecuación cuadrática. Sin embargo, si se considera únicamente la ecuación cuadrática, el procedimiento para determinar los valores de la letra x tampoco es correcto; es decir, no desarrolla procedimientos de manera precisa y flexible. Finalmente, el E26 no distingue que la expresión 2ab ≠ 2a2b para el ítem 2. La Figura 4 muestra los estudiantes que resolvieron cada uno de los ítems con el nivel de algebrización esperado (NA3).

La acción de interpretar se caracterizó por la identificación y conexión de las propiedades matemáticas aplicadas incorrectamente, respecto a su forma adecuada, reconociendo su funcionalidad dentro de la simplificación de las expresiones (Figura 5). En este sentido, la NCTM (2010) menciona que es necesario el uso y manipulación de símbolos consciente de su significado para llegar a una resolución razonada.

Al interpretar, se identificó que los estudiantes no conectaron el resultado obtenido con la aplicación de las propiedades matemáticas, debido a que no reconocieron el error (como es el caso del E26 evidenciado en la Figura 3). En la Tabla 5, se muestra lo anterior y es posible apreciar también, que las expresiones (ma)b = mamb, 2ab = 2a2b, -32(3)= 3233 y 13(5) = 1315 fueron las que representaron mayor dificultad para los estudiantes.

Nota: Elaboración propia

Figura 4 Relación de estudiantes sobre la acción de resolver con un nivel 3 de algebrización 

Nota: Datos propios de la investigación

Figura 5 Acción de interpretar del E25 manifestada correctamente 

Tabla 5 Identificación y conexión de errores realizadas por los estudiantes 

Ítem Código Error Reconoce No reconoce
1 Error 1 3(4 + 2) = 12 + 2 23 4
Error 2.1 (ma)b = mamb 16 11
Error 2.2 2ab = 2a2b 16 11
2 Error 3 -2(-3)3=-18 23 11
Error 2.3 -32(3) = 3233 16 11
3 Error 2.4 13(5) = 1315 16 11
Error 4 (2x)2=4x 23 4
Error 5 240 se cambia por 200 15 12

Nota: Fuente propia de la investigación.

Nota: Elaboración propia

Figura 6 Relación de estudiantes respecto a la acción de interpretar 

Es relevante mencionar que, en los casos en los que no se reconoció el error, se cometieron equivocaciones en la acción de resolver. Los estudiantes que identificaron los errores exhibieron resoluciones adecuadas en los tres ítems (Figura 6). Sin embargo, existieron cinco casos en los que identificaron los errores, pero desarrollaron procedimientos de manera incorrecta como el que expone E7 en la Figura 2.

La acción de validar implica comunicar explícitamente información sobre lo asertivo de los resultados, en términos de las propiedades que se movilizan en la simplificación de las expresiones, conectando la acción de resolver con la de interpretar. En este caso, fueron 15 los estudiantes que vincularon el uso de alguna de las propiedades con los procedimientos desarrollados (Figura 7).

Nota: Elaboración propia

Figura 7 Relación de estudiantes respecto a la acción de validar 

Por ejemplo, el E25 expresó: ''Porque usé la jerarquía de operaciones y las leyes de los exponentes, no incurriendo en lo que expliqué en el inciso anterior'' (refiriendo a la consigna a). Ocho de los estudiantes se basan en la descripción de sus procedimientos para indicar que lo han hecho correctamente, aunque no haya sido de este modo. Por ejemplo, E18 expresa: ''Porque según mis análisis y operaciones, mis simplificaciones son correctas''. Dos estudiantes refirieron a las reglas del álgebra como etiqueta general sin especificar (E1, E20): ''son correctas porque apliqué las reglas del álgebra'', y también dos no contestaron a la consigna (E19, E22). Es importante mencionar que ninguno de los estudiantes refirió a los cuatro elementos de información que se pusieron en juego en las tareas (jerarquía de las operaciones, propiedades de las operaciones, leyes de los exponentes y ley de los signos).

Los resultados obtenidos, a partir de una tarea algebraica común del nivel medio superior de la educación en México, reflejan que los 27 estudiantes presentan inconsistencias al manipular eficazmente expresiones simbólico-literales durante la acción de resolver. Este resultado es congruente con lo que autores como Cuesta, Escalante & Méndez (2013) mencionan sobre que los estudiantes muestran mayor flexibilidad para el trabajo con las expresiones algebraicas en la universidad, debido a su contacto con matemáticas avanzadas, pero su comprensión no es la que se esperaría.

Asimismo, presentan dificultades en la acción de interpretar, es decir, no identifican ni conectan los conocimientos sobre las propiedades de las operaciones con los errores. Sobre este punto, algunos autores señalan la importancia de dar sentido a las propiedades en la manipulación de objetos para ''ver'' las relaciones en la actividad algebraica (Booth et al, 2017). Por otro lado, la acción de validar, cuando no referían a propiedades, los estudiantes comunicaban comprobaciones o verificaciones de carácter descriptivo acordes a los planteamientos de Harel & Sowder (1998).

Conclusiones e implicaciones finales

De los resultados se concluye que no todos los estudiantes resuelven, interpretan y validan de manera homogénea, es decir, obtienen respuestas no adecuadas a las 3 acciones. Esta evidencia lleva a formular estadios de desarrollo para el nivel 1 de competencia algebraica, es decir, solo es posible afirmar que tres estudiantes tienen un primer nivel. Se puede mencionar que dicha competencia está en vías de desarrollo para E9, E10 y E11, porque presentan inconsistencias al validar la tarea planteada, pero sí resuelven e interpretan. Se encontró que los estudiantes que no resolvieron de manera correcta tuvieron dificultades para abordar las acciones de interpretar y validar. Los estudiantes que no fueron consistentes en las tres acciones, no alcanzaron un estatus en el desarrollo de un primer nivel de competencia algebraica (Figura 8). Esta perspectiva sugiere información sobre los aspectos a fortalecer en los estudiantes y permite una aproximación a la competencia esperada, en este caso, un nivel 1.

Lo que supone el uso de este marco de estudio para la competencia algebraica es asumir su naturaleza pragmática, que implica conocimiento y comprensión, y que está orientada a la acción. De esta manera, para hacer evidente la competencia matemática se propusieron tres acciones que muestran su carácter pragmático. Se propusieron los niveles de algebrización para caracterizar la acción de resolver, es decir, está definida de acuerdo con los siete niveles de algebrización de Godino et al. (2015) y Godino et al. (2016). Los autores ponen relevancia en los objetos, tratamiento y lenguaje utilizados en las prácticas matemáticas vinculadas a las ecuaciones y funciones.

Nota: Elaboración propia

Figura 8 Relación de estudiantes respecto a las tres acciones que definen a la competencia algebraica 

El nivel 3 de algebrización se define principalmente por el uso de la variable como objeto algebraico, y el tratamiento de los símbolos de manera analítica, por lo que el lenguaje alfanumérico es necesario. Por otro lado, los niveles 4 y 5 están caracterizados por el uso del parámetro como objeto algebraico, el uso del lenguaje alfanumérico es característico y se distinguen porque en el nivel 4 no se opera con los parámetros, pero en el nivel 5 sí existe un tratamiento de estos mismos. Finalmente, en el nivel 6 se introduce la estructura algebraica (Godino et al., 2016).

Sin embargo, al hablar de competencia, no es suficiente resolver las tareas de manera adecuada, también es necesario que los estudiantes manifiesten la acción de interpretar el trabajo algebraico que realizan mediante la identificación de relaciones y conexiones entre los objetos matemáticos que se ponen en juego en la resolución y no únicamente inferencias directas. Asume también el requerimiento de validar procedimientos enlazando las acciones de resolver e interpretar para comunicar la información sobre la certeza de los resultados obtenidos. La forma en que se articulan estas acciones lleva a contemplar tanto situaciones en contexto como situaciones intramatemáticas, es decir, es necesario abordar tareas comunes relacionadas al álgebra escolar que favorezcan el ''dar sentido'' a las tareas algebraicas (NCTM, 2010).

Los resultados previos tienen dos implicaciones. La primera plantea la necesidad de un análisis curricular de los planes formativos y de los libros de texto de los estudiantes de bachillerato. Esto es relevante porque desde el currículo institucional se debe promover, no solo la capacidad de los estudiantes para usar los procedimientos de manera precisa y flexible sino también promover el desarrollo de su capacidad para razonar algebraicamente al resolver problemas, interpretar situaciones y validar sus razonamientos.

La segunda implicación consiste en una análisis instruccional y formativo de los docentes, porque deben poner mayor énfasis en plantear a los estudiantes tareas algebraicas en las que movilicen formas de interpretación y validación de la propia actividad matemática para guiar los aprendizajes. Este punto cobra mayor relevancia en México debido a que los profesores de este nivel educativo son profesionistas de diversas áreas disciplinares, por lo que no tuvieron una preparación sobre pedagogía o didáctica durante su formación (Ibarrola & Martínez, 2018).

Aunque la noción de competencia matemática en general no está consensuada, este trabajo plantea la necesidad de un estudio profundo y sistemático de competencias específicas, en particular la algebraica, en la que la definición de acciones es esencial para su desarrollo. Al mismo tiempo contar con propuestas operativas sustentadas en investigaciones que permitan a los profesores de matemáticas proponer tareas, una cuestión que en México representa una problemática dada la heterogeneidad de la formación docente en el nivel bachillerato que no incluye conocimientos sobre didáctica de la matemática. Consideramos que los planteamientos desarrollados en este artículo son relevantes tanto para investigadores como profesores en servicio.

Conflicto de intereses

Los autores declaran no tener algún conflicto de interés.

Declaración de la contribución de los autores

Todos los autores afirmamos que se leyó y aprobó la versión final de este artículo.

El porcentaje total de contribución para la conceptualización, preparación y corrección de este artículo fue el siguiente: L.P.A.T. 50 %, C.O.M 50 %.

Declaración de disponibilidad de los datos

Los datos que respaldan los resultados de este estudio serán puestos a disposición por el autor correspondiente (L. P. A. T.), previa solicitud razonable.

Referencias

Abrantes, P. (2001). Mathematical competence for all: Options, implications and obstacles. Educational Studies in Mathematics, 47(2), 125-143. [ Links ]

Aké, L. P., & Larios, V. (2020). Competencia algebraica de profesores de matemáticas. Educação Matemática Pesquisa: Revista do Programa de Estudos Pós-Graduados em Educação Matemática, 22(1), 512-531. https://doi.org/10.23925/1983-3156.2020v22i1p512-531 [ Links ]

Alfaro-Carvajal, C.; Flores-Martínez, P.; & Valverde-Soto, G. (2019). Mathematical proof: meaning, types, attributed functions, and relevance as part of math teachers' professional knowledge. Uniciencia, 33(2), 55-75. https://doi.org/10.15359/ru.33-2.5 [ Links ]

Alsina, Á., & Vásquez, C. (2016). De la competencia matemática a la alfabetización probabilística en el aula: Elementos para su caracterización y desarrollo. UNIÓN. Revista Iberoamericana de Educación Matemática, 48, 41-58. [ Links ]

Angriani, V., & Herman, T. (2019). Algebraic literacy as the sustainable development skills. International Conference on Mathematics and Science Education, 4,105-109. [ Links ]

Booth, J. L.; McGinn, K. M.; Barbieri, C.; & Young,L. K. (2017). Misconceptions and learning algebra. En S. Stewart (Ed.), In And the rest is just algebra, (pp. 63-78). Springer. http://dx.doi.org/10.1007/978-3-319-45053-7_4 [ Links ]

Burgos, M., & Godino, J. D. (2019). Emergencia de razonamiento proto-algebraico en tareas de proporcionalidad en estudiantes de primaria. Educación Matemática, 31(3), 117-150. [ Links ]

Burgos, M., & Godino, J. D. (2021). Prospective Primary School Teachers' Competence for the Cognitive Analysis of Students' Solutions to Proportionality Tasks. Journal für Mathematik-Didaktik, 42(2), 1-30. https://doi.org/10.1007/s13138-021-00193-4 [ Links ]

Burgos, M., & Godino, J. D. (2022). Assessing the Epistemic Analysis Competence of Prospective Primary School Teachers on Proportionality Tasks. International Journal of Science and Mathematics Education, 20(2), 367-389. https://doi.org/10.1007/s10763-020-10143-0 [ Links ]

Caraballo, R. M.; Rico, L.; & Lupiáñez, J. L. (2013). Cambios conceptuales en el marco teórico de PISA: El caso de las matemáticas. Profesorado, revista de curriculum y formación del profesorado, 17(2), 225-241. [ Links ]

Creswell, J. W. (2009). Research Design: qualitative, quantitative, and mixed methods approach. Sage. [ Links ]

Cuesta, A.; Escalante, J. E.; & Méndez, M. A. (2013). Impacto de los cursos universitarios en la formación de competencias algebraicas. Educación matemática, 25(1), 35-62. [ Links ]

Fakhrunisa, F., & Hasanah, A. (2020). Students' algebraic thinking: a study of mathematical modelling competencies. Journal of Physics: Conference Series, 1521(3), 1-7. http://doi.org/10.1088/1742-6596/1521/3/032077 [ Links ]

Filloy, E.; Puig, L.; & Rojano, T. (2008) Educational algebra. A theorical and empirical approach. Springer. https://doi. org/10.1007/978-0-387-71254-3 [ Links ]

Flores-Samaniego, A. H. (2007). Esquemas de argumentación en profesores de matemáticas del bachillerato. Educación matemática, 19(1), 63-98. [ Links ]

Godino, J. D. (2002). Un enfoque ontológico y semiótico de la cognición matemática. Recherches en Didactiques des Mathematiques, 22(2/3), 237-284. [ Links ]

Godino, J. D.; Aké, L. P.; Contreras, A.; Díaz, C.; Estepa, A.; Blanco, T. F.; Lacasta, E.; Lasa, A.; Neto, T.; Oliveras, M. L.; & Wilhelmi, M. R. (2015). Diseño de un cuestionario para evaluar conocimientos didáctico matemáticos sobre razonamiento algebraico elemental. Enseñanza de las Ciencias, 33(1), 127-150. https://doi.org/10.5565/rev/ensciencias.1468 [ Links ]

Godino, J. D.; Castro, W. F.; Aké, L. P.; & Wilhelmi, M. (2012). Naturaleza del razonamiento algebraico elemental. Boletim de Educação Matemática BOLEMA, 26(42B), 483-511. http://dx.doi.org/10.1590/S0103-636X2012000200005 [ Links ]

Godino, J. D.; Giacomone, B.; Batanero, C.; & Font, V. (2017). Enfoque ontosemiótico de los conocimientos y competencias del profesor de matemáticas. Bolema, 31(57), 90-113. https://doi.org/10.1590/1980-4415v31n57a05 [ Links ]

Godino, J. D., Rivas, M., Castro, W., & Konic, P. (2012). Desarrollo de competencias para el análisis didáctico del profesor de matemáticas. Revemat: Revista Eletrônica de Educação Matemática, 7 (2), 1-21. https://doi.org/10.5007/1981-1322.2012v7n2p1 [ Links ]

Godino, J. D.; Wilhelmi, M. R.; Neto, T.; Blanco, T. F.; Contreras, A.; Díaz-Batanero, C.; Estepa, A.; & Lasa, A. (2016). Evaluación de conocimientos didácticos matemáticos sobre razonamiento algebraico elemental de futuros maestros. Revista de Educación, 370, 199-228. https://doi.org/10.4438/1988-592x-re-2015-370-303 [ Links ]

Harel, G., & Sowder, L. (1998). Students' proof schemes: Results from exploratory studies. American Mathematical Society, 7, 234-283. [ Links ]

Ibarrola, M., & Martínez, M. (2018). Conformación de una identidad docente entre profesionistas universitarios contratados por asignatura en el nivel medio superior. Sinéctica, 51(8). https://doi.org/10.31391/s2007-7033(2018)0051-008 [ Links ]

Leatham, K. R. (Ed.). (2019). Designing, Conducting, and Publishing Quality Research in Mathematics Education. Springer. http://doi. org/10.1007/978-3-030-23505-5 [ Links ]

Martínez, C.; Aké, L. P.; & López-Mojica, M. (2017). La linealidad como obstáculo epistemológico para el razonamiento algebraico: argumentos de alumnos de bachillerato a errores frecuentes y persistentes. En L. P. Aké & J. Cuevas (Coords.), Pensamiento algebraico en México desde diferentes enfoques (pp. 149174). Cenejus. https://www.researchgate.net/publication/332817427_Pensamiento_Algebraico_en_Mexico_desde_diferentes_enfoquesLinks ]

National Council of teachers of mathematics - NCTM. (2009). Focus in high school mathematics: Reasoning and making sense. NCTM. . [ Links ]

NCTM. (2010). Focus in high school mathematics: Reasoning and making sense in Algebra. NCTM [ Links ]

Niss, M. (2002). Mathematical competencies and the learning of mathematics: the Danish Kom Project. Roskilde University. [ Links ]

Niss, M. A., & Højgaard, T. (2011). Competencies and mathematical learning: Ideas and inspiration for the development of mathematics teaching and learning in Denmark. Roskilde Universitet. [ Links ]

Niss, M. A., & Højgaard, T. (2019). Mathematical competencies revisited. Educational Studies in Mathematics, 102, 9-28. https://doi. org/10.1007/s10649-019-09903-9 [ Links ]

Organisation for Economic Cooperation and Development (OECD). (2005). Informe PISA 2003. Aprender para el mundo de mañana. Santillana [ Links ]

Organisation for Economic Cooperation and Development (OECD). (2013). PISA 2012 Assessment and analytical framework: Mathematics, reading, science, problem solving and financial literacy. OECD Publishing. [ Links ]

Organisation for Economic Cooperation and Development (OECD). (2003). The PISA 2003 Assessment framework. Mathematics, reading, science and problem solving knowledge and skills.OECD Publishing. [ Links ]

Pande, P., & Chandrasekharan, S. (2017). Representational competence: towards a distributed and embodied cognition account. Studies in Science Education, 53(1), 1-43. https://doi.org/10.1080/03057267.2017.1248627 [ Links ]

Planas, N., & Morera, L. (2012). La argumentación en la matemática escolar: Dos ejemplos para la formación del profesorado. En E. Badillo; L. García; A. Marbá; & M. Briceño (Eds.), El desarrollo de competencias en las clases de ciencias y matemáticas, (pp. 275-300). Universidad de los Andes. [ Links ]

Rasmussen, C.; Wawro, M.; & Zandieh, M. (2015). Examining individual and collective level mathematical progress. Educational Studies in Mathematics, 88(2), 259-281. https://doi.org/10.1007/s10649-014-9583-x [ Links ]

Rico, L. (2007). La competencia matemática en PISA. PNA, 1(2), 47-66. https://revistaseug. ugr.es/index.php/pna/article/view/6215Links ]

Säfström, A. I. (2013). Exercising mathematical competence: Practising representation theory and representing mathematical practice (Tesis doctoral). University of Gothenburg, Gothermburg, Sweden . http://hdl.handle.net/2077/32484 Links ]

Solar, H.; García, B.; Rojas, F.; & Coronado, A. (2014). Propuesta de un modelo de competencia matemática como articulador entre el currículo, la formación de profesores y el aprendizaje de los estudiantes. Educación Matemática, 26(2), 33-67. [ Links ]

Syawahid, M. (2019). Mathematical Literacy in Algebra Reasoning. International Journal of Insight for Mathematics Teaching, 2(1), 33-46. [ Links ]

Recibido: 11 de Agosto de 2021; Aprobado: 31 de Enero de 2022

Creative Commons License Este es un artículo publicado en acceso abierto bajo una licencia Creative Commons