SciELO - Scientific Electronic Library Online

 
vol.48 número1The Challenge of Teaching Methodologies of Ecuadorian High School Teachers as a Factor of School SuccessComprehensive Education in Times of Change índice de autoresíndice de assuntospesquisa de artigos
Home Pagelista alfabética de periódicos  

Serviços Personalizados

Journal

Artigo

Indicadores

Links relacionados

  • Não possue artigos similaresSimilares em SciELO

Compartilhar


Revista Educación

versão On-line ISSN 2215-2644versão impressa ISSN 0379-7082

Educación vol.48 no.1 San José, San Pedro, Montes de Oca Jan./Jun. 2024

http://dx.doi.org/10.15517/revedu.v48i1.53853 

Artículo

Propiedades psicométricas del Survey of Attitudes Toward Statistics en español para estudiantes de ingeniería y matemática en la Universidad Nacional de Costa Rica

Psychometric Properties of the Survey of Attitudes Toward Statistics in Spanish for Engineering and Mathematics Students at the National University of Costa Rica

Eduardo Aguilar Fernández1 
http://orcid.org/0000-0002-7864-2391

José Andrey Zamora Araya2 
http://orcid.org/0000-0001-6050-5850

1Universidad Nacional, Heredia, Costa Rica. eduardo.aguilar.fernandez@una.ac.cr

2Universidad Nacional, Heredia, Costa Rica. jzamo@una.ac.cr

Resumen

Objetivo: Comprobar las propiedades psicométricas, en términos de validez estructural y consistencia interna, del Survey of Attitudes Toward Statistics en su versión de 36 ítems en español. Métodos: El instrumento se administró a 281 estudiantes de ingeniería y matemática de la Universidad Nacional de Costa Rica y se aplicó un análisis factorial confirmatorio, cuyos indicadores de bondad de ajuste resultaron deficientes para comprobar la estructura factorial de la versión al idioma español del Survey of Attitudes Toward Statistics. Resultados: La aplicación de un análisis factorial exploratorio sugirió la reorganización de los ítems en cuatro factores. A esta nueva configuración se le aplicó un análisis factorial confirmatorio y sus indicadores de bondad de ajuste y confiabilidad resultaron satisfactorios. Conclusiones: Según el contexto de aplicación, una reducción de la estructura factorial original del Survey of Attitudes Toward Statistics en su versión de 36 ítems sería apropiada, así como una reconfiguración para las escalas de dificultad, competencia cognitiva, afecto y valor. Se recomienda continuar con los estudios tendientes a comprobar si la estructura factorial planteada en el instrumento se mantiene en otros contextos universitarios y con estudiantes de diferentes áreas de conocimiento o, por el contrario, se evidencia una estructura factorial diferente.

Palabras clave: Estadística; Análisis Factorial; Enseñanza Superior; Actitudes; Análisis Multivariado; Psicometría

Abstract

Objective: Verify the psychometric properties, in terms of structural validity and internal consistency, of a Spanish version of Survey of Attitudes Toward Statistics in its 36-item version. Methods: The instrument was applied to 281 engineering and mathematics students from the National University of Costa Rica. In the first instance, a confirmatory factor analysis was applied to verify the factorial structure of the Survey of Attitudes Toward Statistics, whose goodness fit indexes were deficient. Results: The investigators carried out an exploratory factor analysis, which suggested the reconfiguration of items on four factors. Moreover, a confirmatory factor analysis was applied to this new configuration and its goodness and reliability indexes are considered satisfactory. Conclusion: Given the context of the application, a reduction of the original factorial structure of the Survey of Attitudes Toward Statistics in its 36-item version would be appropriate, as well as a reconfiguration for the scales of difficulty, cognitive competence, affect, and value. Hence, the authors recommend continuing with the studies aimed at verifying if the factorial structure proposed in the instrument is maintained in other university contexts and with students from different areas of knowledge or, on the contrary, a different factorial structure is evidenced.

Keywords: Statistics; Factor Analysis; Higher Education; Attitudes; Multivariate Analysis; Psychometrics

Introducción

La evaluación de las actitudes del estudiantado hacia una disciplina ha sido un tema de gran interés y ha alcanzado un lugar de relevancia, tanto en la investigación científica como académica. La medición de las actitudes permite identificar formas de pensar, sentir y actuar con respecto a una disciplina, comportamientos que tienden a ser determinantes en el aprendizaje de los contenidos, pues son estimuladores de valoraciones positivas o negativas hacia una materia particular (Ávila-Toscano et al., 2022). En el caso de la Estadística, por ejemplo, estudiantes con actitudes negativas presentan mayores niveles de ansiedad (Ordóñez et al., 2019) y un peor rendimiento académico (Bourne y Nesbit, 2018), mientras que quienes realizan valoraciones positivas logran mejores resultados en sus cursos. (Gopal et al., 2018; Ramírez et al., 2012; Sharma y Srivastav, 2021). Esto muestra que las actitudes positivas pueden generar resultados más favorables.

Se entiende por actitudes hacia las estadísticas como una suma de emociones y sentimientos en el contexto del aprendizaje de la disciplina, que se experimentan a lo largo del tiempo (Gal et al., 1997). Por su parte, Batanero (2009) menciona que las actitudes constituyen un constructo mental que no es observable directamente, sino que se infiere a partir del comportamiento de las personas o de la valoración en una escala de actitudes. En este sentido, las actitudes se aprenden, ejercen influencia en el rendimiento del estudiantado y se encuentran mediadas por factores culturales (Ordóñez et al., 2019).

Es importante mencionar que existen pocos estudios dedicados a la elaboración de modelos teóricos que expliquen el constructo de la actitud y sus influencias en aspectos como los intereses y las metas del estudiantado, pues gran parte de las investigaciones en el tema se han dedicado a la construcción y adaptación de instrumentos que permitan medir dicho constructo (Ordóñez et al., 2019). Las escalas de actitud hacen referencia a cualquier instrumento que persigue la medición de la predisposición de una persona sobre cualquier objeto o fenómeno (Taherdoost, 2019). De este modo, en el campo de la educación, las actitudes normalmente se expresan en términos de valoraciones positivas o negativas (me gusta o no me gusta, agradable o desagradable), que reflejan el sentimiento de una persona hacia un libro de texto, un tema, una tarea o un proyecto, una institución o una persona docente (Gal et al., 1997).

La evaluación de las dimensiones de las actitudes del estudiantado se torna relevante, ya que los resultados pueden utilizarse para proporcionar información tanto a estudiantes como docentes, así como para evaluar la eficacia de diferentes planes de estudios o enfoques didácticos (Vanhoof et al., 2011). Además, el estudio de las actitudes y creencias del estudiantado con relación a la estadística merece atención por tres razones: (1) por su influencia en el proceso de enseñanza y aprendizaje (consideraciones del proceso); (2) por su influencia en el comportamiento estadístico del estudiantado una vez que ha abandonado el aula (consideraciones de resultados); y (3) por su influencia en la decisión del estudiantado de elegir o no inscribirse en un curso de estadística posterior, una vez que ha tenido un primer encuentro con los aspectos de esta disciplina (consideraciones de acceso) (Gal et al., 1997).

Para medir las actitudes en el área de la Estadística, se han propuesto una serie de instrumentos entre los cuales destacan la escala Attitudes Toward Statistics (ATS) (Wise, 1985), el Survey of Attitudes Toward Statistics (SATS) (Schau, 2003) o el SATS-M (Ramírez et al., 2012).

Para la creación del SATS, se presentó un extenso proceso de desarrollo y prueba en el que finalmente se logró incorporar 28 ítems (SATS-28) que buscan medir cuatro componentes de las actitudes: afecto, competencia cognitiva, dificultad y valor, cuya inclusión se dio con base en una variedad de teorías relacionadas con la multidimensionalidad de las actitudes (Schau, 2003). El afecto hace referencia a los sentimientos de las personas hacia las estadísticas. La competencia cognitiva considera el desarrollo intelectual, conocimientos y habilidades del estudiantado cuando aplican las estadísticas. Por otro lado, se entiende por dificultad como las actitudes de las personas sobre lo difícil que resulta la estadística como materia. Por último, el valor toma en cuenta las actitudes del grupo de estudiantes sobre la utilidad, relevancia y valor de las estadísticas en la vida personal y profesional (Schau, 2003). Posteriormente, se añadieron 8 preguntas divididas en dos subescalas adicionales (esfuerzo e interés), que conformaron un cuestionario de 36 ítems (Schau, 2003), el cual es conocido como SATS-36.

Para medir la calidad de las mediciones de un instrumento, suelen examinarse la fiabilidad y la validez de las puntuaciones. En su etapa inicial, la investigación empírica evidenció que el SATS presentaba buenas propiedades de medición. En el caso de la confiabilidad del SATS, evaluada por medio de la consistencia interna de los ítems que componen cada escala, generalmente, exhibía valores alfa razonablemente altos en todos los componentes, mientras que, en relación con la confiabilidad, la estructura inicial de cuatro componentes se ajustaba bien a las respuestas del SATS y que los ítems se ajustaban a sus componentes hipotéticos (Schau, 2003).

Sin embargo, investigaciones posteriores han señalado que los factores de afecto y competencia cognitiva tienden a mostrar una fuerte correlación con la escala de dificultad. Esta ha exhibido una correlación de moderada a fuerte con estas dos subescalas, por lo que se ha considerado necesaria una mayor investigación sobre la estructura del SATS, con el fin de estudiar con más detalle la relación entre afecto, competencia cognitiva y dificultad (Vanhoof et al., 2011).

De esta manera, el objetivo de la investigación consistió en comprobar las propiedades psicométricas, en términos de validez estructural y consistencia interna, de una versión traducida al idioma español del SATS-36, al ser aplicado a estudiantes de diversas carreras de ingeniería y matemática que matriculan cursos de Estadística en la Universidad Nacional.

Metodología

Participantes: El estudio es de tipo transversal no experimental, cuya muestra fue extraída de estudiantes de las áreas de ingeniería y matemática de la Universidad Nacional de Costa Rica. La población de estudio estuvo conformada por 445 estudiantes, de los que 235 estaban matriculados en la carrera de Enseñanza de la Matemática en el segundo ciclo del año 2021 y 210 provenían de las carreras de Ingeniería en Gestión Ambiental, Ingeniería en Bioprocesos, Topografía, Ingeniería en Sistemas de Información e Ingeniería Forestal, matriculados el curso de Probabilidad y Estadística durante el primer ciclo lectivo del año 2022. Luego de realizar un muestreo de conglomerados completos, se conformó una muestra de 281 estudiantes, de los cuales 135 provenían de la carrera de Enseñanza de la Matemática y 146 estudiantes de las carreras de Ingeniería.

El tamaño de muestra para este estudio se considera apropiado, pues, de acuerdo con Ferrando et al. (2022), el tamaño mínimo de muestra para realizar un análisis factorial debe ser de al menos 100 participantes para producir correlaciones estables, aunque tamaños superiores son recomendables. Por su parte, Knekta et al. (2019) mencionan que el tamaño de muestra depende de muchos aspectos, entre ellos el número de factores, el número de elementos por factor, las correlaciones, entre otros. No obstante, muestras superiores a 200 participantes son aceptables en la mayor parte de los casos.

Instrumento: Se aplicó un cuestionario que permitió obtener información sobre algunas características generales de la población de estudio como el sexo, la carrera matriculada, la condición de beca, entre otras, así como de las actitudes del estudiantado hacia la Estadística por medio de la incorporación de las preguntas de la versión traducida al idioma español del cuestionario SATS-36 (Schau, 2003), realizada por Rodríguez-Santero y Gil-Flores (2019). Las preguntas sobre las actitudes comprenden 36 ítems que se evalúan mediante una escala tipo Likert de 7 puntos, en la que el 1 significa estar completamente en desacuerdo y 7 manifiesta estar completamente de acuerdo con la afirmación propuesta. Estas 36 preguntas se encuentran repartidas en seis dimensiones: afecto (6), competencia cognitiva (6), valor (9), dificultad (7), interés (4) y esfuerzo (4). Cabe mencionar que, de los 36 ítems, existen 19 que se encuentran redactados en forma negativa. El instrumento se aplicó con ayuda del personal docente, quienes compartieron un enlace para completar el cuestionario por medio de un formulario en línea durante las primeras tres semanas de clases con el fin de que no se presentaran elementos que pudieran afectar las respuestas de las personas, pues la actitud que el estudiantado muestre hacia cualquier asignatura es influenciada por la forma de enseñar, las estrategias implementadas y el tipo de material de trabajo que se aborda (Ávila-Toscano et al., 2022). Además, la versión traducida del SATS fue aplicada inicialmente a un grupo de estudiantes con el fin de detectar posibles inconsistencias en cuanto a la redacción y estructura del cuestionario.

Análisis de los datos: Para realizar los análisis, y con el fin de que las actitudes positivas hacia la Estadística estuvieran identificadas con las puntuaciones más altas, las respuestas a las preguntas con enunciados negativos fueron recodificadas de forma inversa de modo que el máximo acuerdo fue asignado al valor 1 y el mínimo acuerdo al valor de 7.

Luego, se realizó un análisis factorial confirmatorio (AFC) sobre la estructura original del SAT-36, para determinar la confiabilidad de las escalas (coeficiente Alfa de Cronbach y Omega de McDonald) y valorar los indicadores de bondad de ajuste como el error cuadrático medio de aproximación, el índice de ajuste comparativo, el índice de Tucker-Lewis y el índice de bondad de ajuste (RMSEA, CFI, TLI y GFI, respectivamente, por sus siglas en inglés). Estos se consideran aceptables para valores inferiores a 0.08 para el RMSEA (ideal si es inferior a 0.05) y superiores a 0.85 para los índices CFI, TLI y GFI (ideal si es mayor o igual a 0.90). La obtención de un conjunto de valores deseados de RMSEA, CFI y TLI, tomando en cuenta los límites convencionales, constituye un indicador de que la mejora del modelo puede ser exitosa (Xia y Yang, 2019). El AFC indicó que el modelo de 6 factores no presentaba un buen ajuste, ya que los índices calculados no se encontraban dentro del rango considerado como aceptable (RMSEA = 0.175, CFI = 0.801, TLI = 0.784, GFI = 0.961) y los valores de confiabilidad de algunas escalas resultaron ligeramente por debajo de 0.70.

Tomando en cuenta que los valores de los indicadores de bondad de ajuste y de los coeficientes de confiabilidad de las escalas de afecto, dificultad y competencia cognitiva resultaron poco satisfactorios para la estructura de seis factores propuesta por las personas autoras del SATS-36, se procedió a realizar un análisis factorial exploratorio (AFE) basado en la matriz de correlaciones policóricas y la rotación oblicua oblimin, pues no hay evidencia, desde el punto de vista teórico, de que las dimensiones del constructo actitudes hacia la Estadística puedan considerarse independientes.

Para determinar la pertinencia del AFE, se recurrió a la prueba de esfericidad de Bartlett y al criterio Kaiser-Meyer-Olkin (KMO). Para efectos de estimación, se usó el método de Residuales Mínimos (MinRes), el cual es considerado análogo al de mínimos cuadrados no ponderados (Lloret-Segura et al., 2014). Para determinar el número de factores del modelo, se utilizó el análisis paralelo (AP). Asimismo, como criterio de selección, se consideró solo las saturaciones (r) de los ítems tales que r ≥ 0.40. Además, los análisis se ejecutaron mediante el uso de funciones del paquete psych (Revelle, 2022) y lavaan (Rosseel, 2012) del software R versión 4.2.0 (R Core Team, 2022).

Resultados

Del total de participantes del estudio, se determinó que 44.8% eran mujeres, 24.9% de las personas estaban matriculadas en la carrea de Ingeniería en Sistemas de Información, 10.0% eran de Ingeniería en Ciencias Forestales, 7.1% de Ingeniería Química, 5.7% estudiaban Ingeniería en Topografía y 4.3% de Gestión Ambiental. Además, el análisis descriptivo de los ítems mostró que ninguno de ellos posee valores faltantes y tienen valores medios entre 2.60 y 6.27 con desviaciones estándar de entre 1.27 y 1.99.

Dado que el AFC mostró resultados poco favorables, fue necesario precisar si era adecuado realizar un AFE. Los valores de la prueba de esfericidad de Bartlett (χ2 = 5306.01; grados de libertad = 630; p = 0.000) y del criterio de Kaiser-Meyer-Olkin (KMO = 0.890) indicaron la pertinencia de realizar un AFE a los datos. Seguidamente, se procedió a determinar el número de factores del modelo, para lo que se utilizó el AP como criterio de selección. Este sugirió, en una primera instancia, cinco factores. Debido al tamaño de la muestra, se consideraron solo las saturaciones de los ítems tales que r ≥ 0.40, lo que llevó a eliminar los ítems 11 y 30. En un segundo intento, el AP sugirió nuevamente cinco factores y la eliminación del ítem 34. En una tercera oportunidad, el AP determinó cuatro factores y se procedió a eliminar los ítems 22 y 36, mientras que en una cuarta ocasión el AP sugirió nuevamente cuatro factores en el que se elimina el ítem 24, resultando así un modelo de cuatro factores (Tabla 1).

Tabla 1 Matriz de componentes rotados (n = 281) 

Ítem Factor 1 Factor 2 Factor 3 Factor 4
ITEM_20 0.857 0.030 0.048 -0.118
ITEM_12 0.760 -0.051 0.036 -0.020
ITEM_3 0.738 0.098 -0.104 0.109
ITEM_19 0.694 0.237 -0.175 0.120
ITEM_17 0.683 0.054 -0.008 -0.133
ITEM_10 0.679 -0.189 0.182 -0.108
ITEM_29 0.631 -0.059 0.179 0.180
ITEM_23 0.607 -0.126 0.179 0.275
ITEM_9 0.553 -0.147 0.261 0.103
ITEM_6 0.509 0.076 -0.105 0.070
ITEM_32 0.487 0.187 -0.047 0.366
ITEM_31 0.412 -0.004 0.206 0.412
ITEM_35 0.100 0.671 0.023 0.010
ITEM_8 0.043 0.651 0.104 -0.118
ITEM_28 -0.004 0.649 0.004 0.012
ITEM_5 -0.133 0.626 0.072 0.120
ITEM_4 -0.095 0.587 0.094 -0.031
ITEM_18 0.042 0.574 0.072 0.020
ITEM_26 0.095 0.568 0.051 -0.131
ITEM_15 0.050 0.514 0.217 -0.008
ITEM_25 0.085 0.032 0.798 -0.093
ITEM_33 0.007 0.135 0.678 0.072
ITEM_16 0.002 0.117 0.655 0.034
ITEM_7 -0.003 0.121 0.505 0.053
ITEM_21 -0.093 0.175 0.480 0.027
ITEM_13 -0.071 0.049 0.452 0.123
ITEM_2 -0.048 0.004 -0.038 0.894
ITEM_1 0.023 -0.018 0.006 0.822
ITEM_27 0.176 -0.124 0.234 0.468
ITEM_14 0.265 -0.180 0.152 0.399

Nota: Se utilizó la rotación oblimin.

Fuente: Elaboración propia.

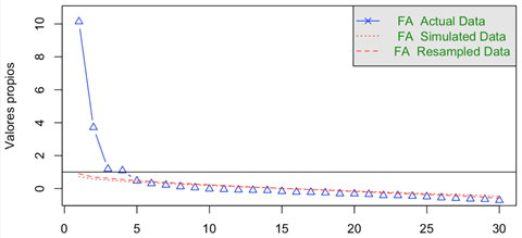
Asimismo, el gráfico de sedimentación permite apreciar la conveniencia de seleccionar cuatro factores (criterio de Kaiser) (Figura 1).

Número de factores

Fuente Elaboración propia.

Figura 1 Gráfico de sedimentación para el SAT-36, luego de eliminar los ítems 11, 22, 24, 30, 34 y 36 

De acuerdo con el AFE, el porcentaje de variancia explicada del modelo de cuatro factores es de 57.44% a partir de la eliminación de los ítems 11, 22, 24, 30, 34 y 36, los cuales, exceptuando el ítem 11, pertenecen a la escala original de dificultad. De los cuatro factores resultantes, el primero de ellos coincide con el factor interés del cuestionario original adicionando los ítems redactados de manera positiva de las escalas de valor, competencia cognitiva y afecto, sumado al ítem 6 de dificultad que también está redactado de forma positiva. El segundo factor combina los ítems de afecto y competencia cognitiva redactados de forma negativa, es decir, los que requirieron de una recodificación de las escalas. El tercer factor quedó constituido por la mayoría de los ítems de la escala de valor y que estaban redactados en forma negativa y el factor cuatro coincide con el factor de esfuerzo del cuestionario original (Tabla 2).

Tabla 2 Disposición de los ítems de acuerdo con el AFE 

Factor Ítems Referencia a la escala original
Factor 1 12, 20, 23, 29, 9, 10, 17, 31, 32, 3, 19, 6 Interés (4), valor (3), competencia cognitiva (2), afecto (2) y dificultad (1)
Factor 2 4, 15, 18, 28, 5, 26, 35 Afecto (4) y competencia cognitiva (3)
Factor 3 7, 13, 16, 21, 25, 33 Valor (6)
Factor 4 1, 2,14, 27 Esfuerzo (4)

Nota: Los ítems de los factores 2 y 3 fueron recodificados ya que estaban redactados en forma negativa.

Fuente: Elaboración propia.

Para determinar la confiabilidad de las nuevas escalas sugeridas a partir del AFE, se utilizó el Omega de McDonald, cuyo uso se recomienda con datos ordinales, pues es un coeficiente de fiabilidad no lineal basado en el modelamiento de ecuaciones estructurales y que en estos casos resulta más apropiado que el coeficiente Alfa de Cronbach (Green y Yang, 2009). No obstante, para efectos de comparación, se reportaron los valores de ambos coeficientes para cada factor derivado del AFE, los cuales se consideran aceptables y en la mayoría de los casos superiores a los de los factores originales del SATS-36 (Tabla 3).

Tabla 3 Coeficientes de confiabilidad para las escalas conformadas para el modelo original y el propuesto 

Factor Modelo original Factor Modelo propuesto
- Omega Alfa Omega Alfa
Afecto 0.82 0.68 Factor 1 0.94 0.92
Competencia cognitiva 0.82 0.68 Factor 2 0.88 0.84
Valor 0.88 0.81 Factor 3 0.89 0.79
Dificultad 0.70 0.63 Factor 4 0.88 0.82
Interés 0.92 0.90 - - -
Esfuerzo 0.88 0.82 - - -

Nota: Los ítems 6 y 22 del constructo dificultad fueron eliminados.

Fuente: Elaboración propia.

Dado que el análisis factorial confirmatorio (AFC) aplicado a las escalas originales del SATS-36 mostró índices de ajuste no satisfactorios, se decidió realizar una AFC a las escalas propuestas y así comparar los resultados obtenidos con el modelo original. El AFC sobre el modelo propuesto de cuatro factores obtuvo indicadores de bondad de ajuste que se consideran aceptables (RMSEA < 0.08, CFI > 0.90, TLI > 0.90 y GFI > 0.90) y que son superiores a los exhibidos por el modelo original (Tabla 4).

Tabla 4 Indicadores de bondad de ajuste del AFC para las escalas conformadas para el modelo original y el propuesto 

Indicador Modelo original Modelo propuesto
RMSEA 0.175 0.054
CFI 0.801 0.980
TLI 0.784 0.978
GFI 0.961 0.992

Fuente: Elaboración propia.

La estructura factorial resultante de las escalas propuestas muestra que la mayoría de las correlaciones entre las variables y su respectivo factor son superiores a 0.60, siendo 0.49 la más baja en el ítem 21 (las conclusiones estadísticas rara vez se presentan en la vida cotidiana) y 0.91 la más alta en el ítem 23 (tengo interés en entender la información estadística). Además, las correlaciones entre los factores no son cercanas a 1, por lo que no hay evidencia de que dos factores representen la misma dimensión (Figura 2).

Figura 2 Análisis Factorial confirmatorio para el modelo de cuatro factores propuesto 

Discusión

Con el fin de valorar las propiedades psicométricas y conocer las actitudes hacia la Estadística en un grupo de estudiantes que matriculan cursos de la asignatura en la Universidad Nacional, se llevó a cabo la aplicación de una versión traducida al idioma español del SATS-36.

Los resultados del estudio mostraron que el modelo original del SATS-36 no proporcionaba un buen ajuste. Además, el AFE indicó que una estructura de cuatro dimensiones podría ser la adecuada para la población de estudio y el AFC sobre la estructura de cuatro factores reveló que los valores alfa de Cronbach y Omega de McDonald varían entre 0.79 y 0.94, lo cual señala una buena consistencia interna de las subescalas del modelo propuesto.

Siguiendo el criterio de conservar los ítems con saturaciones superiores o iguales a 0.40, los análisis sugirieron la eliminación de seis ítems (11, 22, 24, 30, 34, 36), cinco de los cuales, exceptuando el 11, corresponden al constructo original relacionado con dificultad. Estudios previos han sugerido la eliminación del ítem 11 (Rodríguez-Santero y Gil-Flores, 2019), 22, 34 (Persson et al., 2019; Vanhoof et al., 2011), 36 (Vanhoof et al., 2011) y 30 (Persson et al., 2019). La eliminación de los ítems 22 (la estadística es una materia que la mayoría de las personas aprende rápidamente) y 36 (la mayoría de la gente tiene que cambiar su manera de pensar para afrontar la estadística) podría estar explicada por el hecho de que estos hacen referencia a un tema que tiene que ver más en como la mayoría de las personas perciben la Estadística que con una actitud personal hacia la disciplina. Las razones por las cuales puede haber un mal funcionamiento de la pregunta 34 (la estadística es altamente técnica) parecen no estar claras (Vanhoof et al., 2011). Lo expresado en el ítem 34 y en el 30 (la estadística implica muchos cálculos) podrían ser situaciones que no afecten o inhiban al estudiantado actual, dada la existencia de un amplio acceso a herramientas tecnológicas que facilitan las tareas relacionadas con la aplicación de algoritmos (Persson et al., 2019).

Otro aspecto sobre el que no se tiene claridad es por qué se elimina el ítem 24 (Aprender estadística requiere de mucha disciplina). Se ha mencionado, a partir de los resultados con estudiantes de secundaria, que posiblemente a este nivel el estudiantado no hace una clara distinción entre las disciplinas de Estadística y Matemática (Hommik y Luik, 2017). Sin embargo, serían necesarios más estudios que permitan validar esta conjetura y determinar si esa falta de diferenciación puede permanecer aún en el contexto universitario. Por otro lado, Xu y Shau (2019) sugieren que la escala de dificultad del SATS-36 requiere una revisión más detallada de sus ítems, pues diferentes estudios no muestran un patrón de consistencia de la escala, ya que en distintas administraciones del cuestionario se ha sugerido la eliminación o modificación de algunos ítems, entre ellos el 24.

Los resultados del estudio concuerdan con investigaciones previas en las que se ha sugerido una reducción a la estructura factorial original del SATS. Cashin y Elmore (2005) concluyeron que afecto, competencia cognitiva y dificultad podrían combinarse en un solo factor, sugiriendo que la estructura del SATS-28 podría agruparse en dos dominios o subescalas. Además, al analizar la estructura del SATS-36, se concluyó que, dependiendo de los objetivos de un estudio específico, las seis subescalas podrían utilizarse, o bien, tres de ellas (afecto, competencia cognitiva y dificultad) pueden combinarse en una subescala sin que se pierda mucha información (Vanhoof et al., 2011).

Por otro lado, la aplicación del SATS-36 a un grupo de estudiantes de nivel de secundaria reveló que una estructura de 4 factores podría considerarse adecuada luego de que el modelo de 6 factores no mostrara un buen ajuste (Hommik y Luik, 2017). Además, Rodríguez-Santero y Gil-Flores (2019) concluyeron que después de la eliminación de algunos ítems, un modelo de 5 factores puede describir de manera adecuada las interrelaciones observadas entre los ítems del SATS-36 en estudiantes que cursan un plan de estudios en Pedagogía.

Sin embargo, existen estudios recientes que han confirmado que la estructura del modelo de cuatro factores (Sin y Rosli, 2020), así como el de seis factores (Persson et al., 2019; Stanisavljevic et al., 2014; Wang et al., 2018), proporciona un buen ajuste.

No obstante, a pesar de que los resultados indiquen que el ajuste obtenido es favorable, se han presentado algunas diferencias con la estructura original del SATS. En una aplicación del instrumento hecha en Malasia, por ejemplo, para lograr un buen ajuste, se descartaron 14 ítems del modelo inicial que presentaron bajo índice de carga factorial, dejando el modelo final del SATS-28 con 14 preguntas dentro de cuatro constructos (Sin y Rosli, 2020). En el caso de un estudio realizado en Suecia, la estructura de seis factores de la versión del SATS-36 fue confirmada tras la exclusión de tres ítems del componente dificultad y la aceptación de la correlación de dos ítems del componente afecto y de dos ítems del componente competencia cognitiva (Persson et al., 2019). Además, a pesar de que la estructura de seis factores fue confirmada en Serbia, se indicó que los coeficientes de consistencia interna respaldaron la confiabilidad de los componentes excepto el de dificultad (Stanisavljevic et al., 2014).

A partir de algunas consideraciones señaladas, puede notarse que los resultados de los diferentes estudios sobre el ajuste del modelo original del SATS no son uniformes en todas las poblaciones y esa falta de homogeneidad puede deberse a diversas causas. Por una parte, hay estudiantes a los que no les gusta la Estadística porque la consideran una asignatura difícil, que está relacionada con la Matemática y que es una disciplina que no necesitan en sus carreras. Estas creencias que afectan el proceso de aprendizaje y la forma de aplicar lo aprendido (Sharma y Srivastav, 2021), lo que podría repercutir en la forma de comprender y valorar la asignatura. Además, se ha mencionado que las diferencias culturales, así como factores como la edad o el sexo, podrían influir sobre la forma en que el estudiantado percibe la Estadística (Cashin y Elmore, 2005; Hommik y Luik, 2017).

Otro aspecto adicional al de la falta de homogeneidad en los resultados entre los diferentes estudios tiene que ver con la situación de combinación de constructos y de eliminación de ítems para ajustar la estructura factorial. Esta situación deber ser manejada con precaución y ser objeto de análisis más detallados (Rodríguez-Santero y Gil-Flores, 2019; Xu y Schau, 2019).

Conclusiones

A pesar de los distintos señalamientos sobre el SATS-36, el uso de un instrumento que permite obtener valoraciones del estudiantado universitario sobre su percepción de la Estadística es de gran valor en tiempos en que la disciplina ha tenido un gran auge tanto dentro del campo de la educación como en el de la investigación.

Tener información sobre la percepción del estudiantado es de utilidad para el trabajo docente, de modo que permitiría generar elementos que pueden ser utilizados con el objetivo de mejorar los procesos de enseñanza y aprendizaje de la disciplina. Por ejemplo, se podrían utilizar las actitudes positivas hacia la asignatura para reforzar la utilidad que tienen las diferentes aplicaciones estadísticas que permiten mejorar el desempeño laboral, en cuanto a los aspectos de la vida profesional se refiere, y el sentido crítico en lo personal.

Asimismo, tomar en cuenta las actitudes hacia la Estadística dentro de la planificación de intervenciones podría ayudar al estudiantado a mejorar su proceso de aprendizaje (Sharma y Srivastav, 2021). Además, conocer las actitudes del estudiantado que va a iniciar un curso de estadística permitiría detectar personas que podrían experimentar mayor el riesgo de fracaso o abandono escolar (Rodríguez-Santero y Gil-Flores, 2019).

La identificación de actitudes negativas puede funcionar como un indicador de alerta para el personal docente, el cual puede promover actividades que reflejen la importancia y uso de la Estadística en el mundo moderno en la recolección, tratamiento, análisis e interpretación de datos que ayudan a la toma de decisiones basadas en evidencia empírica y, de esta manera, motivar al estudiantado.

La implementación de modelos de clases basadas en proyectos donde el estudiantado necesariamente tenga que involucrarse en las diferentes etapas que conlleva realizar un análisis estadístico, desde la identificación del problema hasta la toma de decisiones, no solo mejora la experiencia de aprendizaje, sino que mejorará la actitud hacia la asignatura.

La aplicación de la versión en idioma español del SATS-36 a estudiantes de la Universidad Nacional permitió, entre otras cosas, valorar la estructura del instrumento, estableciendo un modelo de cuatro factores, y obtener un acercamiento a las impresiones de esta población costarricense sobre la Estadística, como un aporte adicional al desarrollo de la investigación en la disciplina. No obstante, se recomienda continuar con los estudios tendientes a comprobar si la estructura factorial planteada en el SAT-36 se mantiene en otros contextos universitarios y con estudiantes de diferentes áreas de conocimiento o, por el contrario, se evidencia una estructura factorial diferente, en cuyo caso se pueden realizar aportes en cuanto a la distribución de los ítems y el número de factores, como es el caso de esta investigación. También, puede resultar relevante realizar una revisión de la redacción de los ítems con el fin de determinar si existen inconsistencias que puedan estar afectando la interpretación que el estudiantado realiza a cada una de las interrogantes planteadas.

Por otro lado, los resultados del estudio podrían servir para que futuras investigaciones puedan enfocarse en el planteamiento de la construcción y validación de nuevos instrumentos para medir las actitudes hacia la estadística que consideren los avances en materia tecnológica y de aplicación que la disciplina ha experimentado en los últimos años, junto con un fundamento teórico más robusto. Asimismo, el uso de otros enfoques para evaluar la confiabilidad de los instrumentos como la teoría de respuesta a los ítems pueden aportar un mayor entendimiento sobre la dificultad y el poder de discriminación de los ítems. Otras líneas de investigación podrían enfocarse en determinar si es posible establecer una relación entre las actitudes hacia la estadística y el rendimiento académico o la tasa de permanencia del estudiantado.

Por último, es relevante señalar que como parte de las limitaciones de la investigación se encuentra el hecho de que, durante el período de recolección de datos, las clases eran impartidas de forma virtual, lo cual podría haber afectado los resultados, dada la aplicación de un instrumento con dimensiones relacionadas con áreas afectivas. La aplicación de instrumentos en línea puede afectar los resultados del proceso, ya que no se tiene control sobre las personas que responden (Pozzo et al., 2018).

Referencias

Ávila-Toscano, J. H., Tovar-Ortega, T., y Herrera-Romero, H. (2022). Actitud hacia la estadı́stica en estudiantes de educación media y universitaria según el sexo. Tecné, Episteme y Didaxis: TED, 51, 153-168. https://doi.org/10.17227/ted.num51-11799 [ Links ]

Batanero, C. (2009). Retos para la formación estadística de los profesores. Actas do II Encontro de probabilidades e estatística na escola, 7-21. https://www.ugr.es/~batanero/pages/ARTICULOS/Formprofesores.pdfLinks ]

Bourne, V. J., y Nesbit, R. J. (2018). Do attitudes towards statistics influence the decision to study psychology at degree level? A pilot investigation (¿Influyen las actitudes hacia la estadística en la decisión de estudiar psicología a nivel de grado? Un estudio piloto). Psychology Teaching Review, 24(2), 55-63. https://files.eric.ed.gov/fulltext/EJ1196496.pdfLinks ]

Cashin, S. E., y Elmore, P. B. (2005). The survey of attitudes toward statistics scale: A construct validity study Escala de la encuesta de actitudes hacia la estadística: Un estudio de validez del constructo Educational and Psychological Measurement, 65(3), 509-524. http://citeseerx.ist.psu.edu/viewdoc/download?doi=10.1.1.993.5966&rep=rep1&type=pdfLinks ]

Ferrando, P. J., Lorenzo, U., Hernández, A., y Muñiz, J. (2022). Decálogo para el análisis factorial de los ítems de un test. Psicothema, 34(1), 7-17. https://doi.org/10.7334/psicothema2021.456 [ Links ]

Gal, I., Ginsburg, L., y Schau, C. (1997). Monitoring attitudes and beliefs in statistics education (Supervisando actitudes y creencias en la educación estadística). The Assessment Challenge in Statistics Education, 12, 37-51. https://www.causeweb.org/cause/archive/artist/articles/Attitudes.pdfLinks ]

Gopal, K., Salim, N., y Ayub, A. (2018). Influence of self-efficacy and attitudes towards statistics on undergraduates’ statistics engagement in a Malaysian public university (Influencia de la autoeficacia y las actitudes hacia las estadísticas en el compromiso estadístico de los estudiantes universitarios en una universidad pública de Malasia). Journal of Physics: Conference Series, 1132. https://iopscience.iop.org/article/10.1088/1742-6596/1132/1/012042/metaLinks ]

Green, S. B., y Yang, Y. (2009). Reliability of summed item scores using structural equation modeling: An alternative to coefficient alpha Fiabilidad de las puntuaciones de los ítems utilizando modelos de ecuaciones estructurales: una alternativa al coeficiente alfa. Psychometrika, 74, 155-167. https://doi.org/10.1007/S11336-008-9099-3 [ Links ]

Hommik, C., y Luik, P. (2017). Adapting the survey of attitudes towards statistics (SATS-36) for Estonian secondary school students Adaptación de la encuesta de actitudes hacia las estadísticas (SATS-36) para estudiantes de secundaria de Estonia. Statistics Education Research Journal, 16(1), 228-239. https://doi.org/10.52041/serj.v16i1.229 [ Links ]

Knekta, E., Runyon, C., y Eddy, S. (2019). One size doesn’t fit all: Using factor analysis to gather validity evidence when using surveys in your research El mismo tamaño no sirve para todos: Uso del análisis factorial para recopilar evidencia de validez al usar encuestas en su investigación. CBE-Life Sciences Education, 18(1), 1-17. https://doi.org/10.1187/cbe.18-04-0064 [ Links ]

Lloret-Segura, S., Ferreres-Traver, A., Hernández-Baeza, A., y Tomás-Marco, I. (2014). El análisis factorial exploratorio de los ítems: Una guía práctica, revisada y actualizada. Anales de Psicología, 30(3), 1151-1169. https://doi.org/10.6018/analesps.30.3.199361 [ Links ]

Ordóñez, X. G., Romero, S. J., y Ruiz, C. (2019). Actitudes hacia la Estadística en alumnos de Educación: Análisis de perfiles. Revista de Educación, 385(7), 173-192. https://doi.org/10.4438/1988-592X-RE-2019-385-421 [ Links ]

Persson, I., Kraus, K., Hansson, L., y Wallentin, F. Y. (2019). Confirming the structure of the survey of attitudes toward statistics (SATS-36) by Swedish students Confirmación de la estructura de la encuesta de actitudes hacia la estadística (SATS-36) por estudiantes suecos. Statistics Education Research Journal, 18(1), 83-93. https://doi.org/10.52041/serj.v18i1.151 [ Links ]

Pozzo, M. I., Borgobello, A., y Pierella, M. P. (2018). Uso de cuestionarios en investigaciones sobre universidad: Análisis de experiencias desde una perspectiva situada. Revista Latinoamericana de Metodología de las Ciencias Sociales, 8(2), e046. http://www.memoria.fahce.unlp.edu.ar/art_revistas/pr.9347/pr.9347.pdfLinks ]

R Core Team. (2022). R: A Language and Environment for Statistical Computing (version 4.2.0) R: Un lenguaje y entorno para la Estadística Computacional (versión 4.2.0). https://www.R-project.org/Links ]

Ramírez, C., Schau, C., y Emmioğlu, E. (2012). The importance of attitudes in statistics education La importancia de las actitudes en la educación estadística. Statistics Education Research Journal, 11(2), 57-71. https://doi.org/10.52041/serj.v11i2.329 [ Links ]

Revelle, W. (2022). Psych: Procedures for psychological, psychometric, and ersonality research Psych: Procedimientos para la investigación psicológica, psicométrica y de la personalidad. https://CRAN.R-project.org/package=psychLinks ]

Rodríguez-Santero, J., y Gil-Flores, J. (2019). Actitudes hacia la estadística en estudiantes de ciencias de la educación. Propiedades psicométicas de la versión española del survey of attitudes toward statistics (SATS-36). RELIEVE Revista Electrónica de Investigación y Evaluación Educativa, 25(1), 1-17. https://doi.org/10.7203/relieve.25.1.12676 [ Links ]

Rosseel, Y. (2012). lavaan: An R package for structural equation modeling (lavaan: Un paquete R para el modelado de ecuaciones estructurales). Journal of Statistical Software, 48(2), 1-36. http://www.jstatsoft.org/v48/i02 Links ]

Schau, C. (2003). Students’ attitudes: The ''other'' important outcome in statistics education Actitudes de los estudiantes: El ''otro'' resultado importante en la educación estadística. http://www.statlit.org/pdf/2003schauasa.pdfLinks ]

Sharma, A. M., y Srivastav, A. (2021). Study to assess attitudes towards statistics of business school students: An application of the SATS-36 in India Estudio para evaluar las actitudes hacia la estadística de estudiantes de escuelas de negocios: Una aplicación del SATS-36 en la India. International Journal of Instruction, 14(3), 207-222. https://doi.org/10.29333/iji.2021.14312a [ Links ]

Sin, Y. C., y Rosli, R. (2020). Validity and reliability of the survey of attitudes toward statistics (SATS) instrument Validez y confiabilidad de la encuesta de actitudes hacia la estadística (SATS). Malaysian Journal of Education (0126-6020), 45(1), 17-24. https://doi.org/10.17576/JPEN-2020-45.01SI-03 [ Links ]

Stanisavljevic, D., Trajkovic, G., Marinkovic, J., Bukumiric, Z., Cirkovic, A., y Milic, N. (2014). Assessing attitudes towards statistics among medical students: Psychometric properties of the Serbian version of the survey of attitudes towards statistics (SATS) Evaluación de las actitudes hacia las estadísticas entre los estudiantes de medicina: propiedades psicométricas de la versión serbia de la encuesta de actitudes hacia las estadísticas (SATS). PloS One, 9(11), e112567. https://doi.org/10.1371/journal.pone.0112567 [ Links ]

Taherdoost, H. (2019). What is the best response scale for survey and questionnaire design; review of different lengths of rating scale/attitude scale/Likert scale ¿Cuál es la mejor escala de respuesta para el diseño de encuestas y cuestionarios?: Revisión de diferentes longitudes de escala de calificación/escala de actitud/escala de Likert. International Journal of Academic Research in Management, 8(1), 1-10. https://papers.ssrn.com/sol3/papers.cfm?abstract_id=3588604Links ]

Vanhoof, S., Kuppens, S., Sotos, A. E. C., Verschaffel, L., y Onghena, P. (2011). Measuring statistics attitudes: Structure of the survey of attitudes toward statistics (SATS-36) Medición de las actitudes estadísticas: Estructura de la encuesta de actitudes hacia las estadísticas (SATS-36). Statistics Education Research Journal, 10(1), 35-51. https://doi.org/10.52041/serj.v10i1.354 [ Links ]

Wang, P., Palocsay, S. W., Shi, J., y White, M. M. (2018). Examining undergraduate students’ attitudes toward business statistics in the United States and China Examinando las actitudes de los estudiantes universitarios hacia las estadísticas empresariales en los Estados Unidos y China. Decision Sciences Journal of Innovative Education, 16(3), 197-216. https://doi.org/10.1111/dsji.12159 [ Links ]

Wise, S. L. (1985). The development and validation of a scale measuring attitudes toward statistics El desarrollo y validación de una escala para medir las actitudes hacia la estadística. Educational and Psychological Measurement, 45(2), 401-405. https://doi.org/10.1177/001316448504500226 [ Links ]

Xia, Y., y Yang, Y. (2019). RMSEA, CFI, and TLI in structural equation modeling with ordered categorical data: The story they tell depends on the estimation methods RMSEA, CFI y TLI en modelos de ecuaciones estructurales con datos categóricos ordenados: La historia contada depende de los métodos de estimación. Behavior Research Methods, 51, 409-428. https://doi.org/10.3758/s13428-018-1055-2 [ Links ]

Xu, C., y Schau, C. (2019). Exploring method effects in the six-factor structure of the survey of attitudes toward statistics (SATS-36) Explorando los efectos del método en la estructura de seis factores de la encuesta de actitudes hacia las estadísticas (SATS-36). Statistics Education Research Journal, 18(2), 39-53. https://www.iase-web.org/ojs/SERJ/article/view/139/46Links ]

Recibido: 08 de Marzo de 2023; Aprobado: 21 de Julio de 2023

Creative Commons License Este es un artículo publicado en acceso abierto bajo una licencia Creative Commons