Introducción
La contaminación del suelo está ligada al almacenamiento de residuos sólidos a cielo abierto, sin embargo, la gestión de estos residuos a nivel global es insuficiente, llegando a afectar a millones de personas (1). Es así, que la población ha aumentado en el último siglo, acrecentando la producción de residuos sólidos municipales en todo el mundo (2). En Colombia la acumulación de residuos ascendió a 31 310 000 toneladas para el año 2022, esto junto a las prácticas deficientes para la captación de las aguas de escorrentía que conlleva al aumento de lixiviados generados en los depósitos (3). Los lixiviados, producto de la degradación de residuos almacenados en los rellenos sanitarios, conducen a la contaminación de los suelos y de las aguas subterráneas (4) con metales pesados (5).
En general, en Colombia la disposición final de residuos es inadecuada, debido a las difíciles condiciones topográficas junto con una deficiente gestión ambiental (6). Como resultado, los residuos generan lixiviados que, a su vez, producen cambios en las propiedades físicas y químicas del suelo (7). Estos lixiviados al infiltrarse alteran la calidad de las aguas subterráneas y superficiales, las cuales pueden ser fuente de consumo para los humanos, plantas o animales aledaños a las fuentes hídricas. Además, la presencia de compuestos químicos presentes en los vertederos afecta de manera negativa el desarrollo de vegetación natural (8). Por lo tanto, los tratamientos de fitorremediación están alineados con los objetivos de desarrollo sostenible (ODS) tales como: “salud y bienestar” y “agua limpia y saneamiento” al mitigar la contaminación de los suelos, fuentes hídricas y promover espacios libres de contaminantes (9).
Lo anterior, sumado a los pocos estudios realizados, genera la necesidad de investigar los efectos causados por los lixiviados al suelo, junto a los beneficios de mejora de la calidad del suelo y del agua, con la implementación de especies forestales con capacidad de remediar estos ambientes contaminados. La fitorremediación es un método utilizado para descontaminar, metabolizar, extraer y degradar metales pesados o contaminantes del suelo de forma natural, siendo una alternativa sostenible, eficiente y económica (10). Además, las especies forestales pueden aportar a diversos servicios ambientales como el aumento en la fertilidad de los suelos, captura de carbono, mantenimiento de la diversidad biológica, y regulación de sustancias tóxicas (11).
Dentro de los objetivos de los planes de gestión integral de residuos sólidos (PGIRS) de los municipios de Colombia, está consignado realizar actividades de restauración, revegetalización y paisajismo en la etapa final de las Plantas de Tratamiento de Residuos Sólidos (PTRS) o rellenos sanitarios, de tal manera que se mitigue y compense los cambios paisajísticos y de uso del suelo que se generaron por el uso de las mismas. Por lo anterior, los objetivos de la investigación fueron: i) determinar las propiedades fisicoquímicas de los suelos contaminados con lixiviados provenientes del relleno sanitario de Málaga (Santander), y comparar variables de crecimiento en cinco especies forestales plantadas en suelos contaminados y no contaminados; ii) cuantificar mediante análisis foliares la acumulación de elementos químicos en las plántulas establecidas, y iii) examinar el grado de fitorremediación obtenido de las especies en suelo contaminado por lixiviado.
Materiales y Métodos
Área de estudio
El relleno sanitario se encuentra ubicado en el municipio de Málaga (Santander) sobre la Cordillera Oriental de Colombia, donde se presenta una precipitación media anual de 1 400 mm y temperatura de 17 °C, a una altitud de 2 100 m s. n. m. Málaga presenta una población aproximada de 19 884 personas, las cuales habitan en 6 032 viviendas donde el 86 % cuentan con el servicio de recolección de residuos (12) que terminan en el relleno sanitario donde se realizó el muestreo de suelos.
Diseño experimental y toma de datos
Se realizó un muestreo de suelos con el protocolo estándar (13) en forma de zigzag con un barreno y un palín previamente desinfectados, se tomaron ocho submuestras a 20 cm de profundidad para conformar una muestra, este procedimiento se aplicó a un suelo contaminado con lixiviado extraído del sistema de recirculación del relleno sanitario, y otro en un suelo no contaminado cerca al sitio. Estas muestras, se llevaron al Laboratorio Químico de Consultas Industriales de la UIS donde se analizó la textura, concentración de iones de hidrógeno (pH), capacidad de intercambio catiónico (CIC), conductividad eléctrica (CE) y elementos como: carbono, fósforo, calcio, magnesio, sodio, potasio, hierro, manganeso, cobre, zinc, boro y azufre. Posteriormente, se recolectó muestras de ambos tipos de suelos (contaminado y no contaminado) a 20 cm de profundidad y se llevaron al vivero de la Universidad Industrial de Santander - UIS sede Málaga empacadas en bolsas herméticas con el propósito de implementar eras de crecimiento y plantar cinco especies forestales en cada tipo de suelo para monitorear su desarrollo en dos contenedores de madera de dimensiones 1 m x 1m x 0,25 m.
Las especies forestales seleccionadas fueron: Salix humboldtiana Willd. (sauce), Alnus acuminata Kunth (aliso), Lafoensia acuminata (Ruiz & Pav.) DC. (guayacán de Manizales), Leucaena leucocephala (Lam.) de Wit (leucaena) y Sambucus nigra L (sauco). Estas especies se seleccionaron por ser representativas de la región, su adaptación al clima andino, y disponibilidad de material vegetal en viveros. Por cada especie, se sembraron cinco plántulas en el suelo contaminado y cinco en el no contaminado. A escala semanal (por 20 semanas), se midieron variables de crecimiento como el diámetro a la altura del cuello (DAC), altura (H), diámetro de copa (DC) y número de hojas (NH). La profundidad de la raíz (PR) se midió únicamente al final del ensayo, extrayendo los individuos de los contenedores.
Al suelo con fitorremediación (suelo contaminado con lixiviado donde se plantaron las especies forestales durante 140 días) se le realizó el mismo análisis para determinar el cambio en sus propiedades químicas luego del crecimiento de las plántulas. Finalmente, se realizaron 10 muestreos foliares (una muestra combinada con 100 g de hojas por especie plantada en cada tipo de suelo) y se enviaron al laboratorio con la finalidad de determinar la cantidad de elementos absorbidos por especie (nitrógeno, fósforo, potasio, calcio, magnesio, hierro, manganeso, cobre, zinc, boro y azufre) capturados en el follaje de las diferentes especies en el suelo contaminado y no contaminado.
Procesamiento de datos
Para cada variable (DAC, H, DC y NH) de los cinco individuos de cada especie, se calcularon los valores promedio y desviación estándar. También, se obtuvieron puntos de crecimiento por especie en los dos tipos de suelos (contaminado y no contaminado). Luego, se ajustaron series temporales con respecto al crecimiento de las variables por especie. Con la finalidad de determinar las diferencias significativas en el crecimiento de los individuos entre tratamientos, se realizó la prueba “T-Test” de Apin-Welch en cada variable. Se realizaron pruebas de Shapiro-Wilks para comprobar el supuesto de normalidad y la prueba de Levene para hallar la homocedasticidad. Todos los análisis se realizaron en el “software” R, en su versión 4.4.2.
Resultados y Discusión
Condiciones iniciales de los suelos
En el suelo no contaminado se encontró una textura franco-arenosa, un pH de 5,6 y un contenido de materia orgánica de 3,47 %, niveles altos en hierro (265 ppm), calcio (15,8 meg/100g), zinc (12 ppm) y potasio (2,67 meg/100g). Por su parte, el suelo contaminado presentó una textura franca arcillo arenosa, mayor pH (6,6), pero con menor cantidad de materia orgánica (1,78 %). Este último mostró niveles altos en calcio (28,1 meg/100g) y azufre (17,8 ppm). La CIC en ambos suelos fue similar, mientras la conductividad eléctrica fue mayor en el suelo contaminado (Cuadro 1).
Evolución temporal en el crecimiento de las especies
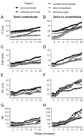
A partir de los 35 días todas las especies presentaron mayor crecimiento en H en suelo no contaminado (Figura 1, B). Las especies A. acuminata y L. leucocephala resaltaron por presentar mayores valores de crecimiento en DAC (>8,2 cm) para ambos tratamientos, mientras L. acuminata, S. humboldtiana y S. nigra presentaron un mayor crecimiento en DAC en el suelo no contaminado (>8,4 cm) con referencia al contaminado (<6,4 cm) (Figura 1, D). Las diferentes especies presentaron un aumento o disminución en el DC a medida que transcurría el tiempo, sin embargo, L. leucocephala presentó un mayor DC (>40,7 cm) con respecto a las otras especies para ambos tratamientos. La dimensión de la copa puede cambiar en algunas especies según la disponibilidad de agua y nutrientes presentes en el suelo (14). Las condiciones micro climáticas en conjunto con las propiedades del suelo son factores importantes que intervienen en la variación morfológica de las plantas, lo que podría explicar las variaciones en el DC que presentaron algunos individuos. Por otro lado, los individuos plantados en el suelo no contaminado presentaron un mayor aumento del NH desde el día 70, S. nigra presentó cuatro veces más NH en el suelo no contaminado (Figura 1, H).

Figura 1 Evolución temporal de las cuatro variables de crecimiento para Alnus acuminata, Lafoensia acuminata, Leucaena leucocephala, Salix humboldtiana y Sambucus nigra.
Figure 1. Temporal evolution of the four growth variables for Alnus acuminata, Lafoensia acuminata, Leucaena leucocephala, Salix humboldtiana and Sambucus nigra.
Se encontraron diferencias significativas en el crecimiento de la H (siendo mayor en los suelos no contaminados) en cuatro especies (P < 0,05); S. humboldtiana no presentó diferencias entre tratamientos (P > 0,05), para el DC y NH de todas las especies estudiadas presentaron diferencias entre tratamientos (P < 0,05), sin embargo, las especies que muestran una mayor diferencia de NH son S. nigra y L. acuminata, seguidas de L. leucocephala, A. acuminata, S. humboldtiana. También se encontraron diferencias entre tratamientos para las especies S. nigra, S. humboldtiana, L. acuminata y L. leucocephala (P < 0,05); mientras que A. acuminata no presentó diferencias (P > 0,05) (Cuadro 2).
Cuadro 2 Comparación de medias poblacionales independientes (“T-test”) para las cinco variables de crecimiento evaluadas en Alnus acuminata, Lafoensia acuminata, Leucaena leucocephala, Salix humboldtiana y Sambucus nigra. Se denotan las diferencias significativas con*.
Las especies que presentaron menos afectación en la PR ante el suelo contaminado fueron A. acuminata y L. leucocephala con diferencias de 1,2 cm y 2,8 cm, respectivamente, la raíz de estas especies permite mejorar la porosidad del terreno al estar ligada directamente en la dinámica de la estructura del suelo (15). La comparación de las medias poblacionales independientes, indican que S. nigra presentó mayores diferencias en el crecimiento, ante los tratamientos de PR, NH, DC y DAC; por lo tanto, el crecimiento de S. nigra fue el más afectado por el suelo contaminado. Si bien, la plasticidad y morfología que presentan las raíces ante entornos cambiantes influyen en el grado de adaptabilidad y supervivencia de las plantas (16).
Elementos químicos en el sistema foliar
En el suelo contaminado, la mayoría de las especies (excepto A. acuminata) presentaron una menor concentración de nitrógeno en el sistema foliar, con respecto al suelo no contaminado. Las especies del suelo no contaminado presentaron, en general, bajos niveles de fósforo (0,18% - 0,4%), mientras que, en el suelo contaminado, las especies S. nigra, L. acuminata y S. humboldtiana presentaron las mayores concentraciones de este elemento (0,32% - 0,87%). La mayoría de las especies del suelo contaminado (excepto A. acuminata) presentaron mayores niveles de calcio (>1,41%) (Figura 2). En ambos tratamientos, todas las especies presentaron una baja concentración de magnesio (> 1%), siendo A. acuminata la que presentó la mayor concentración en el suelo no contaminado (0,85%), y S. nigra la especies que presentó los mayores niveles en el suelo contaminado (0,44%). Igualmente, todas las especies en ambos tratamientos presentaron bajos niveles de azufre (> 0,29%), siendo S. humboldtiana y S. nigra las especies con mayores valores.
En el suelo contaminado todas las especies presentaron una mayor concentración de azufre excluyendo a S. nigra, la cual presentó el mismo valor en ambos tratamientos (0,24%). Las especies ubicadas en el suelo contaminado presentaron una menor concentración (6 ppm - 14 ppm) de boro con respecto al suelo no contaminado (16 ppm - 38 ppm). Por otra parte, la concentración de hierro en las especies evaluadas es mayor (> 69 ppm) en comparación a los otros elementos; en el suelo contaminado, la concentración de este elemento aumentó en todas las especies (> 99 ppm), excepto para L. acuminata, ya que presentó el mismo valor en ambos tratamientos. La especie L. leucocephala presentó una mayor concentración de hierro (109 ppm - 136 ppm) en las hojas con respecto a las demás especies; siendo tolerante a suelos con altas concentraciones de hierro que generalmente se acumula en sus raíces. También, L. leucocephala puede contribuir a estabilizar niveles de hierro en suelos tropicales mediante procesos de fitorremediación (17). Si bien L. leucocephala es considerada invasora, ya que altera las funciones y biodiversidad de los ecosistemas, también es una especie prometedora en procesos de fitorremediación, ya que es tolerante a diversas características del entorno, tierras degradadas y al estrés. Por ende, su uso debe realizarse implementando estrategias de gestión, con la finalidad de evitar su propagación en áreas no deseadas (18).
En el suelo contaminado se presentaron menores concentraciones de manganeso (15 ppm - 38 ppm) que en el suelo no contaminado (29 ppm - 93 ppm). En general, los niveles de cobre son bajos en ambos tratamientos (<6 ppm), donde S. humboldtiana y A. acuminata presentaron el menor valor. En el suelo contaminado, S. humboldtiana presentó el mayor valor de zinc (247 ppm), algunos individuos pertenecientes al género Salix pueden absorber grandes contenidos de metales y zinc en sus hojas, lo que las hace propicias en los procesos de fitoextracción. A pesar de pertenecer al mismo género, estas capacidades varían entre especies (19).
Los individuos de S. humboldtiana del presente estudio, presentaron en el sistema foliar una mayor absorción de zinc y azufre. Esta especie no presentó diferencias significativas (p > 0,05) en la H con respecto a los tratamientos (Figura 2, D). Debido a su crecimiento en PR, H y tolerancia a elementos como el zinc y hierro, las especies A. acuminata y S. humboldtiana, son las especies más recomendadas para procesos de fitorremediación de suelos contaminados por lixiviados de rellenos sanitarios, en zonas andinas.

Figura 2 Determinación de elementos químicos en el sistema foliar de Alnus acuminata, Lafoensia acuminata, Leucaena leucocephala, Salix humboldtiana y Sambucus nigra ante los dos tratamientos.
Figure 2. Determination of chemical elements in the leaf system of Alnus acuminata, Lafoensia acuminata, Leucaena leucocephala, Salix humboldtiana and Sambucus nigra before the two treatments
Fitorremediación de suelo contaminado
El suelo sometido al tratamiento de fitorremediación obtuvo una textura franco-arenosa, este suelo presentó una disminución en la mayoría de los elementos y propiedades evaluadas en el laboratorio, con respecto al suelo proveniente del relleno sanitario (suelo contaminado). Dentro de estas características, el pH decreció una décima parte y el porcentaje de carbono disminuyó de 1,78 a 1,37. Otros elementos también presentaron una disminución leve como son: calcio, magnesio, sodio, potasio, boro, hierro, manganeso, cobre, zinc y azufre. Igualmente, la CIC disminuyó de 32,2 a 23,6 meq/100 g y la CE presentó una disminución de 0,39 a 0,16 mmhos/cm. Por último, la única variable evaluada que se incrementó a partir del establecimiento de las plántulas fue el fósforo, este paso de 119 a 123 ppm. En el Cuadro 1, también se presentan los resultados del suelo una vez concluido el proceso de fitorremediación. Finalmente, la fitoextracción puede capturar contaminantes y metales pesados de los suelos mediante las raíces y, posteriormente, translocarlos al interior de la planta (20). Aun así, la efectividad de este método varía en función de la especie utilizada, la densidad de siembra, la estructura del compuesto a eliminar y el tipo y concentración de contaminantes (21).
Conclusiones
Los suelos contaminados con lixiviados de un relleno sanitario, influyeron en el crecimiento de la H, DAC, DC, NH y PR de las cinco especies evaluadas; con diferencias significativas en cuatro de las cinco variables para A. acuminata, L. acuminata y S. humboldtiana, mientras que L. leucocephala y S. nigra presentaron diferencias en todas las variables. El crecimiento de S. nigra fue el más afectado por el suelo contaminado con lixiviado, de este modo, es la especie menos recomendada para implementar como alternativa de fitorremediación. Los cambios presentados en el suelo sometido al tratamiento de fitorremediación son relativamente bajos, como se esperaba, disminuyó el porcentaje de materia orgánica en el suelo contaminado junto a otros elementos. Finalmente, el alto crecimiento de la PR de A. acuminata en el suelo contaminado, junto a S. humboldtiana por su crecimiento en altura sin diferencias entre tratamientos con su capacidad de tolerar grandes cantidades de zinc en sus hojas, las hacen prometedoras en proyectos de restauración ecológica y rehabilitación de suelos, por lo que son las especies recomendadas para procesos de fitorremediación de suelos en ecosistemas andinos contaminados por lixiviados provenientes de rellenos sanitarios.














