SciELO - Scientific Electronic Library Online

 
vol.22 issue51Evaluación del potencial antifúngico de los extractos de corteza de Fabaceae contra hongos de pudrición de la madera author indexsubject indexarticles search
Home Pagealphabetic serial listing  

Services on Demand

Journal

Article

Indicators

Related links

  • Have no similar articlesSimilars in SciELO

Share


Revista Forestal Mesoamericana Kurú

On-line version ISSN 2215-2504

Kurú vol.22 n.51 Cartago Jan./Jun. 2025

http://dx.doi.org/10.18845/rfmk.v22i51.8057 

Artículo

Distribución del volumen con corteza en plantaciones clonales de Gmelina arborea Roxb. en aserrío grueso, delgado, tarimas, leña y desecho en dos localidades de Costa Rica.

Distribution of volume with bark in clonal plantations of Gmelina arborea Roxb. in large logs for sawmill, small logs for sawmill, pallets, firewood and waste in two locations in Costa Rica.

Ana Gabriela Salazar-Ruiz1 

Alexis Salas-Rodríguez1 

Rafael Murillo-Cruz1 

David Antonio Carvajal-Arroyo2 

1. Universidad Nacional de Costa Rica, Instituto de Investigación y Servicios Forestales (INISEFOR); Heredia, Costa Rica; gabysalazarruiz@gmail.com, alsalas _18@hotmail.com, murillorafael5454@yahoo.com

2. Universidad Nacional de Costa Rica, Escuela de Ciencias Ambientales; Heredia, Costa Rica; davidcarpio.daca@gmail.com

Resumen

El manejo de plantaciones forestales debe estar acompañado de herramientas de evaluación que sean de fácil aplicación y precisas. Las tablas de despiece resultan ser un instrumento que facilita analizar los productos a obtener, distribuyéndolos en las categorías de Aserrío Grueso (AG), Aserrío Delgado (AD), Tarima (T), Leña (L) y Desecho (D). Por ello, el estudio evaluó dos plantaciones de Gmelina arborea ubicadas en zonas distintas del país (zona Sur y Atlántica). Se utilizó la información de 105 árboles de ocho años. A estos se les midió el diámetro (DAP) y la altura, aplicando un despiece en pie, el cual se realizó con el Dendrómetro Electrónico (Criterion RD1000) cada 1,5 m. El volumen se obtuvo con la fórmula de Smaliam y los diámetros para clasificarlo fueron AG (≥30 cm), AD (29,9 a 20 cm), T (19,9 a 10 cm), L (9,9 a 5 cm) y D (<5 cm). El volumen se agrupo por tipo de producto y por clase diamétrica. En Puerto Jiménez se obtuvo un volumen promedio por árbol de 0,53 m3 y de 0,61 m3 para Buenos Aires. La distribución del volumen por árbol en Puerto Jiménez de acuerdo con el producto fue: 37,96 %, 31,10 % y 27,35 % para AD, AG y T, que representan los principales productos a obtener de la melina. La L y D en conjunto representaron un 3,6 % del total. En el caso de Pocora el principal producto fue AD con 38,5 %, seguido por AG (38 %) y T (21 %); en menor medida estuvo la L (2 %) y D (0,5 %).

Palabras clave: Categoría comercial; Criterion RD1000; productos forestales; silvicultura; tabla de despiece

Abstract

Forest plantation management should be accompanied by evaluation tools that are easy to apply and precise. Cutting tables are an instrument that facilitates the analysis of the products to be obtained, distributing them into the categories of Coarse Sawn Timber (AG), Fine Sawn Timber (AD), Pallet (T), Firewood (L), and Waste (D). Therefore, the study evaluated two Gmelina arborea plantations located in different regions of the country (Southern and Atlantic zones). Information from 105 eight-year-old trees was used. The diameter at breast height (DBH) and height were measured, applying an on-site cutting, which was performed with the Electronic Dendrometer (Criterion RD1000) every 1.5 m. The volume was obtained using Smalian's formula, and the diameters for classification were AG (≥30 cm), AD (29.9 to 20 cm), T (19.9 to 10 cm), L (9.9 to 5 cm), and D (<5 cm). The volume was grouped by product type and diameter class. In Puerto Jiménez, an average volume per tree of 0.53 m³ was obtained, and 0.61 m³ for Buenos Aires. The volume distribution per tree in Puerto Jiménez according to the product was: 37.96%, 31.10%, and 27.35% for AD, AG, and T, which represent the main products to be obtained from Gmelina. L and D together represented 3.6% of the total. In the case of Pocora, the main product was AD with 38.5%, followed by AG (38%) and T (21%); L (2%) and D (0.5%) were less significant.

Key words: Commercial category; Criterion RD1000; forest products; forestry; cutting tables

Introducción

En el correcto manejo silvicultural de las plantaciones forestales es indispensable el conocimiento que existe entre la relación del diámetro y la altura para así obtener el volumen del árbol a distintas alturas comerciales (1). En Costa Rica, los estudios sobre la cuantificación o estimación del volumen, donde se consideren las dimensiones y la variedad de posibles productos que se pueden obtener de la madera en troza o en pie, han sido poco realizados. Las investigaciones sobre este tema se han basado principalmente en la elaboración de funciones o tablas de volumen, las cuales dan estimaciones de volumen total del árbol a un diámetro mínimo definido (2).

En especies de alto valor comercial y de demanda creciente, como es el caso de la Gmelina arborea Roxb. (melina) es pertinente conocer el volumen de los árboles y la distribución de los productos basados en los estándares de la industria. De esta manera, los indicadores para analizar el volumen de estas plantaciones deben ser interpretados por conceptos como los productos derivados del volumen comercial, los cuales ayudan a la planificación, manejo y valoración forestal (1). Debido a la utilidad que tiene el cálculo del volumen comercial de árboles en pie, es necesario contar con una técnica que pueda ser efectuada mediante un instrumento fácil, rápido y preciso, que permita el levantamiento del diámetro a la altura del pecho (DAP) y la altura comercial o total del árbol (3). Para alcanzar esa precisión, la tecnología en mensura forestal dispone del instrumento Dendrómetro Electrónico (Criterion RD1000). Esta herramienta permite realizar la medición de los diámetros a distintas alturas, facilitando generar el despiece en pie de árboles individuales.

La melina en Costa Rica se ha logrado posicionar como una de las principales especies utilizadas en programas de reforestación y la segunda especie de mayor demanda en el mercado nacional, debido a su versatilidad, fácil manejo y a las características de la madera (4). El ciclo productivo de la melina varía entre los cinco y ocho años, dependiendo de los objetivos de producción; actualmente en el país el tiempo de corta ronda los cinco y seis años, principalmente para la fabricación de material de embalaje (tarimas), siendo este el principal uso de la madera de melina en el país (4), (5). Sin embargo, la especie es apta como madera de aserrío en la construcción estructural (vigas, madera en cuadro, reglas), obra liviana, edificación de barcos, pisos, muebles y para la elaboración de artesanías (6), (7). Asimismo, los residuos o leña producidos en las plantaciones de melina tienen el potencial para ser utilizados para la elaboración de dendroenergía (6).

Las tablas de cubicación comercial por tipo de producto son una herramienta de planificación estratégica en el manejo forestal (1), ya que permiten valorar y distribuir porcentualmente el volumen según la clase diamétrica y determinar el valor monetario de la madera en pie de los árboles dentro de una plantación forestal. Por lo mencionado anteriormente, el objetivo del presente estudio fue desarrollar dos tablas de despiece (árbol individual y por hectárea) por producto para la especie Gmelina arborea en cada una de las zonas evaluadas del país, para brindar una herramienta de fácil uso a los productores presentes en la zona.

Materiales y Métodos

Localización

El estudio se realizó en dos plantaciones clonales de Gmelina arborea, ubicadas en zonas distintas de Costa Rica: la zona Sur (Puerto Jiménez) en las coordenadas 8°39' 38,41” N, 83°28'12,72” O y la zona Atlántica (Buenos Aires de Pocora) bajo las coordenadas 10° 7' 55,62” N, 83° 38' 26” O. En el caso de Puerto Jiménez este pertenece al cantón de Golfito, el cual se caracteriza por tener un clima tropical húmedo, influenciado por una topografía accidentada (8). El territorio presenta una precipitación media anual de 3 080 a 3 420 mm y una temperatura que oscila entre 24 y 30 °C (8), (9). Los suelos son del orden entisol, ultisol e inceptisol y las principales actividades corresponden a palma aceitera, ganadería, plantaciones forestales, turismo y pesca artesanal (9).

Por su parte, Pocora pertenece al cantón de Guácimo que se caracteriza por presentar un clima tropical, con una temperatura media de 25,8 °C y precipitaciones que se presentan durante todo el año, con un promedio de 3 529 mm al año (10). Los suelos más comunes son del orden inceptisol y entisol, siendo los cultivos de piña, banano, plantas ornamentales y ganadería las principales actividades de la zona (11).

Levantamiento de información

En total se evaluaron 105 árboles de melina de ocho años, distribuidos en los dos sitios. En la plantación ubicada en Pocora se midió el 36 % del total de individuos, esta se caracterizó por recibir un manejo silvicultural adecuado en términos de raleos, podas y manejo de plantas competidoras, presentando 148 árboles por hectárea y una altura dominante de 19,2 m. Por su parte, en Puerto Jiménez, se midió el 64 % de los árboles de melina, el manejo silvicultural fue escaso y a los ocho años, la plantación presentó una mayor densidad (460 árboles por hectárea), con una altura dominante de 29,4 m.

A los árboles se le midió el diámetro a la altura del pecho (DAP) y a cada 1,5 metros a partir de la base del árbol (0,30 m sobre el nivel del suelo) con un Dendrómetro Electrónico AA (Criterion RD1000), el cual utiliza un sensor de inclinación para la medición de alturas y diámetros. Este instrumento dispone de una precisión de 6 mm en la medición del diámetro a una distancia de 24 m, y un rango en la medición del diámetro de 5 a 254 cm; además una resolución en la medición de la altura de +/- 3 cm. Con el dendrómetro también se estimó la altura total (m) de los árboles.

Procesamiento de la información

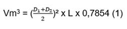
La información de campo fue digitalizada y procesada en Excel, donde se calculó el volumen total de los árboles por medio de la fórmula de Smalian (Ecuación 1). Este fue estimado hasta la última medición registrada de altura y diámetro, obteniendo de esta manera el volumen por secciones de cada árbol. El volumen total se categorizo según el grosor de las trozas y la longitud de estas en Aserrío Grueso (AG), Aserrío Delgado (AD), Tarima (T), Leña (L) y Desecho (D) (Cuadro 1). La clasificación del volumen en estos productos se tomó de otros trabajos similares y de los principales usos que tiene la melina en el mercado nacional.

Dónde:

Vm3 es el volumen cubicado del árbol (en m³)

D1 y D2 el diámetro en el extremo menor y mayor de la troza (en m)

L la longitud de la sección medida (en m)

Cuadro 1 Distribución de las categorías comerciales según diámetro, establecidas para Gmelina arborea, Costa Rica. 

Finalmente, los árboles evaluados, su volumen y categoría comercial se agruparon en clases diamétricas con una amplitud de 1 cm. Asimismo, se construyó dos tablas de despiece por zona, una indicando la distribución del volumen con corteza por árbol individual y la otra por hectárea.

Resultados y Discusión

Características dasométricas.

Sin hacer distinciones entre los sitios, se obtuvo que el volumen total de los árboles de melina varió de 0,12 a 1,26 m3, con una media de 0,56 m3 (DE=0,21), que correspondió a un árbol con un DAP promedio de 29,30 cm (DE=5,30). El sitio que registró el mayor volumen por individuo fue Pocora con un crecimiento superior en un 13 % con respecto al observado en Puerto Jiménez (Cuadro 2). En plantaciones de nueve años en Ecuador, Toledo (12) estimó un volumen total por árbol que varió de 0,39 a 1,29 m3, con un promedio de 0,75 m3 superior en 25,7 % a la media general obtenida para la especie en el estudio (0,56 m3). Por el contrario, el promedio general del volumen registrado en la presente investigación resultó superior al volumen calculado (0,28 a 0,43 m3) para árboles de melina en Colombia en edades entre los siete y nueve años (13).

La diferencia en el volumen por árbol entre los estudios mencionados y el presente se puede explicar por el manejo aplicado, condiciones edafoclimáticas y topográficas de las plantaciones. Por ejemplo, Toledo (12) estimó el volumen mayormente en lotes con manejo inadecuado debido a la inaccesibilidad, perjudicando considerablemente el desarrollo de los árboles y el promedio final del volumen total. Además, evaluaron sitios irregulares con pendientes de hasta 45 grados, que afectaron el desarrollo de la melina. En el caso de las plantaciones en Colombia, ubicadas en Magdalena y Córdoba, que presentan precipitaciones promedio de 1 000 a 1 500 mm anuales (13), 1 000 mm por debajo a lo indicado como óptimo para el crecimiento de la melina por Rojas, et al. (14).

Con respecto al volumen por hectárea promedio, Puerto Jiménez fue el sitio que registró los mayores valores, con una media de 241,17 m3 por hectárea (DE= 102,74) (Cuadro 2). En México plantaciones de melina entre los siete a nueve años registraron volúmenes de 96,72 a 174,31 m3 ha-1, siendo el primero el que se aproxima al promedio obtenido en la plantación de Pocora (90,06 m3 ha-1), siendo inferior en un 7 % al calculado para melina en México a los nueve años (15).

En la plantación de Pocora el DAP promedio fue superior en un 15,6 % y la altura resultó inferior en un 28,2 % a los valores registrados para Puerto Jiménez (Cuadro 2). En plantaciones de melina en México a los siete, ocho y nueve años, Sarabia (15) reportó una media en altura de 16,07, 16,36 y 17,12 m, que son valores muy similares a los obtenidos en Pocora (17,51 m). Para el DAP en las mismas edades se reporta promedios de 17,77, 18,74 y 25,83 cm, siendo el ultimo valor el más cercano a la media general del DAP del estudio (29,31 cm) que resultó ser superior en un 11,9 %.

Cuadro 2 Características dasométricas de los árboles de Gmelina arborea en las dos diferentes zonas de estudio. 

El desarrollo de los árboles depende de factores como el manejo recibido y aspectos biofísicos del área (16), en este caso las diferencias en crecimiento encontradas entre los dos sitios evaluados en este estudio están relacionadas al manejo silvicultural que recibieron las plantaciones. En Puerto Jiménez el manejo fue nulo o escaso, afectando directamente el desarrollo del volumen por árbol, pero favoreciendo el número de árboles y volumen por hectárea. Por otro lado, Pocora si recibió las prácticas silviculturales de manejo, con la realización de raleos de aprovechamiento y sanitarios por la afectación de Nectria, generando de esta manera una disminución significativa en la cantidad de árboles y volumen por hectárea.

Despiece del volumen de la melina en Puerto Jiménez.

La distribución del volumen total promedio por árbol de acuerdo con el producto fue la siguiente: AD con un 37,9 % (0,28 m3), AG con 31,1 % (0,23 m3), un 27,4 % para T (0,20 m3), 2,3 % en L (0,02 m3), y D con un 1,3 % (0,01 m3) (Figura 1). Esto concuerda con lo reportado por Salazar et al. (17) en sistemas agroforestales con Cedrela odorata L. (cedro) a los 20 años, donde el mayor peso de volumen recae en el AG (78 %) y AD (16%). A los diez años Barrantes et al. (18) obtuvieron que para Tectona grandis L.f. (teca) los productos principales de los árboles son AD, T y L, variando su aporte según el índice de sitio (IS); por ejemplo, en un índice de sitio promedio (IS 24) la distribución corresponde a: AG (3 %), AD (24 %), T (44 %), L (27 %) y D (2 %).

Figura 1 Distribución porcentual del volumen total por árbol en Puerto Jiménez de acuerdo al producto a obtener para Gmelina arborea

Figure 1. Percentage distribution of the total volume per tree in Puerto Jiménez by product type for Gmelina arborea.

En cuanto a la distribución del volumen por hectárea en Puerto Jiménez se obtuvo que la categoría con mayor aporte fue el AD con 115,83 m3 ha-1 (47,9 %), seguido de T con 90,06 m3 ha-1 (37,2 %) y AG con 24,10 m3 ha-1 (9,96 %). Por último, se ubicaron las categorías de L y D como las de menor volumen, con 7,62 m3 ha-1 (3,2 %) y 4,32 m3 ha-1 (1,8 %) respectivamente (Cuadro 3).

Cuadro 3 Diversos índices de copa de Neltuma alba comparativos por clases de sitios.  

En términos generales conforme aumenta el diámetro de los árboles, el porcentaje de cada categoría (excepción de AG), disminuye. El AD incrementó su aporte después de su primera aparición, reduciendo su valor únicamente en las últimas cinco clases diamétricas (Figura 2). En teca de nueve años, Barrantes et al. (18) registraron que tanto el AG y AD se mantiene aumentando a lo largo de las diferentes clases diamétricas. Por otro lado, Mora y Hernández (2) en teca y Salazar et al. (17) en cedro reportaron que el AG es el único que incrementa.

Del mismo modo, la diversificación de los productos aumentó con respecto al incremento del DAP de los árboles, estando presentes los cinco productos a partir de los 31 cm (Figura 2). En otros estudios se ha reportado que los árboles aportan volumen para los cinco productos a partir de los 25 cm en cedro (17) y 30 cm para teca (2). En diferentes índices de sitio para teca de nueve años los diámetros variaron, por ejemplo, en un IS 27 se registraron las cinco categorías a partir de los 20 cm y en un IS 21 no se reportó volumen para AG (18).

Figura 2 Comportamiento de los productos a obtener en Puerto Jiménez conforme incrementa el diámetro para Gmelina arborea

Figure 2. Behavior of product yield in Puerto Jiménez as diameter increases for Gmelina arborea.

Por otro lado, el AD se reportó por primera vez a partir de los 21 cm, convirtiéndose en el producto dominante desde los 27 hasta los 37 cm. El máximo valor de AD se dio en los árboles con un DAP entre 30 y 30,9 cm (63,65 % del volumen) (Cuadro 4). En teca de nueve años, Barrantes et al. (18) obtuvieron, que el AD al igual que la melina se mantiene como el producto dominante, desde los 25 cm hasta la última clase diamétrica, con una contribución máxima de 70 % entre los 27 a los 29,9 cm. En especies de mayor edad como el cedro se registró que el AD se mantuvo como la categoría dominante hasta la aparición del AG (17).

En el caso del AG, los árboles de melina mostraron volumen a partir de un DAP de 31 cm, reportando su mayor valor en la última clase diamétrica (39-39,9 cm) con un 45,8 % (Cuadro 3 y Cuadro 4). En teca de nueve años, Barrantes et al. (18) obtuvieron el mayor volumen a los 28 cm (12,5 %) en el índice de sitio promedio (IS 24) y valores superiores a 20 % a partir de los 30 cm de diámetro en el IS 27. El AG en cedro aparece por primera vez a los 25 cm, obteniendo valores de más de 80 % del volumen total en los árboles, con un DAP superior a 50 cm (17).

Por consiguiente, el aporte de estas dos categorías (AG y AD) en los árboles de melina de Puerto Jiménez a partir de los 33 cm de diámetro represento más del 70 % del volumen total (Cuadro 3 y Cuadro 4). Similar distribución del volumen se registró para teca, donde el AG y AD a partir de los 28 cm, alcanzó más del 75 % del volumen (18) y el 79 % en DAP de 30 cm o más en árboles de cedro (17).

Cuadro 4 Despiece del volumen con corteza del árbol individual por producto según el DAP para Gmelina arborea de ocho años, Puerto Jiménez, Costa Rica. 

Para tarimas, los máximos valores de volumen se registraron entre los 16 a 20,9 cm de diámetro, con un aporte promedio de 83,18 %. Las T fueron el producto dominante en las clases diamétricas menores a 27 cm y la menor contribución para el volumen total se dio a los 39 cm (14,65 %) (Cuadro 3 y Cuadro 4). Barrantes et al. (18), presentaron un comportamiento similar a la melina en árboles de teca, siendo el producto de T el dominante en las clases diamétricas menores (10 hasta los 24,9 cm). En cedro, el aporte de las T fue relativamente bajo, superiores a 18 % en las tres primeras categorías diamétricas y menores a 10 % a partir de los 40 cm (17).

En los productos de L y D, el volumen de los árboles de melina se concentró principalmente en la tercera y primera clase diamétrica con un 20,68 % y 7,65 % respectivamente, obteniendo ambos, valores inferiores al 10 % a partir de los 19 cm (Cuadro 3 y Cuadro 4). En teca (2) y cedro (17) también se registra un volumen relativo mínimo para las dos categorías.

Despiece del volumen de la melina en Pocora.

La distribución del volumen total promedio por árbol de acuerdo con el producto fue: AD con un 38,5 % (0,27 m3), seguido por AG con 38 % (0,26 m3) y T con 21 % (0,15 m3). En cuanto L y D los árboles de Pocora registraron menores valores con un 2,0 % (0,01 m3) y 0,5 % (0,003 m3) respectivamente (Figura 3).

Figura 3 Distribución porcentual del volumen total por árbol en Pocora de acuerdo al producto a obtener para Gmelina arborea

Figure 3. Percentage distribution of total volume per tree in Pocora by product type for Gmelina arborea.

Para el volumen total por hectárea, al igual que para Puerto Jiménez, se obtuvo que el producto dominante fue el AD, acumulando el 43,87 % (39,55 m3 ha-1), sin embargo, se diferenciaron en el segundo producto ya que en Pocora fue AG con un 29,31 % (26,42 m3 ha-1). Las T obtuvieron un 24,02 % (21,65 m3 ha-1), 2,26 % para L (2,04 m3 ha-1) y 0,54 % para D (0,49 m3 ha-1) (Cuadro 5). Cabe destacar que el diámetro menor evaluado en esta región fue de 24,2 cm, generando de esta manera que la distribución del diámetro en esta tabla en específico inicie en 24 cm.

Cuadro 5 Despiece del volumen con corteza por producto por hectárea según el DAP para Gmelina arborea de ocho años, Pocora, Costa Rica. 

La tabla de despiece de los árboles de melina en Pocora registró un comportamiento similar a la de Puerto Jiménez, por ejemplo, la distribución del volumen total de los productos T, L y D tienden a reducir el porcentaje conforme aumento el DAP evaluado. En el caso de AD este incrementó a lo largo de las diferentes clases diamétricas, empezando a disminuir su aporte a partir de la primera aparición de la categoría de AG. El AG es el único producto que incrementó constantemente. Igualmente, los cinco productos estuvieron presentes a partir de los 31 cm (Figura 4).

Figura 4 Comportamiento de los productos a obtener en Pocora conforme incrementa el diámetro para Gmelina arborea

Figure 4. Behavior of product yield in Pocora as diameter increases for Gmelina arborea.

Por otro lado, el producto de AG obtuvo su mayor valor en la última clase diamétrica, con un 57,39 %. Al comparar ambos sitios se destaca que contrario a Puerto Jiménez, donde el AG solo es dominante en la última clase (39-39,9 cm), en Pocora este se posiciona como el producto dominante de los 37 hasta los 41,9 cm (últimas cuatro clases diamétricas). Por su parte, el AD estuvo presente en todas las clases, siendo la categoría dominante en los árboles con un DAP entre 25 y 36,9 cm. El AD registró su mayor aporte entre los 28 a 29,9 cm (66,56 %). El aporte del AG y AD en los árboles de melina de Pocora representa más del 70 % a partir de los 33 cm (Cuadro 6).

Cuadro 6 Despiece del volumen con corteza del árbol individual por producto según el DAP para Gmelina arborea de ocho años, Pocora, Costa Rica. 

Las categorías de T, L y D estuvieron presentes en todas las categorías diamétricas. Para las T los mayores valores se obtuvieron en las dos primeras clases diamétricas (47,85 % y 43,61 %), aportes muy similares a los encontrados para los árboles de melina de Puerto Jiménez entre los 24-24,9 cm y 25-25,9 cm. En el caso de la L y D, al igual que Puerto Jiménez, se obtuvo un aporte al volumen total muy bajo. La L reporto valores menores al 7%, con un máximo aporte a los 24 cm, valor similar al obtenido en Puerto Jiménez en la misma clase (6,47 %). Para el D los valores registrados fueron menores al 1 % (Cuadro 5 y Cuadro 6).

El volumen comercial total por hectárea fue de 87,62 m3 (31 718 PMT) para Pocora y de 229,99 m3 (83 256 PMT) en Puerto Jiménez, sin embargo, es importante tener en cuenta que este volumen no corresponde a un valor final ni definitivo, ya que existe una serie de factores asociados a la calidad de los árboles (2). En plantaciones de melina de 15 años ubicadas en Costa Rica, Espinoza y Moya (19) reportan que al realizar el troceo de los árboles de melina el volumen disminuye al 49,08 %. Otro de los factores a considerar es el volumen aportado por la corteza, Niño, et al. (20) reportan una diferencia de 10,34 % para volumen con y sin corteza en G. arborea entre 13-18 años en Colombia.

Todos los valores mencionados anteriormente pueden variar de un sitio a otro y estarán relacionados al manejo, calidad del sitio y material genético utilizado en cada plantación, sin embargo, a modo de ejemplificación al aplicar dichas disminuciones el volumen final para Pocora y Puerto Jiménez podría llegar a 38,56 m3 ha-1 y 101,21 m3 ha-1 respectivamente (Cuadro 7).

Cuadro 7 Variación del volumen y pulgada maderera tica por hectárea por zona evaluada para plantaciones de Gmelina arborea. 

En plantaciones de Melina de ocho años debidamente manejadas, la presencia de árboles con diámetros menores a 25 cm es poco frecuente, generando una mayor cantidad de producto comercial distribuido entre AG, AD y en menor proporción por T y L. El desecho como tal en esta circunstancia es un volumen poco representativo.

Los sitios con un adecuado manejo silvicultural como el caso de Pocora, principalmente relacionado al manejo de la densidad del rodal con raleos oportunos, presentan un mayor porcentaje de aserrío grueso, lo cual aumenta el valor comercial de la madera. Lo anterior, permite al productor acceder a mejores precios por pulgada maderera tica, ya que es el producto con mayor valor económico dentro del mercado nacional.

Las tablas de despiece constituyen una herramienta de valoración forestal ágil, que permite clasificar el volumen en distintos productos comerciables y valorar rodales en función del diámetro y la altura. La aplicación de estas tablas en la toma de decisiones estaría dirigida a la obtención de los principales productos comerciales, permitiendo guiar el manejo silvicultural en las plantaciones forestales, el cual es fundamental para un desarrollo adecuado de los árboles.

Conclusiones

En plantaciones de Melina de ocho años debidamente manejadas, la presencia de árboles con diámetros menores a 25 cm es poco frecuente, generando una mayor cantidad de producto comercial distribuido entre AG, AD y en menor proporción por T y L. El desecho como tal en esta circunstancia es un volumen poco representativo.

Los sitios con un adecuado manejo silvicultural como el caso de Pocora, principalmente relacionado al manejo de la densidad del rodal con raleos oportunos, presentan un mayor porcentaje de aserrío grueso, lo cual aumenta el valor comercial de la madera. Lo anterior, permite al productor acceder a mejores precios por pulgada maderera tica, ya que es el producto con mayor valor económico dentro del mercado nacional.

Las tablas de despiece constituyen una herramienta de valoración forestal ágil, que permite clasificar el volumen en distintos productos comerciables y valorar rodales en función del diámetro y la altura. La aplicación de estas tablas en la toma de decisiones estaría dirigida a la obtención de los principales productos comerciales, permitiendo guiar el manejo silvicultural en las plantaciones forestales, el cual es fundamental para un desarrollo adecuado de los árboles.

Referencias

1 . J. Hernández, et al., “Estimación del volumen comercial en lantaciones deEucalytus urohyllacon modelos de volumen total y de razón en México”, Agrociencia, vol. 51, no. 5, 561-580, 2017. [ Links ]

2 . F. Mora y W. Hernández , “Estimación del volumen comercial or roducto ara rodales de teca en el acífico de Costa Rica”, Agronomía Costarricense, vol. 31, nº 1, 101-112, 2007. [ Links ]

3 . A. Darwin, “Construcción de tablas volumétricas y cálculo de factores de forma ara dos esecies, teca (Tectona grandis) y melina (Gmelina arborea) en tres plantaciones de la pemresa REYBANPAC CA. en la provincia de los Ríos”, Tesis de licenciatura, Escuela Superior Politécnica de Chimborazo, Facultad de Recursos Naturales, Riobamba, Ecuador, 2013. [ Links ]

4 . W. Hernández-Castro et al., “Selección temrana en ensayos clonales de melina (Gmelina arborea Robx.)en Costa Rica”, Agronomía Mesoamericana, vol. 32, nº 1. 93-106, 2021. [ Links ]

5 . A. Barrantes-Rodríguez y S. Ugalde-Alfaro, “Usos y aortes de la madera en Costa Rica Estadísticas 2018 & Precios 2019”, Oficina Nacional Forestal, San José, Costa Rica, 2019. [ Links ]

6 . G. González-Trejos y R. Serrano-Montero, “Proiedades y utilizaciones de la madera de melina (Gmelina arborea Roxb) rocedente de árboles lantados en Costa Rica”, Revista Forestal Mesoamericana Kurú, vol. 1, nº 1. 1-9, 2004 [ Links ]

7 . S. Samayo-Maldonado, et al., “Establecimiento de lantaciones comerciales de melina (Gmelina arborea Roxb) en Tamaulias. Deslegable ara Productores”, Instituto Nacional de Investigaciones Forestales, Agrícolas y Pecuarias y Centro de Investigación Regional del Noreste, Río Bravo, México, 2011. [ Links ]

8 . Y. Mungia-Páiz y S. Zuñiga-Gambos, “Caracterización del cantón de Golfito, Corredor fronterizo Zona Sur”, Ministerio de Viviendas y Asentamientos Humanos, San José, Costa Rica, 2013. [ Links ]

9 . Instituto de Desarrollo Rural, “Informe de caracterización básica: Territorio Sur bajo (Corredores, Golfito, Osa)” INDER, San José, Costa Rica, 2014. [ Links ]

10 . Instituto de Desarrollo Rural, “Caracterización del territorio Siquirres-Guácimo”, INDER, San José, Costa Rica , 2015. [ Links ]

11 . Ministerio de Seguridad Pública, “Análisis Cantonal Guácimo: Estrategia Integral de Prevención ara la Seguridad Pública”, Viceministerio de Prevención, Policía Nacional de Colombia y la Embajada de los Estados Unidos de América, San José, Costa Rica, 2019. [ Links ]

12 . P. A. Toledo Castelo, “Determinación del factor de forma de Gmelina (Gmelina arborea roxb), en la Hacienda Forestal Libertad AGR de la emresa agrícola ganadera REYSAHIWAL AGR SA” Tesis de licenciatura, Escuela Suerior Politécnica de Chimborazo, Ecuador, 2011. [ Links ]

13 . M. Esitia, et al. “Ganancia genética eserada en melina (Gmelina arborea Roxb.) en Córdoba (Colombia)”, Revista Árvore, vol. 40, nº 1, 71-80, 2016. [ Links ]

14 . F. Rojas-Rodríguez, et al., “Manual para produtores de Gmelina arborea en Costa Rica”, Instituto Tecnológico de Costa Rica, Cartago, Costa Rica, 2004. [ Links ]

15 . J. Sarabia, “Diagnóstico de lantaciones de melina (Gmelina arborea) en Emiliano Zaata, Tabasco ", Tesis de licenciatura, Instituto Tecnológico de la Zona Maya, México, 2014. [ Links ]

16 . J. Cornelius y L. Ugarte, “Introducción a la Genética y Domesticación Forestal ara la Agroforestería y Silvicultura.” Lima, Perú. Centro mundial ara la agroforestería (ICRAF). 124. 2010 [ Links ]

17 . A. Salazar, et al., “Distribución de roductos deCedrela odorataL. en un sistema agroforestal con café en Pérez Zeledón, Costa Rica”, Revista Forestal Mesoamericana Kurú , vol. 18, nº 42, . 74-80, 2021. [ Links ]

18 . K. Barrantes-Madrigal, et al. “Distribución del volumen comercial or índice de sitio en lantaciones clonales de Tectona grandis L.f en la zona norte de Costa Rica”, Revista Forestal Mesoamericana Kurú , vol. 18, nº 43, . 9-17, 2021. [ Links ]

19. J. Esinoza-Durán y R. Moya, “Arovechamiento e industrialización de dos lantaciones de Gmelina arborea de 15 años de edad en diferentes condiciones de endiente”, Revista Chaingo serie ciencias forestales y del ambiente, vol. 19, nº 2, . 237-248, 2013. [ Links ]

20. G. S Niño-Lóez, et al., “Modelos comatibles de ahusamiento-volumen ara árboles de Gmelina arborea Roxb. en el alto Magdalena, Colombia”, Colombia Forestal, vol. 21, nº 2, 174-187, 2018. [ Links ]

Recibido: 31 de Julio de 2024; Aprobado: 28 de Febrero de 2025

Creative Commons License Este es un artículo publicado en acceso abierto bajo una licencia Creative Commons