Introducción
La producción de la basura urbana que corresponde al desperdicio doméstico e industrial está directamente asociada al crecimiento poblacional humano y al excesivo creciente consumo de productos industrializados, resultantes del actual modelo globalizado de desarrollo económico mundial que está en curso. De acuerdo con Noguera y Olivero (2010) la mayoría de las capitales latinoamericanas producen cada una más de cinco mil toneladas diarias de basura, cantidad extremamente alta y alarmante sobre los posibles efectos que pueden ocasionar en el equilibrio ecológico regional de esas metrópolis.
La deposición final en los vertederos también llamados rellenos sanitarios o basurales, de los millones de toneladas diarias de los residuos sólidos de todos los centros urbanos del planeta se constituyó además en un enorme y latente problema social, de salud pública y principalmente ambiental (Mavropoulos, 2015; Boaventura, Bispo y Araújo, 1995). En los diversos manuales técnicos sobre rellenos sanitarios (Grupo de Trabajo de la Red de Expertos en Residuos, 2017; Bolivia, 2010; México, 2009) no se mencionan las posibles relaciones ecológico-ambientales con las comunidades vegetales adyacentes. Esos manuales se focalizan específicamente en asuntos inherentes de la propia ingeniería de construcción de los respectivos vertederos sanitarios.
Se define al relleno sanitario como un procedimiento de ingeniería destinado a la eliminación de residuos sólidos en amplios terrenos previamente preparados de tal forma que los residuos colocados en capas, compactándolos y recubriéndolos con tierra, no provoquen daños a la salud y al medio ambiente (Tchobanoglous, Theisen y Vigil, 1994). Los rellenos sanitarios de acuerdo con Elk (2007) y el Ministerio de Medio Ambiente y Agua de Bolivia (Bolivia, 2010; México, 2009) deberían recibir exclusivamente residuos sólidos después de una previa selección. Sin embargo, así como en Brasil y probablemente en todos los países latinoamericanos aún no existen rígidos sistemas de control y administración de la selección de la basura y es en ese sentido que los vertederos reciben indiscriminadamente tanto material de desechos sólidos como orgánicos, como es el caso específico del basural de la ciudad de Goiania. Crawford y Braendle (1996), Espinosa Lloréns, López, Pellón, Robert y Fernández (2010) observaron que en regiones adyacentes a las áreas de depósitos de basura se producía una modificación en la estructura física y química del suelo e inclusive de las propiedades del agua freática. Verificaron una alteración de la vegetación afectando directamente la composición de la estructura vegetal y por consecuencia del hábitat de la fauna silvestre.
Se realizan estudios fitosociológicos con el intuito de conocer la composición, distribución y las interrelaciones de las especies en una determinada comunidad vegetal. A esta especialidad se la define como la rama de la ecología vegetal que se ocupa del estudio de las agrupaciones de plantas, sus interrelaciones y su dependencia con el medio ambiente (Kent y Coker, 1992). En el presente estudio se obtuvo por el análisis fitosociológico la lista relativa del Índice de Valor de Importancia (IVI) con la finalidad de conocer la posición del peso ecológico de las especies existentes en la pertinente ordenación fitosociológica.
Estudios realizados por Boaventura et al. (1995), Campos y Freitas-Silva (1998), Franco y Pires (1996), Santana y Imaña-Encinas (2004), en lugares adyacentes a las áreas del depósito de basura del Jockey Club en la ciudad de Brasilia, localizado en uno de los límites del Parque Nacional de Brasilia, demostraron la existencia de diversos niveles de interferencia de la contaminación del suelo y cómo el relleno sanitario afecta la vegetación nativa en los locales vecinos.

Figura 1 Localización de las parcelas de estudio en el área adyacente al depósito municipal de basura de la ciudad de Goiânia, Brasil (Imagen Landsat 7 ETM+)
El objetivo del presente trabajo fue mostrar la influencia de un basural municipal de la ciudad de Goiânia en la agrupación y distribución de las especies arbóreas nativas de la sabana brasileña. Como objetivo específico se planteó medir la contaminación del suelo y del agua freática y relacionarla con la vegetación natural próxima del relleno sanitario.
Material y Métodos
Se instalaron tres parcelas de estudio en lugares adyacentes al área del depósito municipal de basura de la ciudad de Goiânia, capital del Estado de Goiás, Brasil, entre las coordenadas geográficas 16°40’43” S y 49°15’14” O. Cada una de las tres parcelas fue dividida en 10 subparcelas de 25 x 50 m para un área total evaluada de 3,75 hectáreas (Figura 1).
Se tomaron muestras del suelo en dos puntos de cada subparcela. La muestra fue extraída con un barreno en cinco diferentes profundidades (0 m; 0,15 m; 0,30 m; 0,60 m y 1 m). Posteriormente, las muestras fueron secadas a 40 ºC y gravimétricamente analizadas en cinco réplicas (100 ml steel rings). Antes del análisis químico, las muestras fueron cernidas (diámetro < 2 mm). La concentración de C, N, y S fue determinada por medio del analizador CNS (Elementar Vario EL, Analysensysteme, D-63542 Hanau, Alemania). A partir de la disolución en HNO3 y HClO4 la concentración de Al, Ca, Fe, K, Mg, Na y Zn fue determinada por un espectrómetro (Varian SpectrAA 400, Varian Australia Pty Ltd, Mulgrave, Victoria 3170, Australia) y la concentración de P por un espectroscopio (ICP-AES, GBC Intrega XMP, GBC Scientific Equipment Pty Ltd, Danddenong, Victoria 3175, Australia).
El agua freática fue colectada por un tubo de succión de material termoplástico (PVC). La determinación de la acidez o pH, temperatura, conductividad, total de sólidos disueltos, color, cloro total, cromato, dureza total, alcalinidad, fosfato, nitrito, nitrato, nitrógeno amoniacal, sulfato, oxígeno disuelto y consumido fue a través de un espectrofotómetro y conductímetro HACH (modelo DREL-2000). Para los metales Be, B, Cu, Zn, Cd, Y, Ti, Sr, Ba, P, Zr, V, Cr, Mo, Mn, Fe, Co, Ni, La, Ca, Mg, Al, y Si fue usado un espectrómetro de emisión atómica con fuente de plasma (modelo SPECTROFLAME FVM03).
Para determinar los parámetros operacionales fueron utilizados nebulizadores Meinhard (presión de 38 psi, flujo de argónio de 1 l min-1, potencia 1,2 kW con flujo de gas para enfriamiento de 13 l min-1 y un auxiliar de 0,5 l min-1). Se siguió la metodología establecida por Boaventura et al. (1995) para el análisis de los metales: Pb, Na, K y Hg con un espectrofotómetro de absorción atómica (AAS), marca PERKIN ELMER modelo 403.
Se usó una función logística sigmoide para un alcance (- +) entre 0 e 1, a través del modelo de redes neurales artificiales, con el programa Stuttgart Neural Network Simulator (Zealand, Burn y Simonovic, 1999).
Se compararon los niveles de contaminación de cada una de las variables estudiadas según la metodología de Carneiro y Koide (2004), con la base de los patrones de las Resoluciones del CONAMA (1986) y de la OMS (1988).
El levantamiento florístico de la vegetación leñosa fue realizado en todos los individuos arbóreos que tuviesen un diámetro mayor que 5 cm en la base del tronco. Su identificación botánica se realizó en los Herbarios del Instituto Brasileiro de Geografia e Estatística y de la Universidad de Brasilia. Con la finalidad de identificar el peso ecológico de las especies arbóreas se efectuó un análisis fitosociológico donde el índice del valor de importancia (IVI) fue calculado de acuerdo con Kent y Coker (1992).
El análisis estadístico utilizado para correlacionar las variables ambientales del suelo y del agua freática y la variable biótica (árboles) en ejes de auto valor fue el de la correspondencia canónica siguiendo el proceso metodológico presentado por Souza, Souza, Gama y Leite (2003). A través del programa Statistica 5 se hizo un análisis de regresión para calcular la relación entre las variables dependientes: distancia del árbol al basural y los niveles de contaminación del suelo y del agua freática.

Figura 2 Contaminación del suelo en las parcelas estudiadas en las áreas adyacentes al basural de Goiânia (Brasil) y el nivel de contaminación (SNNS Model´s R2) obtenido por el modelo de redes neurales artificiales)
Resultados y Discusión
La literatura (Grupo de Trabajo de la Red de Expertos en Residuos, 2017; México, 2009; Pastor y Hernández, 2002; Rodrigues Pereira, 2015) muestra con relación a la vegetación, que una vez sellados los vertederos se podrían instalar sobre ellos sistemas de plantaciones agroforestales principalmente con especies perennes y repoblamientos con árboles para la producción de madera. Específicamente relacionada a la vegetación natural adyacente, durante la construcción y del propio relleno de los vertederos sanitarios, no se encontró información.
La distribución espacial de la contaminación del suelo en las parcelas medidas mostró que el comportamiento sigue un patrón específico (Figura 2), que demuestra que los niveles de contaminación se concentran más próximos al basural. En las distancias entre cero a 100 m el coeficiente de determinación del modelo presentó valores que oscilan entre 0,6 y 0,8. A partir de 200 m en las tres parcelas observadas el nivel de contaminación disminuyó hasta llegar a 0,2. Los parámetros de observación se fundamentaron conforme establecido en las resoluciones de la OMS (1988) y del Consejo Nacional del Medio Ambiente del Brasil (Conama, 1986). Espinosa et al (2010) analizaron la contaminación del suelo del relleno sanitario de la ciudad de la Habana, y encontraron un alto nivel de contaminación.
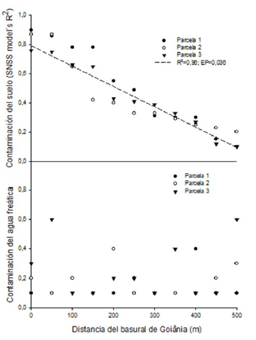
Los resultados corroboran los análisis y parámetros presentados en los trabajos realizados en áreas adyacentes al relleno sanitario del Jockey Club en la ciudad de Brasília (Boaventura et al., 1995; Campos y Freitas-Silva, 1998; Franco y Pires, 1996; Carneiro y Koide, 2004; Farias, Boaventura, Cardoso, Martins y Guimaraes, 1999; Cavalcanti, Borges, Stollberg, Rocha, Cunha, Seimetz, Nogueira, Oliveira y Souza, 2014), que demostraron que las áreas adyacentes al basural son las más afectadas. Estos mismos autores citados anteriormente, mostraron que la contaminación del nivel del agua freática en relación con la variable distancia del basural tuvo el mismo patrón de comportamiento que el del suelo. Sin embargo, en el presente estudio no se encontró esa relación, como se demuestra en la Figura 3.
En las tres parcelas estudiadas se observó, como se muestra en la Figura 4, una relación muy estrecha entre la contaminación del suelo con la distancia al relleno sanitario. El análisis de regresión de la relación entre la contaminación del suelo y la distancia del basural fue de R2 = 0,96 con una desviación estándar de 0,036. No se encontró relación entre la contaminación del agua freática y la distancia al basural (Figura 4).
Los elementos químicos, de todos los parámetros analizados, pH, conductividad, sólidos totales disueltos (STD), dureza, nitrato, O2 disuelto, sulfato, fosfato, amonio y sodio presentaron un significativo aumento desde el límite del basural hasta el interior de la vegetación. Ese aumento se comparó con los parámetros establecidos por la OMS (1988) y del Consejo Nacional del Medio Ambiente del Brasil (Conama, 1986) y se consideró que los alrededores del basural municipal de Goiânia tienen altos niveles de contaminación del suelo y relativamente bajos niveles de contaminación del agua subterránea (Figura 4).

Figura 4 Relación de contaminación del suelo y del agua freática (SNNS Model´s R2) en función de la distancia del basural de Goiânia

Figura 5 Matriz de correlación del análisis de la correspondencia canónica con eje de la posición de los puntos de la variable biótica y los ejes de las variables ambientales: acidez, conductividad, sólidos totales disueltos (STD), O2 disuelto, sulfato y amonio
En el análisis de la correspondencia canónica, seis variables tuvieron un autovalor mayor que uno. Fueron el pH, la conductividad, los sólidos totales disueltos, O2 disuelto, sulfato y amonio. Estos seis componentes obtuvieron 63,46 % de la variancia de las variables independientes. Cada uno de los componentes tuvo un conjunto de factores patrones para cada punto muestreado, que fue usado en la matriz de la correlación canónica (Figura 5), las abreviaciones corresponden a las siguientes especies: Alib macr = Alibertia macrophylla Schum.; Euge dyse = Eugenia dysenterica DC.; Mico albi = Miconia albicans (Sw.) Triana; Viro sebi = Virola sebifera Aubl.; Ocot pulc = Ocotea pulchella Mart.; Sthr pseu = Sthrychnos pseudo-quina St. Hil.; Byrs inte = Byrsonima intermedia A. Juss.; Kiel cori = Kielmeyera coriacea (Spreng.) Mart.; Qual gran = Qualea grandiflora Mart.; Pipt rotu = Piptocarpha rotundifolia (Less.) Baker.
La relación de la conductividad y las altas concentraciones de O2 consumido representan las variaciones de las propiedades químicas y físicas del agua en el nivel freático y del suelo, que corroboran los análisis efectuados por Boaventura et al. (1995), Franco y Pires (1996) y Crawford y Braendle (1996).
Los altos valores de O2 consumido sumados a bajos valores de O2 disuelto muestran un ambiente favorable a la proliferación de bacterias que alcanzan la putrefacción, conforme estudiado por Teixeira, Torves, Finotti, Fedrizzi, Marinho y Teixeira (2009).
Pastor y Hernández (2002) alertan que los vertederos sanitarios sellados presentan alta concentración de metales pesados, observación confirmada en el presente estudio, en las concentraciones de los elementos B, Al, Fe, Cd, Cu, Cr, Mn y Ni detectados por el análisis espectrofotométrico - conductivímetro, coincidiendo observaciones realizadas por Kemerich, Flores, Borba, Gerhardt, Flores, Rodrigues y Barros (2014).
El levantamiento florístico (Cuadro 1) destacó que en las tres parcelas estudiadas seis especies presentaron los mayores índices de valor de importancia (IVI). Esas especies fueron: Miconia albicans (Sw.) Triana con 45,20 vinculada a los ejes de amonio y sulfato; Alibertia macrophylla Schum. con 35,22 relacionada íntimamente con el eje amonio; Brosimum gaudichaudii Trecul. con 18,50; Eugenia dysenterica DC. con 18,14 también vinculada al eje amonio; Piptocarpha rotundifolia (Less.) Baker con 16,01 adscrita al eje O2 disuelto y Virola sebifera Aubl. con 14,95 asociada al eje sulfato. A estas especies se las podrían considerar como indicadoras de los correspondientes elementos o ejes canónicos.
De las especies registradas apenas cinco no se encontraron próximas al área del relleno sanitario. Estas fueron: Bauhinia holophyla (Bong.) Steud., Cabralea cangerana (Vell.) Mart.; Diospyros hispida A.DC, Rapanea ferrugina (Ruiz & Pav.) Mez. y Tabebuia aurea Mart. Dos especies Qualea grandiflora Mart. y Piptocarpha rotundifolia (Less.) Baker no mostraron ningún patrón en relación con la proximidad del basural.
Cuadro 1 Especies encontradas y sus índices de valor de importancia (IVI) a diferentes distancias del basural de Goiânia (Brasil).

Algunas especies redujeron drásticamente su IVI en función de la distancia del basural como fue el caso de Miconia albicans (Sw.) Triana y Alibertia macrophylla Schum. Otras especies mostraron patrón opuesto como Byrsonima intermedia A. Juss. y Kielmeyera coriacea (Spreng.) Mart.
Las especies que presentaron los mayores valores de IVI (Alibertia macrophylla Schum., Eugenia dysenterica DC., Miconia albicans (Sw.) Triana y Virola sebifera (Aubl.) tuvieron un autovalor próximo de los ejes de las variables ambientales amonio y sulfato que son considerados indicadores de la contaminación en las muestras del suelo (Espinosa et al, 2010; Crawford y Braendle, 1996).
Las especies Ocotea pulchella Mart. y Sthrychnos pseudo-quina St. Hil. que solo tuvieron registros en las subparcelas próximas del basural presentaron autovalores próximos del eje de la variable ambiental pH.
Las otras especies que aumentaron el IVI en las subparcelas más distantes no interfirieron en el orden fitosociológico del IVI una vez que no presentaron patrón definido en la matriz de la correlación canónica. Pastor y Hernández (2002) en el levantamiento florístico realizado en vertederos sellados en la comunidad de Madrid, encontraron un establecimiento completamente nuevo y diferente en especies de las comunidades vegetales adyacentes.
Conclusiones
La contaminación del suelo disminuye con la distancia al basural.
La contaminación del agua freática no tuvo relación con la distancia al basural.
El análisis de la correspondencia canónica demostró que el relleno sanitario influye directamente en la agrupación de las especies arbóreas de acuerdo con la proximidad al basural en la que se encuentra.
De las cinco especies con mayor índice de importancia, tres de ellas se agruparon con las variables de sulfato y amonio.














