SciELO - Scientific Electronic Library Online

 
vol.22 número1Prática de Atividade Física e Percepção de Saúde de Pessoas com Deficiência Fisicamente AtivasAnálise de Equivalentes Metabólicos e Gasto Energético em uma Sessão de Treinamento Funcional de Alta Intensidade em Indivíduos Fisicamente Ativos índice de autoresíndice de assuntospesquisa de artigos
Home Pagelista alfabética de periódicos  

Serviços Personalizados

Journal

Artigo

Indicadores

Links relacionados

  • Não possue artigos similaresSimilares em SciELO

Compartilhar


MHSalud

versão On-line ISSN 1659-097X

MHSalud vol.22 no.1 Heredia Jan./Jun. 2025  Epub 01-Abr-2025

http://dx.doi.org/10.15359/mhs.22-1.17758 

Artículo

Activación del músculo erector de la columna con electromiografía de superficie durante la transición sedente-bipedo-sedente en silla en personas adultas sanas

Activation of the Erector Espinae Muscle with Surface Electromyography During the sit to stand to sit Transition in a Chair in Healthy Adults

Ativação do Músculo Eretor da Espinha com Eletromiografia de Superfície Durante a Transição Sentar-Levantar-Sentar em uma Cadeira em Adultos Saudáveis

José Julian Bernal Sánchez1 
http://orcid.org/0000-0001-9708-8536

Lessby Gómez Salazar2 
http://orcid.org/0000-0003-2338-9410

Esther Cecilia Wilches Luna3 
http://orcid.org/0000-0003-3255-7607

1 Universidad del Valle, Grupo de Investigación Ejercicio y Salud Cardiopulmonar (GIESC), Cali, Colombia. Universidad Santiago de Cali, Facultad de Salud, Programa de Fisioterapia, Cali, Colombia. Universidad Pontificia Javeriana, Cali, Colombia. jose.j.bernal@correounivalle.edu.co. https://orcid.org/0000-00019708-8536 Estudiante de Doctorado en Ciencias Biomédicas, Facultad de Salud, Universidad del Valle, Cali, Colombia.

2 Universidad del Valle, Grupo de investigación Biomecánica, Cali, Colombia. lessby.gomez@correounivalle.edu.co. https://orcid.org/0000-0003-2338-9410

3 Universidad del Valle, Grupo de Investigación Ejercicio y Salud Cardiopulmonar (GIESC), Cali, Colombia. esther.wilches@correounivalle.edu.co. https://orcid.org/0000-0003-3255-7607

Resumen

Objetivo:

El objetivo de este estudio fue caracterizar la contracción del músculo erector de la columna (MErC) de manera regional (lumbar, torácico y cervical) durante la transición sedente-bípedo-sedente (SBS) a través de electromiografía de superficie.

Metodologia:

Estudio descriptivo observacional de corte transversal. Se analizó a 40 personas voluntarias adultas jóvenes sanas (20 hombres y 20 mujeres), en un rango de edad entre 18 y 24 años. Se midió talla, peso, IMC, tiempo de contracción (segundos), variables electromiográficas simultáneas: contracción pico, media, mínimo (µV) y máxima contracción voluntaria durante el gesto (%MCVg) en las tres regiones del MErC (cervical, torácica, lumbar) durante la transición SBS. Se realizó un análisis cualitativo y cuantitativo de las señales electromiográficas.

Resultados:

La edad de las personas participantes fue de 21.05±3.44 años, género femenino n=20 (50 %), IMC: 22.54±1.9. Este estudio identificó un patrón de contracción del MErC similar durante la transición sedente-bípedo (SB) en el 57.5 % (n=23) y 60 % (n=24) durante la transición bípedo-sedente (BS). Otro resultado en esta investigación fue la heterogeneidad de patrones de activación del MErC en el 42.5 % (n=17) durante el SB y 40 % (n=16) en el BS. En el análisis cuantitativo se demuestran diferencias contráctiles específicas para cada región del MErC tanto en amplitud como en tiempos de contracción durante las transiciones SBS.

Conclusión:

El presente trabajo pone a disposición información que incrementa la evidencia relacionada con el análisis del movimiento funcional, la contracción segmentaria del MErC y el entendimiento de las transiciones SB-BS en personas sanas.

Palabras clave: contracción muscular; electromiografía; músculos de la espalda; actividades de la vida diaria

Abstract

Purpose:

The aim of this study was to characterize regional contraction of the erector spinae muscle (ESM) (lumbar, thoracic, and cervical) during the sit-to-stand-to-sit (STSTS) transition using surface electromyography.

Methodology:

A descriptive observational cross-sectional study was conducted with forty healthy young adult volunteers (20 men and 20 women) aged between 18 and 24 years. Measurements included height, weight, BMI, contraction time (seconds), and simultaneous electromyography variables: peak, mean, minimum contraction (µV), and maximum voluntary contraction during the gesture (%MVCg) in the three regions of the ESM (cervical, thoracic, and lumbar) during the STSTS transition. Qualitative and quantitative analysis of the electromyography signals was performed.

Results:

Participants’ age averaged 21.05±3.44 years, with 20 (50%) being female. BMI averaged 22.54±1.9. This study identified a similar ESM contraction pattern during the sit-to-stand transition in 57.5% (n=23) and during the stand-to-sit transition in 60% (n=24). Another finding was the heterogeneity of ESM activation patterns in 42.5% (n=17) during the sit-to-stand transition and 40% (n=16) in the stand-to-sit transition. Quantitative analysis revealed specific contractile differences for each region of the ESM in both amplitude and contraction times during STSTS transitions.

Conclusion:

This study provides valuable insights into the analysis of functional movement, segmental contraction of the ESM, and understanding of STSTS transitions in healthy individuals.

Keywords: Muscle Contraction; Electromyography; Back Muscles; Activities of Daily Living

Resumo

Objetivo:

O objetivo deste estudo foi caracterizar a contração regional do músculo eretor da espinha (ESM) (lombar, torácico e cervical) durante a transição sentar-levantar-sentar (STSTS) usando eletromiografia de superfície.

Metodologia:

Um estudo observacional descritivo e transversal foi realizado com quarenta voluntários adultos jovens saudáveis (20 homens e 20 mulheres) com idades entre 18 e 24 anos. As medidas incluíram altura, peso, IMC, tempo de contração (segundos) e variáveis simultâneas de eletromiografia: pico, média, mínima contração (µV) e contração voluntária máxima durante o gesto (%MVCg) nas três regiões do ESM (cervical, torácica e lombar) durante a transição STSTS. Foi realizada uma análise qualitativa e quantitativa dos sinais de eletromiografia.

Resultados:

A idade média dos participantes foi de 21.05±3.44 anos, sendo 20 (50%) do sexo feminino. O IMC médio foi de 22.54±1.9. Este estudo identificou um padrão de contração semelhante do ESM durante a transição de sentar para levantar em 57.5%

(n=23) e durante a transição de levantar para sentar em 60% (n=24). Outro achado foi a heterogeneidade dos padrões de ativação do ESM em 42,5% (n=17) durante a transição de sentar para levantar e em 40% (n=16) na transição de levantar para sentar. A análise quantitativa revelou diferenças contráteis específicas para cada região do ESM, tanto em amplitude quanto em tempos de contração, durante as transições STSTS.

Conclusão:

Este estudo fornece informações valiosas para a análise do movimento funcional, contração segmentar do ESM e compreensão das transições STSTS em indivíduos saudáveis.

Palavras-chave: Contração Muscular; Eletromiografia; Músculos das Costas; Atividades da Vida Diária

Introducción

Cambiar la postura de sedente a bípedo y retornar al sedente es un gesto empleado de forma repetida por el ser humano dentro de las actividades diarias. Por lo cual, la transición sedente-bípedo-sedente (SBS) se ha convertido en una importante medida de capacidad y desempeño funcional (Riley et al., 1991). Al respecto, Roldán-Jiménez et al. (2015) determinaron que a través de la transición SBS se puede extrapolar la independencia funcional, pues desde el punto de vista biomecánico es una tarea exigente.

En la actualidad, se han reportado estudios que pretenden entender cada variable, fase y tiempos de la transición SBS; para esto, se han utilizado diversas estrategias y tecnologías de medición como plataformas de fuerza, sistemas electrónicos visuales complejos (Bidargaddi et al., 2007), sistemas de evaluación de aceleración (acelerómetros) (Doheny et al., 2013), giroscopios, dinamómetros (Schurr et al., 2012) y electromiografía de superficie (EMGs) (Ashford y De Souza, 2000; Hurley et al., 2016); esta última registra el potencial eléctrico generado por la despolarización de la membrana externa de la fibra muscular durante la contracción muscular, analiza cuantitativamente el reclutamiento muscular, la coordinación y los tiempos de contracción-reposo, lo cual facilita la comprensión de un gesto específico. Además, esta herramienta permite comprender el desarrollo de un gesto motor determinado y analizar de forma cuantitativa el reclutamiento muscular, la coordinación y los tiempos de contracción-reposo (Pérez Trejos et al., 2020).

Algunas investigaciones han reportado resultados que apoyan el análisis de las características biomecánicas de la transición SBS, tales como: la variación de la función muscular durante las fases de la transición en tronco y extremidades (Roebroeck et al., 1994), los rangos de movilidad articular (Millington et al., 1992), el establecer las fases de la transición (Riley et al., 1991) y el establecer patrones de activación muscular (Ashford y De Souza, 2000). También se conocen publicaciones que han permitido comprender variables específicas por segmentos corporales así como en poblaciones adultas, adultas mayores o jóvenes (Tully et al., 2005) y en condiciones de salud específicas (Davidson et al., 2013).

Los músculos del dorso participan activamente durante la transición SBS, entre ellos el músculo erector de la columna MErC. Eduardo Pró (2014), desde una perspectiva anatómica, describe el MErC como una masa muscular de fibras longitudinales a la columna vertebral, la cual se originan desde la región lumbar y que, durante su recorrido en el plano intermedio de los músculos del dorso, separa sus porciones a nivel torácico y cervical conformando los músculos iliocostales, longuísimo y espinosos. La función genérica, en conjunto descrita, es de extensión de la columna; sin embargo, esta se determina al momento mecánico de cada segmento de la columna vertebral.

Algunas publicaciones han permitido entender la actividad muscular del MErC en acciones específicas como gestos deportivos (Brandt et al., 2017, 2018; Martín-Fuentes et al., 2020; Mullerpatan et al., 2020), actividades funcionales (Clark et al., 2016; Cregg et al., 2021; Russo et al., 2019; Saeterbakken et al., 2019), condiciones de salud musculoesquelética (Becker et al., 2018; Boucher et al., 2015; Halim et al., 2012; Heinonen et al., 2005; Lascurain-Aguirrebena I, 2021; Madeleine et al., 2012; Veiskarami, 2020), efectividad de procedimientos o dispositivos (Chen et al., 2019; Chesterton et al., 2018; Jones et al., 2012; Lee et al., 2017; Liu et al., 2019; López-Nicolás et al., 2019) y análisis específico de movimiento en las diferentes porciones del músculo (cervical, torácico, lumbar) evaluadas de manera independiente o aisladas. (Czaprowski et al., 2015; du Rose et al., 2018). Sin embargo, las publicaciones que analizan el comportamiento del MErC durante la transición SBS desde una silla son escazas, aunque se resalta la importancia durante evaluaciones cualitativas del gesto y la comprensión de la anatomía funcional (Becker et al., 2018).

Pese a que se dispone de datos sobre la anatomía funcional segmentaria del bloque muscular del MErC, es escasa la información relacionada sobre el comportamiento y la participación sinérgica de las porciones del MErC en la transición SBS.

En este contexto, nuestro estudio tiene como objetivo caracterizar la contracción regional del MErC (lumbar, torácico y cervical) durante la transición SBS medianteuna electromiografía de superficie. Al enfocarnos en la actividad específica del MErC en diferentes segmentos de la columna durante la SBS, buscamos aportar una comprensión más detallada de su participación sinérgica en esta tarea fundamental. Al hacerlo, esperamos contribuir a la base de conocimientos existente y proporcionar información relevante para la evaluación clínica y la rehabilitación de individuos con alteraciones en la función del MErC y la capacidad de realizar la transición SBS de manera efectiva.

Métodos

Estudio descriptivo observacional de corte transversal.

Participantes

A partir de un muestreo no probabilístico por conveniencia, participaron 40 personas voluntarias adultas jóvenes sanas (20 hombres y 20 mujeres).

Fueron excluidas las personas con dolor o lesiones osteomusculares agudas o crónicas. Cada una firmó un consentimiento informado de manera voluntaria. El estudio se fundamentó en la declaración de Helsinki para la investigación en seres humanos y lo aprobó el Comité Institucional de Revisión de Ética Humana de la Universidad del Valle, código 203-018.

Mediciones antropométricas: se obtuvieron datos de talla y peso para el cálculo del índice de masa corporal (kg/m2) de acuerdo con las recomendaciones de la Organización Mundial de la Salud (OMS, s. f.). Se utilizó un tallímetro Tanita HR001 y báscula 750 con calibración vigente.

Instrumentos

Mediciones antropométricas: se obtuvieron datos de talla y peso para el cálculo del índice de masa corporal (kg/m2) de acuerdo con las recomendaciones de la Organización Mundial de la Salud (OMS, s. f.). Se utilizó un tallímetro Tanita HR001 y báscula 750 con calibración vigente.

Mediciones electromiográficas: se utilizó un electromiógrafo de Superficie Miotool 200/400 (Miotec®, Porto Alegre/RS, Brasil) y un software integrado Miograph 2.0. Las señales fueron captadas por electrodos de superficie, con soporte de foam (ag/AgCl) desechables 3M™ Red Dot™ 2228. Los registros videográficos fueron captados y pro-cesados a través de una cámara GoPro Hero 8 (GoPro Inc. USA-2019). Para la señal audible se utilizó un metrónomo audible Matrix mr800.

Procedimientos

Se tomaron en consideración las recomendaciones emitidas por entes nacionales de salud para la mitigación de la pandemia por Covid-19. Esto se reflejó en los protocolos de seguridad implementados para garantizar la protección de las personas participantes y del equipo de investigación durante la realización del estudio.

Para el registro de las variables cinemáticas se utilizó un sistema de análisis de movimiento basado en procesamiento de imágenes en simultáneo con el registro electromiográfico (Miotec Suite 1.0, Porto Alegre/RS, Brasil), obtenidas mediante una cámara lateral derecha a una frecuencia de muestreo de 60Hz.

Se utilizó una silla de altura regulable a la distancia entre el suelo y la interlínea articular de rodilla de cada sujeto (90º). Cada participante recibió una explicación verbal de la prueba, posteriormente se le indicó la realización del gesto 10 veces, con el fin de identificar errores en la ejecución y realizar las correcciones pertinentes. Fue reforzada continuamente la indicación de mantener los brazos paralelos al tronco, con el fin de evitar que las extremidades superiores participaran de forma activa en la ejecución de las transiciones. Se explicó la señal audible del metrónomo programado a 54 BPM para generar el cambio de transición. La velocidad de ejecución y la posición de los pies durante las transiciones fueron las asumidas espontáneamente por cada participante. De acuerdo con el protocolo, el orden de las transiciones incluyó inicialmente el SB y posteriormente el BS.

La ubicación de electrodos, parámetros y variables de electromiografía, consideradas para el protocolo, se definieron siguiendo las recomendaciones de Panchoa de Sèze (de Sèze y Cazalets, 2008) (Figura 1). Previo a la ubicación de los electrodos se realizó una limpieza y secado de la piel para reducir impedancia y mejorar la señal.

Figura 1 Ubicación de los electrodos de superficie 

Para obtener las señales electromiográficas, se definieron los parámetros presen-tados en la Tabla 1.

Tabla 1 Parámetros de electromiografía programados 

Parámetro
Filtro alta 30 Hz
Filtro pasa baja 450 Hz
Tiempo de medición 1000
Programación del metrónomo 54 BPM;

La máxima contracción voluntaria durante el gesto (MCVg) se obtuvo de la porción lumbar, a partir del pico de contracción obtenido durante el gesto.

Todas las mediciones fueron realizadas por solo una personas investigadora y revisadas por el grupo del proyecto. Los sujetos participantes fueron convocados en el laboratorio de medición, teniendo en cuenta los protocolos nacionales establecidos para afrontar la pandemia por Covid-19.

Análisis cualitativo de las señales electromiográficas

  1. Tratamiento de las electromiografías

  2. Secuenciación de la electromiografía total de cada participante, de acuerdo con el plan operativo estandarizado.

  3. Digitalización y vectorización de cada trazado electromiográfico. Posteriormente se realizó suavizado al 15 % del trazado original.

  4. Superposición de los registros en cada una de las transiciones.

  5. Normalización de las señales de acuerdo con la máxima contracción voluntaria durante el gesto (MCVg).

  6. Observación de las electromiografías

  7. Identificación de puntos extremos de los trazados en las variables de tiempo y

  8. Identificación de similitud en cada uno de los trazados obtenidos, posteriormente, establecimiento de patrones de activación a través de observación directa.

Análisis Estadístico

Los datos fueron tabulados y analizados en SPSS 25. Se realizó un análisis cuantitativo y cualitativo de la información. Los datos electromiográficos se representaron con medidas de tendencia central. Para las variables cualitativas se utilizaron tablas de frecuencias relativas y absolutas.

Resultados

En la Tabla 2 se muestra la descripción de las características de la población en estudio.

Tabla 2 Características de la población en estudio 

Variable Resultado
  Media (%) DE
Edad (años) 21.05 ± 3.44
Género femenino n (%) 20 (50)  
Género masculino n (%) 20 (50)  
Peso (kg) 65.6 ± 8.89
Estatura (m) 1.70 ± 0.09
IMC 22.54 ± 1.9

El análisis cualitativo y cuantitativo de los registros electromiográficos se realizó individualmente para la transición SB y BS. Ambas fueron analizadas en cuatro fases de acuerdo con el análisis del SB propuesto por Schenkman (Schenkman et al., 1990) El análisis de la transición BS se llevó a cabo como una secuencia inversa a estas fases originalmente propuestas (desde la fase IV hasta la I).

En la Tabla 3 se describe el análisis de las variables cuantitativas de las variaciones electromiográficas durante la transición SB obtenida de los valores medios de las electromiografías realizadas.

Transición sedente bípedo (n=40, 100 %)
Cervical Torácico Lumbar
Fase I Fase II Fase III Fase IV Fase I Fase II Fase III Fase IV Fase I Fase II Fase III Fase IV
Valores promedio de la contracción (µV)
Pico (µV±DE)* 35.82 ± 15.51 36.7 ± 15.42 21.79 ± 11.36 17.89 ± 15.41 56.12 ± 20.95 67.62 ± 23.36 44.03 ± 19.89 25.79 ± 11.69 63.42 ± 20.82 76.2 ± 24.82 58.41 ± 24.31 30.87 ± 13.67
Media (µV±DE) 18.41 ± 9.42 26.51 ± 10.15 12.06 ± 4.85 11.65 ± 8.52 27.04 ± 11.74 54.15 ± 17.53 26.75 ± 10.93 17.67 ± 8.49 24.58 ± 11.53 62.29 ± 21.59 40.98 ± 19.21 20.17 ± 10.31
Mínimo (µV±DE) 8.76 ± 5.4 23.03 ± 16.09 10.5 ± 6.07 7.08 ± 3.35 14.62 ± 7.51 42.64 ± 27.45 17.25 ± 8.02 11.56 ± 5.49 10.38 ± 6.32 46.53 ± 20.47 26.55 ± 11.85 13.05 ± 6.38
Valores normalizados de acuerdo con la MCVg (%)
Pico (%±DE) 52.68 ± 24.72 53.86 ± 23.47 32.09 ± 18.67 25.97 ± 21.7 81.39 ± 30.1 97.31 ± 32.8 63.64 ± 29.91 37.2 ± 18.62 88.26 ± 22.93 104.55 ± 18.26 78.92 ± 16.5 42.04 ± 11.9
Media (%±DE) 26.88 ± 14.03 38.92 ± 16.3 17.59 ± 8.23 16.75 ± 11.99 39.85 ± 18.35 77.68 ± 23.36 38.31 ± 15.87 25.99 ± 14.17 35.12 ± 16.88 86.18 ± 18.69 54.99 ± 13.84 26.97 ± 10.8
Mínimo (%±DE) 12.62 ± 8.29 34.19 ± 24.56 15.34 ± 9.42 10.12 ± 4.77 21.81 ± 13.05 63.48 ± 45.15 24.95 ± 11.97 16.66 ± 8.08 14.79 ± 9.42 65.05 ± 22.35 36.13 ± 11.62 18.01 ± 7.91
Transición bípedo sedente (n=40. 100%)
Cervical Torácico Lumbar
Fase IV Fase III Fase II Fase I Fase IV Fase III Fase II Fase I Fase IV Fase III Fase II Fase I
Valores promedio de la contracción (µV)
Pico (µV±DE) 11.61 ± 5.71 29.53 ± 13.42 38.29 ± 14.92 23.57 ± 9.29 18.38 ± 7.54 48.63 ± 13.68 60.57 ± 17.41 49.9 ± 18.38 14.44 ± 6.88 43.97 ± 19.39 58.12 ± 17.48 50.73 ± 19.71
Media (µV±DE) 10.53 ± 8.51 19.02 ± 11.28 28.11 ± 9.91 16.16 ± 10.79 14.01 ± 6.58 30.18 ± 14.11 49.94 ± 18.11 25.96 ± 10.92 14.17 ± 6.67 28.67 ± 15.7 49.88 ± 17.86 25.6 ± 13.08
Mínimo (µV±DE) 8.83 ± 7.63 10.8 ± 7.79 24.6 ± 16.62 10.32 ± 8.59 12.42 ± 6.36 15.06 ± 6.76 33.65 ± 14.05 13.12 ± 6.13 9.58 ± 6.74 13.75 ± 9.94 34.53 ± 14.58 12.82 ± 6.71
Valores normalizados de acuerdo con la MVCg (%)
Pico (%±DE) 17.17 ± 10.04 44.2 ± 23.06 56.08 ± 24.49 34.47 ± 15.27 26.23 ± 9.98 70.51 ± 23.09 88.66 ± 31.52 71.42 ± 24.38 20.21 ± 8.65 61.68 ± 22.1 80.71 ± 15.73 69.89 ± 18.11
Media (%±DE) 15.38 ± 13.24 28.94 ± 19.63 41.43 ± 16.8 23.89 ± 17.35 20.45 ± 10.15 44.48 ± 21.2 74.11 ± 33.77 38.54 ± 19.67 19.73 ± 7.63 39.76 ± 17.71 69.14 ± 16.89 35.4 ± 16.57
Mínimo (%±DE) 12.96 ± 12.04 16.03 ± 12.4 37.35 ± 26.96 14.99 ± 12.36 18.66 ± 12.49 22.22 ± 10.77 49.57 ± 21.58 19.3 ± 9.71 13.28 ± 9.42 18.74 ± 11.57 49.26 ± 18.23 18.13 ± 8.25

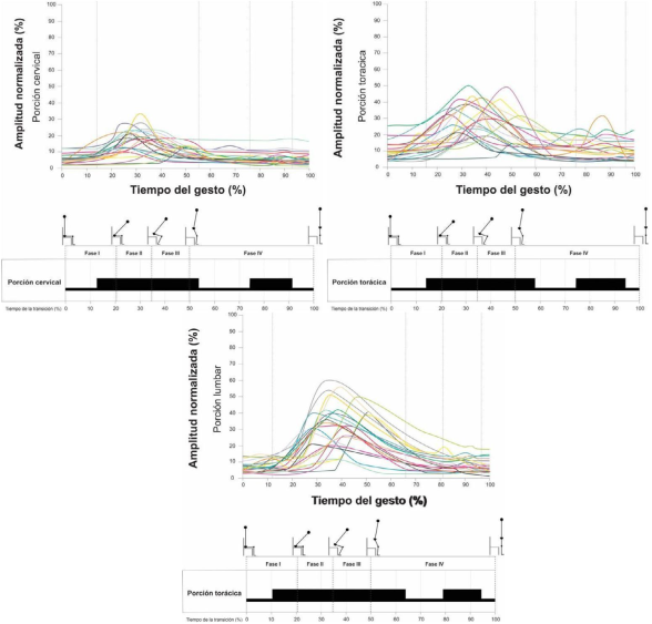
Durante el análisis cualitativo de la transición SB y BS del 100 % de la población estudiada (n=40), se identificaron diferencias entre los trazados electromiográficos en las tres porciones del MErC. Estas diferencias se encuentran en términos de amplitud, tiempo de contracción y morfología. No se identificó un patrón de contracción único; sin embargo, se identifica la participación de las tres porciones durante la transición SB y BS. Figura 2

Nota: registros normalizados (%) de acuerdo con la MCV. Transición SB y BS.

Figura 2 Análisis electromiográfico cualitativo de las 40 personas participantes del estudio 

Posterior a esta caracterización inicial, durante la transición SB, se aislaron los trazados electromiográficos de 23 participantes del estudio, que correspondían al 57,5 % de la población evaluada. En esta parte del proceso se identificaron dos contracciones durante la transición SB. La primera de mayor amplitud, desarrollada durante la primera mitad de la transición. La segunda de menor amplitud, se observa posteriormente. En términos de amplitud, se evidencia una menor amplitud en la porción cervical y mayor en la región lumbar. En la Figura 3 se muestran los registros electromiográficos de este grupo, en cada porción del MErC durante la transición SB.

Nota: registros normalizados (%) de acuerdo con la MCV.

Figura 3 Análisis cualitativo de las personas participantes con patrón más frecuente durante la transición SB (n=23, 57,5 %) 

Se observó que el 42,5 % (n=17) de las personas participantes tenía un compor tamiento diferente durante la transición SB, encontrando trazados electromiográficos heterogéneos entre sí.

En el análisis de la transición BS, se aislaron 24 participantes correspondientes al 60 % de la población evaluada; en este grupo se identificaron características se señal electromiográficas similares en la transición; en estas se determinó una señal única de contracción de la porción muscular durante la transición. En términos de amplitud, se evidencia una menor amplitud en la porción cervical y mayor amplitud en la región lumbar. En la Figura 4 se muestran los registros electromiográficos de este grupo, en cada porción del MErC durante la transición BS.

Nota: registros normalizados (%) de acuerdo con la MCV.

Figura 4 Análisis cualitativo de las personas participantes con patrón más frecuente durante la transición BS (n=24, 60 %) 

El el 40 % (n=16) de las personas participantes que no presentó este patrón descrito anteriormente, tenían un comportamiento diferente, encontrando trazados electromiográficos heterogéneos entre sí durante la transición BS.

Discusión

El objetivo de este estudio fue caracterizar la activación del MErC a través de las EMG durante la transición SBS en población adulta joven. Los resultados permitieron identificar comportamientos de contracción similar en la mayoría de las personas participantes, lo cual sugiere una participación del músculo durante la actividad funcional del SBS parametrizada entre los sujetos.

La transferencia de la posición sentada a bipedestación ha sido reconocida como una tarea motora fundamental, especialmente en la iniciación del movimiento hacia la marcha (Guzmán et al., 2010). Mientras que varios estudios han analizado la transición sentado-bípedo (SB) en diferentes contextos, incluyendo poblaciones sanas y con condiciones específicas como dolor lumbar o lesiones cerebrales, pocos han examinado la transición bípedo-sentado (BS). Autores como Campos (2015), Cordo et al. (2003), Ashford y De Souza, 2000, Brown et al. (2020) y Nam et al. (2015) han investigado la transición SB, aportando diferentes variables de contracción muscular en sus mediciones. Sin embargo, la ausencia de un análisis detallado sobre la transición BS en la literatura existente resalta la contribución única de nuestro estudio al incrementar el conocimiento sobre la función del MErC durante ambas transiciones.

Se han identificado varias limitaciones en la medición del MErC, como el solapamiento de la señal electromiográfica con músculos superficiales y la variabilidad en la longitud del músculo entre individuos, que pueden afectar la precisión de las mediciones (Bogduk & Bogduk, 2012; Callaghan et al., 1999, Anders et al., 2007, Ivanenko et al., 2006 y Ng et al., 2001). Sin embargo, nuestro protocolo de medición se fundamentó en hallazgos previos que sugieren ubicar los electrodos de EMG en áreas donde la interferencia de la fascia toracolumbar y el solapamiento de planos musculares sean mínimos (de Sèze y Cazalets, 2008). Además, se instruyó a las personas participantes para mantener las extremidades superiores en posición paralela al tronco, lo cual ayudó a reducir el ruido en la señal electromiográfica y mejorar la calidad de las mediciones del MErC.

En este estudio se identificó la presencia de un patrón de contracción muscular del MErC durante la transición SB y BS con características similares en el 57,5 % (n=23) para el SB y 60 % (n=24) para el BS. Estas características incluyeron la activación diferencial entre las porciones del MErC durante la transición. Durante el SB se observaron dos picos de contracción muscular con diferencias de amplitud y tiempo importantes; durante la transición BS se identificó una única contracción prolongada con variaciones de amplitud y tiempos entre los participantes. Los estudios de control motor se han basado en gran medida en la hipótesis de que el cerebro emplea una función de costo común en todos los participantes humanos para hacer un plan motor de una tarea determinada (Abend et al., 1982; Flash y Hogan, 1985). Esto podría justificar el comportamiento parametrizado de la contracción de las diferentes porciones del MErC en esta investigación. Sin embargo, teorías modernas a partir de estudios más recientes (Ashburner y Friston, 2000; Kita et al., 2019) plantean que, a pesar de encontrarse patrones de contracción estereotipados o típicos, también se presentan variaciones de estos, resultando en una gran variabilidad interindividual en cualquier gesto o contracción. Lo anterior, a su vez, argumenta la variabilidad en los trazados de la contracción del 40 % de las personas participantes en esta investigación que no tenían el comportamiento previamente identificado en el SB y Bs y que no pudieron ser incluidas en un comportamiento electromiográfico “típico” o frecuente.

Desde el punto de vista mecánico, Vander Linden et al. (1994) concluyen que los movimientos complejos generados por movimientos en diversos planos son variables y la activación muscular para producir el movimiento también lo sería. En la presente investigación únicamente se realizó el análisis en el plano sagital, dejando de lado los otros planos que pudieran explicar y soportar variaciones en el patrón electromiográfico.

Se reconoce que varios factores, como la fuerza muscular del MErC, la actividad de músculos sinergistas y antagonistas, la estatura, la longitud del músculo, el control de las rotaciones durante la transición, la velocidad de la contracción, la raza, la longitud de las extremidades, el ángulo lumbopélvico y algunos parámetros cinéticos/cinemáticos pueden influir en los resultados electromiográficos (Delisle-Rodriguez et al., 2015; Inglis y Gabriel, 2020; Shultz y Perrin, 1999). A pesar de esta complejidad, se implementaron rigurosos protocolos de normalización y estandarización para minimizar el sesgo y aumentar la fiabilidad de nuestras mediciones y resultados. La discusión podría expandirse para explorar más a fondo cómo estos resultados se comparan o contrastan con la literatura existente, así como sus implicaciones para futuras investigaciones o aplicaciones prácticas. Al hacerlo, podríamos situar nuestros hallazgos dentro del contexto científico actual de manera más detallada y señalar posibles direcciones para investigaciones posteriores o aplicaciones clínicas relevantes.

Dentro del patrón identificado en el MErC durante la transición SB en este estudio, se observan diferencias en la amplitud, el inicio y el final de la contracción entre las tres porciones musculares. Al comienzo de la transición, se evidenció una contracción tónica que describe la actividad constante en todas las porciones musculares, seguida de una contracción de mayor amplitud hasta alcanzar el pico máximo de contracción (MCVg) en la porción cervical (pico: 53,86±23,47 %, media: 38,92±16,3 %), torácica (pico: 97,31±32,8, media: 77,68±23,36 %) y lumbar (pico:104,55±18,26 %, media:86,18±18,69 %).

Posteriormente, la contracción disminuye a valores iniciales en todas las porciones, seguida de una nueva contracción de menor amplitud y duración en las tres porciones del MErC, que finalmente termina en una contracción tónica. Estos hallazgos respaldan los resultados del estudio de Cuesta-Vargas et al. (2013), que describe un patrón de contracción durante la transición SB con sillas de diferentes alturas, con valores que oscilan entre 30,2-36,2 ± 31,64 %. Este autor también identifica un comportamiento electromiográfico del MErC, similar al presente estudio, lo cual sugiere que este patrón de contracción podría considerarse estereotipado durante la transición. Sin embargo, las diferencias en la metodología y el medio utilizado (agua) en el estudio de Cuesta-Vargas et al. (2013), podrían justificar la observación de valores de contracción inferiores en comparación con los obtenidos en este estudio.

En esta investigación, el 60 % de las personas participantes mostró contracciones tónicas al inicio y al final de la transición BS, separadas por una contracción de gran amplitud que generó la máxima contracción. Estos hallazgos son similares a los que publicó Delisle-Rodríguez et al. (2015), quienes identificaron un comportamiento electromiográfico similar en cuatro personas adultas. No obstante, no es posible comparar de forma directa sus resultados con los del presente estudio porque no aplicaron procesos de normalización a la señal electromiográfica. La normalización de los datos de EMG asegura la comparabilidad en las investigaciones.

En esta investigación se identificó la contracción tónica en la transición SB y BS al inicio y final de la transición en las tres porciones del MErC; Cheynel Cheynel et al. (2002)describen la actividad anticipatoria del MErC durante la transición SB y BS, y consideran que esta función se refleja en la inhibición contráctil inicial y final reflejada en esta contracción tónica. Esta función anticipatoria tiene gran importancia en los desplazamientos anteriores en preparación a la transición. Los autores de la presente investigación concluyen que el MErC presenta picos de contracción para generar el desplazamiento del tronco durante la transición SB y BS, pero además participa activamente con contracción sostenida de menor amplitud para la estabilización de las fuerzas generadas de manera anticipatoria durante toda la transición funcional.

La variabilidad en la amplitud de las señales electromiográficas observadas en las personas participantes de este estudio durante la transición SB y BS podría estar relacionada con la fuerza muscular de cada participante. Granata et al. (1999), Kingma y van Dieën (2004) han reportado varios modelos que concluyen que la señal de amplitud en la EMG puede considerarse un indicador de fuerza. Sin embargo, esta información debe ser interpretada con cautela y requiere más investigación, especialmente para garantizar que no haya otros factores que modifiquen los valores de fuerza sin afectar la señal de electromiografía.

Los resultados de esta investigación exponen las diferencias contráctiles específicas para cada porción muscular, tanto en amplitud como en tiempos de contracción. Con esta información, los autores consideran que cada segmento del MErC participa de manera armonizada durante las fases de la transición SB y BS. Este hallazgo resalta la complejidad de la coordinación muscular durante estas transiciones y sugiere la necesidad de estudios adicionales para comprender por completo el papel de cada porción del MErC en la estabilidad y la función durante la marcha y otros movimientos relacionados.

Pese a ciertas limitaciones, se identificó la falta de control de algunas variables que podrían haber influenciado la contracción del MErC, las cuales son importantes para caracterizar la contracción muscular durante las transiciones. Para minimizar el impacto de sesgo, se resalta la construcción de un plan estandarizado de medición que permitió homogeneizar las mediciones y transiciones entre las personas participantes. Sin embargo, es importante reconocer que aún puede existir cierto grado de variabilidad debido a la naturaleza multifactorial de la actividad muscular y la complejidad de los movimientos evaluados.

El presente trabajo proporciona información que contribuye al análisis del movimiento funcional, la contracción segmentaria del MErC y la comprensión de las transiciones SB-BS en personas sanas. Se sugieren futuras investigaciones para analizar las sinergias musculares del tronco en relación con la contracción del MErC, así como estudios en condiciones de salud específicas, como pacientes con debilidad muscular en UCI, lo cual es de gran interés para las personas investigadoras de este trabajo. Estos estudios adicionales pueden ampliar nuestro conocimiento sobre la función del MErC en diferentes contextos clínicos y proporcionar información valiosa para el desarrollo de intervenciones terapéuticas.

Referencias

Abend, W., Bizzi, E. y Morasso, P. (1982). Human arm trajectory formation. Brain, 105(2), 331-348. https://doi.org/10.1093/brain/105.2.331 [ Links ]

Anders, C., Wagner, H., Puta, C., Grassme, R., Petrovitch, A. y Scholle, H.-C. (2007). Trunk muscle activation patterns during walking at different speeds. Journal of Electromyography and Kinesiology, 17(2), 245-252. https://doi.org/10.1016/j.jelekin.2006.01.002 [ Links ]

Ashburner, J. y Friston, K. J. (2000). Voxel-Based Morphometry-The Methods. NeuroImage, 11(6), 805-821. https://doi.org/10.1006/nimg.2000.0582 [ Links ]

Ashford, S. y De Souza, L. (2000). A comparison of the timing of muscle activity during sitting down compared to standing up. Physiotherapy Research International, 5(2), 111-128. https://doi.org/10.1002/pri.190 [ Links ]

Becker, S., Bergamo, F., Schnake, K. J., Schreyer, S., Rembitzki, I. V. y Disselhorst-Klug, C. (2018). The relationship between functionality and erector spinae activity in patients with specific low back pain during dynamic and static movements. Gait & Posture, 66, 208-213. https://doi.org/10.1016/j.gaitpost.2018.08.042 [ Links ]

Bidargaddi, N., Klingbeil, L., Sarela, A., Boyle, J., Cheung, V., Yelland, C., Karunanithi, M. y Gray, L. (2007). Wavelet based approach for posture transition estimation using a waist worn accelerometer. 2007 29th Annual International Conference of the IEEE Engineering in Medicine and Biology Society, 1884-1887. https://doi.org/10.1109/IEMBS.2007.4352683 [ Links ]

Bogduk, N. y Bogduk, N. (2012). Clinical and radiological anatomy of the lumbar spine. Elsevier/Churchill Livingstone. http://site.ebrary.com/id/10574592Links ]

Boucher, J. A., Abboud, J., Nougarou, F., Normand, M. C. y Descarreaux, M. (2015). The Effects of Vibration and Muscle Fatigue on Trunk Sensorimotor Control in Low Back Pain Patients. PLOS ONE, 10(8), e0135838. https://doi.org/10.1371/journal. pone.0135838 [ Links ]

Brandt, M., Andersen, L. L., Samani, A., Jakobsen, M. D. y Madeleine, P. (2017). Inter-day reliability of surface electromyography recordings of the lumbar part of erector spinae longissimus and trapezius descendens during box lifting. BMC Musculoskeletal Disorders, 18(1), 519. https://doi.org/10.1186/s12891-017-1872-y [ Links ]

Brandt, M., Madeleine, P., Samani, A., Jakobsen, M. D., Skals, S., Vinstrup, J. y Andersen, L. L. (2018). Accuracy of identification of low or high risk lifting during standardised lifting situations. Ergonomics, 61(5), 710-719. https://doi.org/10.1080/00140139.2017.1408857 [ Links ]

Brown, W., Pappas, E., Foley, B., Zadro, J. R., Edwards, K., Mackey, M., Shirley, D., Voukelatos, A. y Stamatakis, E. (2020). Do different sit-stand workstations influence lumbar kinematics, lumbar muscle activity and musculoskeletal pain in office workers? A secondary analysis of a randomized controlled trial. International Journal of Occupational Safety and Ergonomics, 1-8. https://doi.org/10.1080/10803548.2020.1796039 [ Links ]

Callaghan, J. P., Patla, A. E. y McGill, S. M. (1999). Low back three-dimensional joint forces, kinematics, and kinetics during walking. Clinical Biomechanics, 14(3), 203-216. https://doi.org/10.1016/S0268-0033(98)00069-2 [ Links ]

Campos, I. (2015). Biomechanical Analysis of the Sit-to-Stand Transition (Tesis doctoral). The University of Manchester. https://research.manchester.ac.uk/en/studentTheses/biomechanical-analysis-of-the-sit-to-stand-transitionLinks ]

Chen, B., Dong, Y., Guo, J., Zheng, Y., Zhang, J. y Wang, X. (2019). Effects of Whole-Body Vibration on Lumbar-Abdominal Muscles Activation in Healthy Young Adults: A Pilot Study. Medical Science Monitor, 25, 1945-1951. https://doi.org/10.12659/MSM.912720 [ Links ]

Chesterton, P., Payton, S. y McLaren, S. (2018). Acute effects of centrally- and unilaterally-applied posterior-anterior mobilizations of the lumbar spine on lumbar range of motion, hamstring extensibility and muscle activation. Journal of Back and Musculoskeletal Rehabilitation, 31(6), 1013-1023. https://doi.org/10.3233/BMR-171000 [ Links ]

Cheynel, N., Mourey, F., Peschaud, F., Durand-Fontanier, S., Didier, J. P. y Trouilloud, P. (2002). (Standing-up/sitting-down movement. Electromyographic analysis of 4 muscles of lower limb and the erector spinae muscle: Study of anticipatory postural adjustments). Morphologie: Bulletin De l’Association Des Anatomistes, 86(274), 23-26. PMID: 12572344. [ Links ]

Clark, D., Lambert, M. y Hunter, A. (2016). Reliability of Trunk Muscle Electromyography in the Loaded Back Squat Exercise. International Journal of Sports Medicine, 37(06), 448-456. https://doi.org/10.1055/s-0035-1569366 [ Links ]

Cordo, P. J., Gurfinkel, V. S., Smith, T. C., Hodges, P. W., Verschueren, S. M. P. y Brumagne, S. (2003). The sit-up: Complex kinematics and muscle activity in voluntary axial movement. Journal of Electromyography and Kinesiology, 13(3), 239-252. https://doi.org/10.1016/S1050-6411(03)00023-3 [ Links ]

Cregg, A. C., Foley, R. C. A., Livingston, L. A. y La Delfa, N. J. (2021). A biomechanical evaluation of different footrest heights during standing computer work. Ergonomics, 64(3), 342-353. https://doi.org/10.1080/00140139.2020.1832261 [ Links ]

Cuesta-Vargas, A. I., Cano-Herrera, C. L. y Heywood, S. (2013). Analysis of the neuromuscular activity during rising from a chair in water and on dry land. Journal of Electromyography and Kinesiology , 23(6), 1446-1450. https://doi.org/10.1016/j.jelekin.2013.06.001 [ Links ]

Czaprowski, D., Kolwicz, A., Afeltowicz, A., Pawlowska, P. y Oleksy, L. (2015). Reliability of measurements of the extension-flexion ratio with surface EMG. Journal of Back and Musculoskeletal Rehabilitation, 28(4), 827-832. https://doi.org/10.3233/BMR-150590 [ Links ]

Davidson, B. S., Judd, D. L., Thomas, A. C., Mizner, R. L., Eckhoff, D. G. y Stevens-Lapsley, J. E. (2013). Muscle activation and coactivation during five-time-sit-to-stand movement in patients undergoing total knee arthroplasty. Journal of Electromyography and Kinesiology , 23(6), 1485-1493. https://doi.org/10.1016/j.jelekin.2013.06.008 [ Links ]

de Sèze, M. P. y Cazalets, J. R. (2008). Anatomical optimization of skin electrode placement to record electromyographic activity of erector spinae muscles. Surgical and Radiologic Anatomy, 30(2), 137-143. https://doi.org/10.1007/s00276-007-0289-y [ Links ]

Delisle-Rodríguez, D., Villa-Parra, A. C., Bastos, T., Frizera-Neto, A. y López-Delis, A. (2015). An Exploration of the Erector Spinae Muscle for Knee Exoskeleton Control. En D. A. Jaffray (Ed.), World Congress on Medical Physics and Biomedical Engineering, June 7-12, 2015, Toronto, Canada (Vol. 51, pp. 994-997). Springer International Publishing. https://doi.org/10.1007/978-3-319-19387-8_242 [ Links ]

Doheny, E. P., Walsh, C., Foran, T., Greene, B. R., Fan, C. W., Cunningham, C. y Kenny, R. A. (2013). Falls classification using tri-axial accelerometers during the five-times-sit-to-stand test. Gait & Posture, 38(4), 1021-1025. https://doi.org/10.1016/j.gaitpost.2013.05.013 [ Links ]

du Rose, A., Breen, A. y Breen, A. (2018). Relationships between muscle electrical activity and the control of inter-vertebral motion during a forward bending task. Journal of Electromyography and Kinesiology, 43, 48-54. https://doi.org/10.1016/j.jelekin.2018.08.004 [ Links ]

Flash, T. y Hogan, N. (1985). The coordination of arm movements: An experimentally confirmed mathematical model. The Journal of Neuroscience, 5(7), 1688-1703. https://doi.org/10.1523/JNEUROSCI.05-07-01688.1985 [ Links ]

Granata, K. P., Marras, W. S. y Davis, K. G. (1999). Variation in spinal load and trunk dynamics during repeated lifting exertions. Clinical Biomechanics, 14(6), 367-375. https://doi.org/10.1016/S0268-0033(99)00004-2 [ Links ]

Guzmán, R. A., Porcel Melián, H., Cordier, B. y Adul Silvestre, R. (2010). Diferencias biomecánicas durante la transferencia de sedente a bípedo entre adultos mayores con y sin historia de caídas frecuentes. Revista Española de Geriatría y Gerontología, 45(5), 267-273. https://doi.org/10.1016/j.regg.2010.05.002 [ Links ]

Halim, I., Omar, A. R., Saman, A. M. y Othman, I. (2012). Assessment of Muscle Fatigue Associated with Prolonged Standing in the Workplace. Safety and Health at Work, 3(1), 31-42. https://doi.org/10.5491/SHAW.2012.3.1.31 [ Links ]

Heinonen, P., Kautiainen, H. y Mikkelsson, M. (2005). Erector spinae SEMG activity during forward flexion and re-extension in ankylosing spondylitis patients. Pathophysiology, 12(4), 289-293. https://doi.org/10.1016/j.pathophys.2005.09.010 [ Links ]

Hurley, S. T., Rutherford, D. J. y Hubley-Kozey, C. (2016). The Effect of Age and Seat Height on Sit-to-Stand Transfer Biomechanics and Muscle Activation. Physical & Occupational Therapy In Geriatrics, 34(4), 169-185. https://doi.org/10.1080/02703181.2016.1267293 [ Links ]

Inglis, J. G. y Gabriel, D. A. (2020). Sex differences in motor unit discharge rates at maximal and submaximal levels of force output. Applied Physiology, Nutrition, and Metabolism, 45(11), 1197-1207. https://doi.org/10.1139/apnm-2019-0958 [ Links ]

Ivanenko, Y. P., Poppele, R. E. y Lacquaniti, F. (2006). Spinal Cord Maps of Spatiotemporal Alpha-Motoneuron Activation in Humans Walking at Different Speeds. Journal of Neurophysiology, 95(2), 602-618. https://doi.org/10.1152/jn.00767.2005 [ Links ]

Jones, M. T., Ambegaonkar, J. P., Nindl, B. C., Smith, J. A. y Headley, S. A. (2012). Effects of Unilateral and Bilateral Lower-Body Heavy Resistance Exercise on Muscle Activity and Testosterone Responses. Journal of Strength and Conditioning Research, 26(4), 1094-1100. https://doi.org/10.1519/JSC.0b013e318248ab3b [ Links ]

Kingma, I. y van Dieën, J. H. (2004). Lifting over an obstacle: Effects of one-handed lifting and hand support on trunk kinematics and low back loading. Journal of Biomechanics, 37(2), 249-255. https://doi.org/10.1016/S0021-9290(03)00248-3 [ Links ]

Kita, K., Osu, R., Hosoda, C., Honda, M., Hanakawa, T. y Izawa, J. (2019). Neuroanatomical Basis of Individuality in Muscle Tuning Function: Neural Correlates of Muscle Tuning. Frontiers in Behavioral Neuroscience, 13, 28. https://doi.org/10.3389/fnbeh.2019.00028 [ Links ]

Lascurain-Aguirrebena, N. D., Casado-Zumeta, X., Lertxundi, A. y Critchley, D. J. (2021). Immediate effects of cervical mobilisations on neck muscle activity during active neck movements in patients with non-specific neck pain. A double blind placebo controlled trial. Physiotherapy, 110, 42. https://doi.org/10.1016/j.physio.2019.07.003 [ Links ]

Lee, D., Yu, S., Song, S., Lee, S. H., An, S., Cho, H., Cho, K. H. y Lee, G. (2017). Comparison of trunk electromyographic muscle activity depends on sitting postures. Work, 56(3), 491-495. https://doi.org/10.3233/WOR-172515 [ Links ]

Liu, X., Li, M., Wang, L., Wang, Y., Liu, X. y Wang, H. (2019). Effectiveness analysis of muscle fatigue in rehabilitation based on surface electromyogram. Journal of Biomedical Engineering, 36(1), 80-84. https://doi.org/10.7507/1001-5515.201703089 [ Links ]

López-Nicolás, M., García-Vidal, J. A., Medina-Mirapeix, F., Sánchez-Onteniente, J. P., Berná Mestre, J. D., Martín-San Agustín, R. y Escolar-Reina, M. P. (2019). Effect of different ergonomic supports on muscle activity of dentists during posterior composite restoration. PeerJ, 7, e8028. https://doi.org/10.7717/peerj.8028 [ Links ]

Madeleine, P., SøGaard, K., Holtermann, A. y Samani, A. (2012). Level of self-reported neck/shoulder pain and biomechanical workload in cleaners. Work, 41, 447-452. https://doi.org/10.3233/wor-2012-0195-447 [ Links ]

Martín-Fuentes, I., Oliva-Lozano, J. M. y Muyor, J. M. (2020). Electromyographic activity in deadlift exercise and its variants. A systematic review. Plos One, 15(2), e0229507. https://doi.org/10.1371/journal.pone.0229507 [ Links ]

Millington, P., Myklebust, B. y Shambes, G. (1992). Biomechanical analysis of the sit-tostand motion in elderly persons. Archives of physical medicine and rehabilitation, 73(7), 609-617. PMID: 1622314. [ Links ]

Mullerpatan, R., Agarwal, B. y Shetty, T. (2020). Exploration of muscle activity using surface electromyography while performing surya namaskar. International Journal of Yoga, 13(2), 137. https://doi.org/10.4103/ijoy.IJOY_72_19 [ Links ]

Nam, I., Shin, J., Lee, Y., Lee, M. Y. y Chung, Y. (2015). The effect of foot position on erector spinae and gluteus maximus muscle activation during sit-to-stand performed by chronic stroke patients. Journal of Physical Therapy Science, 27(3), 571-573. https://doi.org/10.1589/jpts.27.571 [ Links ]

Ng, J. K. F., Parnianpour, M., Richardson, C. A. y Kippers, V. (2001). Functional roles of abdominal and back muscles during isometric axial rotation of the trunk. Journal of Orthopaedic Research, 19(3), 463-471. https://doi.org/10.1016/S0736-0266(00)90027-5 [ Links ]

OMS. (s. f.). Obesidad y sobrepeso. https://www.who.int/es/news-room/fact-sheets/detail/obesity-and-overweightLinks ]

Pérez-Trejos, L. E., Gómez-Salazar, L., Osorio-Toro, S., Pivetta-Carpes, F. y De la FuenteCancino, C. I. (2020). Análisis electromiográfico de la actividad muscular de tronco durante el lanzamiento de bala paralímpico. Entramado, 16(2), 286-297. https://doi.org/10.18041/1900-3803/entramado.2.6754 [ Links ]

Pró, E. (2014). Anatomía clínica. Médica Panamericana. http://www.medicapanamericana.com/VisorEbookV2/Ebook/9789500606431Links ]

Riley, P. O., Schenkman, M. L., Mann, R. W. y Hodge, W. A. (1991). Mechanics of a constrained chair-rise. Journal of Biomechanics, 24(1), 77-85. https://doi.org/10.1016/0021-9290(91)90328-K [ Links ]

Roebroeck, M. E., Doorenbosch, C. A. M., Harlaar, J., Jacobs, R. y Lankhorst, G. J. (1994). Biomechanics and muscular activity during sit-to-stand transfer. Clinical Biomechanics, 9(4), 235-244. https://doi.org/10.1016/0268-0033(94)90004-3 [ Links ]

Roldán-Jiménez, C., Bennett, P. y Cuesta-Vargas, A. I. (2015). Muscular Activity and Fatigue in Lower-Limb and Trunk Muscles during Different Sit-To-Stand Tests. Plos One, 10(10), e0141675. https://doi.org/10.1371/journal.pone.0141675 [ Links ]

Russo, A., Aranceta-Garza, A., D’Emanuele, S., Serafino, F. y Merletti, R. (2019). HDsEMG Activity of the Lumbar Erector Spinae in Violin Players: Comparison of Two Chairs. Medical Problems of Performing Artists, 34(4), 205-214. https://doi.org/10.21091/mppa.2019.4034 [ Links ]

Saeterbakken, A. H., Stien, N., Pedersen, H. y Andersen, V. (2019). Core Muscle Activation in Three Lower Extremity With Different Stability Requirements. Journal of Strength and Conditioning Research, Publish Ahead of Print. https://doi.org/10.1519/JSC.0000000000003465 [ Links ]

Schenkman, M., Berger, R. A., Riley, P. O., Mann, R. W. y Hodge, W. A. (1990). Whole-Body Movements During Rising to Standing from Sitting. Physical Therapy, 70(10), 638-648. https://doi.org/10.1093/ptj/70.10.638 [ Links ]

Schurr, K., Sherrington, C., Wallbank, G., Pamphlett, P. y Olivetti, L. (2012). The minimum sit-to-stand height test: Reliability, responsiveness and relationship to leg muscle strength. Clinical Rehabilitation, 26(7), 656-663. https://doi.org/10.1177/0269215511427323 [ Links ]

Shultz, S. J. y Perrin, D. H. (1999). Using surface electromyography to assess sex differences in neuromuscular response characteristics. Journal of Athletic Training, 34(2), 165-176. [ Links ]

Tully, E. A., Fotoohabadi, M. R. y Galea, M. P. (2005). Sagittal spine and lower limb movement during sit-to-stand in healthy young subjects. Gait & Posture, 22(4), 338-345. https://doi.org/10.1016/j.gaitpost.2004.11.007 [ Links ]

Vander Linden, D. W., Brunt, D. y McCulloch, M. U. (1994). Variant and invariant characteristics of the sit-to-stand task in healthy elderly adults. Archives of Physical Medicine and Rehabilitation, 75(6), 653-660. https://doi.org/10.1016/0003-9993(94)90188-0. [ Links ]

Veiskarami, M. (2020). Design, Implementation and Preliminary Testing of a Novel Orthosis for Reducing Erector Spinae Muscle Activity, and Improving Balance Control for Hyperkyphotic Elderly Subjects. Journal of Biomedical Physics and Engineering, 10(1). https://doi.org/10.31661/jbpe.v0i0.1200 [ Links ]

Recibido: 13 de Febrero de 2023; Aprobado: 24 de Mayo de 2024

Declaración de interés

. Las personas autoras declaran no tener ningún conflicto de interés.

Declaración de contribución

. El autor 1 participó de la conceptualización (lideró), la investigación, el diseño metodológico, la curación de datos y la redacción del manuscrito. El autor 2 participó de la conceptualización (apoyo), del desarrollo de la metodología, del análisis de información, de la revisión y edición del manuscrito final. El autor 3 participó de la conceptualización (apoyo), la gestión del proyecto, la revisión y la edición del manuscrito final. Todas las personas autoras formaron parte de la elaboración de este artículo y de la gestión del proyecto.

Creative Commons License Este es un artículo publicado en acceso abierto bajo una licencia Creative Commons