1. Introduction
Soils are considered a key ecosystem factor due to their functions in the hydrologic cycle, linking energy and water fluxes throughout the soil-plant-atmosphere continuum (Kramer 1969, Andersson et al. 2015, Buol et al. 2011). Therefore, pedology, hydrology and other emerging sciences like hydropedology are strongly relevant to both agricultural and ecological studies (Buol et al. 2011, Lin et al. 2006, Lin 2010, Bouma 2012).
Highly weathered soils within the tropical regions are commonly classified according to the system Soil Taxonomy system (Soil Survey Staff 1999) as Ultisols and Oxisols. These soil orders present interesting properties such as the presence of low-activity minerals, high content of fine particles (clay), low water retention and high permeability, in addition to low contents of exchangeable cations and high acidity (West et al. 1997, Buol and Eswaran 1999, Camacho et al. 2021). In Costa Rica, Ultisols and Oxisols correspond to 43.4% of the total surface area (Mata et al. 2020), covering agricultural regions where significant crops such as sugarcane (Saccharum officinarum L.), pineapple (Ananas comosus (L.). Merr.), or coffee (Coffea arabiga L.) represent the main economic activity (Camacho-Umaña et al. 2024).
In Soil Taxonomy, there is a fundamental concept denominated soil moisture regimen (SMR), defined as the presence or the absence of water retained within tensions among 33 and 1500 kPa into a specific depth (horizons) and during defined periods of the year (Soil Survey Staff 1999). This SMR is commonly used for suborder designation once taxonomic order has been appropriately identified (Soil Survey Staff 1999, Buol et al. 2011), and it takes more importance in agricultural planning and crop establishment according to agroecological interactions, aiming to achieve efficiency in water use and sustainability (Rai and Singh 2012, Lal 2015).
Normally, SMR is determined by estimating the number of days where available water within the soil profile’s control section (AWCS) reaches a tension higher than 1500 kPa, but without reaching the “air dry state” (Soil Survey Staff 1999). This determination can be achieved through a soil water balance approach inferred from historic meteorological data (Soil Survey Staff 1999, Tejedor et al. 2002, Buol et al. 2011, Winzeler et al. 2013). In this regard, some models are available in the literature to determine both soil moisture and temperature regime (Newhall 1972, van Wambeke 1987, 2000, Constantini et al. 2002, Winzeler et al. 2013), which simulates soil moisture behavior under a specific pattern of rainfall, and they are considered accurate for soil taxonomy studies in the United States and Europe.
Models mentioned above use monthly average precipitation (PM) inferred from “normal years” as water input (Soil Survey Staff 1999) and potential evapotranspiration (ETo) as water output. ETo can be estimated through calibrated equations (Penman 1948, Thornthwaite 1954, Monteith 1965), where many involve several climatic variables (Allen et al. 1998). For instance, the Penman-Monteith model is considered as the standard method for evapotranspiration estimating, but its use becomes limited when one or more input variables are absent. The equation developed by Hargreaves and Samani (1985) to estimate ETo from temperature and solar radiation values shows good correlation with the models mentioned above (Moeletsi et al. 2013) and has been used in soil hydrology studies worldwide (Bautista et al. 2009; Gentilucci et al. 2021), including specific studies in the tropics (de Sousa Lima et al. 2013, Lima Junior et al. 2018).
The behavior of the rainfall distribution in moist tropical regions is quite difficult to model and predict due to the influence of ENOS, Atlantic Multi-Decadal Oscillation, and Tropical North Atlantic (Larkin and Harrison 2005, Wolter and Timlin 2011, Maldonado et al. 2018). This makes it difficult to achieve the “normal years” condition in PM as required by Soil Taxonomy.
Furthermore, van Wambeke (1987) performed a study where SMRs were estimated using the Newhall model (Newhall 1972) for the whole territory of Costa Rica. More recently, Fernández-Moya et al. (2014) developed a soil-water balance approach to determine SMR in Andisols from the lands of Guanacaste. However, when carefully assessing these reported SMRs, there are discrepancies among the SMRs assigned with 1) the corresponding historical rainfall patterns and potential soil water availability and 2) the natural vegetation or specific crops developing within their corresponding regions.
Considering all that aforementioned, and particularly this lack of agreement among reported SMR and both: 1) climatic patterns and 2) vegetation, the present study aims to 1) develop a simple method to estimate the soil water balance and 2) determine subsequently the soil moisture regimen for highly weathered soils developed in seven great regions from Costa Rica, Central America.
2. Materials and methods
2.1. Study areas
Seven regions in Costa Rica were selected: a) Mountains of Hojancha, Guanacaste province; b) Mountains of Acosta, in San José; c) Talamanca piedmont at Valle del General and Buenos Aires, located in San José and Puntarenas provinces respectively; d) Mountains of Osa in Puntarenas; e) Lowlands of San Carlos in Alajuela; f) Highlands of Talamanca valley and g) Mountains of Tortuguero, both at Limón province (Figure 1). These regions were chosen following two main criteria: a) geological and geomorphological conditions were suitable for well-drained weathered soils development, and b) landscapes were randomly distributed within different climatic regions, aiming to cover as many of the possible scenarios on rainfall patterns as possible (Solano and Villalobos 2001). A review of soil genesis and soil forming factors for the pedons and landscapes are detailed in Camacho et al. (2021).
2.2. Soil sampling and data collection
Twelve pedons were sampled and described across Costa Rica (Figure 1). Soil descriptions were conducted following Schoeneberger et al. (2002). The geographic coordinates, physiography, relief, elevation and slope, soil erosion, apparent fertility, drainage, stoniness, and water table depth were determined for every pedon. In each horizon assessed, moist color was determined following Munsell (1994). Additionally, depth and width, structure features, consistency, pores, roots, and special features were described following Schoeneberger et al. (2002).
Soil physical and chemical analyses were conducted at Centro de Investigaciones Agronómicas, University of Costa Rica (hereafter CIA-UCR). Details about the methodologies employed can be easily accessed from Camacho et al. (2021).
In summary, soil water retention (SWR) at field capacity (FC at 33 kPa tension) and permanent wilting point (PWP at 1500 kPa tension) for each soil horizon were measured using undisturbed soil cores taken in rings (4.7 cm diameter and 2.54 cm height), using porous ceramic plates and pressure vessels which were set at tension values of 0.33 and 15 bar (33 and 1500 kPa) for FC and PWP, respectively, following the guidelines from Richards (1941), Klute (1986) and Soil Survey Staff (2014a). Particle size distribution analysis (PSDA) was measured using both: 1) pipette methods as described by Soil Survey Staff (2014a) and 2) modified hydrometer method (Gee and Or 2002). Bulk density was accessed through volumetric cylinder following Grossman and Reinsch (2002). Organic carbon contents (OC) were determined by dry combustion (Horneck and Miller 1998).
3. Theory
3.1. Atmospheric water balance
Data (daily minimum, maximum and average air temperature; daily average rainfall and solar radiation) was collected from several meteorological stations (a total of 23) near the soil sampling sites for the climate analysis of the landscapes studied (atmospheric water balance). The data source and the station’s features are detailed in Table 1. In addition, we consulted data from Handcock and Hargreaves (1977), who analyzed climatic data from 250 meteorological stations along the territory of Costa Rica. Daily potential evapotranspiration (ETo) was estimated following Hargreaves and Samani (1985):
where ETo is daily potential evapotranspiration (mm day-1), Tmed is daily average temperature (°C) and Rs is solar incident radiation (mm day-1). If Rs is not available within the climatic data, Samani (2000) proposed the following equation to calculate Rs from temperature values:
where Ro is sun extraterrestrial radiation (MJ m-2 day-1). This Ro comes from tabulated data which values change according to the global position (Allen et al. 1998), which is multiplied by 0.408 to convert units to mm day-1; Tmax and Tmin are maximum and minimum daily temperature (°C), respectively, and KT is an empirical coefficient. Hargreaves (1994) recommended a KT = 0.162 for regions located inland and KT = 0.19 for coastal sites.
To calculate potential evapotranspiration (mm) for the n month, a sum of daily potential evapotranspiration values (calculated with equation 1) was conducted following the equation:
where 𝐸𝑇 𝑜 𝑛 is potential evapotranspiration for the n month (mm).
Dependable precipitation (DP) was estimated from annual precipitations records using the gamma distribution (Husak et al. 2007) and a threshold value of 75%, which is precipitation with a 75% probability level of occurrence (Hargreaves 1977). If data is limited to monthly values, DP can be calculated from monthly average precipitation values using the equation developed by Hargreaves (1977):
where DP is dependable precipitation (mm), and PM is monthly average precipitation (mm). Our DP values were compared with those reported by Hancock and Hargreaves (1977) for neighboring sites to soils under study, including some of the same meteorological stations used in the present study. Data provided by Hancock and Hargreaves (1977) covered a wide range of years, varying from 25 to 45 years of data registration. Thus, their values can be considered representative and robust.
3.2. Soil water balance after infiltration approach
We propose a simplified method to estimate the soil water balance and soil moisture regime, based on the atmospheric water balance, soil water retention capacity (SWRC), and the water values that enter the soil profile as infiltration. From soil water retention and bulk density data obtained for each soil horizon, water storage capacity was estimated throughout the following equation:
where θi is water storage capacity of the horizon (mm), wfci and wpwpi are gravimetric water content values (g g-1) at field capacity (FC) and permanent wilting point (PWP) respectively; ρbi is bulk density (g cm-3), ρH2O is the water density (~ 1.0 g cm-3) and di is the horizon thickness (mm).
Table 1 Meteorological stations and climatic data period consulted for the water balance development. Tabla 1. Estaciones meteorológicas y periodo de datos consultados para el desarrollo del balance hídrico.
| ID number | Name | Latitude North | Longitude West | Elevation (masl) | Data registering period | Source |
| 69551 | Guatuso | 10° 41' | 84° 49' | 50 | Jan-1996 to Dec-2015 | ICE (2015) |
| 69575 | Upala | 10 ° 54' | 85° 01' | 50 | Jan-1976 to Dec-1994 | ICE (2015) |
| 69577 | Boca Tapada | 10 ° 41' | 84° 13' | 60 | Jan-1976 to Dec-1994 | ICE (2015) |
| 69704 | Barra del Colorado | 10° 46' | 83° 35' | 5 | Jan-2011 to Dec-2014 | ICE (2015) |
| 69633 | Comando Los Chiles (Automatic) | 11º 01' | 84º 42' | 40 | Dic-1994 to Nov-2015 | IMN (2015) |
| 69635 | Coopevega | 10º 43' | 84º 24' | 100 | Sep-1995 to Dec-2015 | IMN (2015) |
| 69713 | Saint George, Los Chiles (Automatic) | 10º 46' | 84º 40' | 87 | Apr-2013 to Nov-2015 | IMN (2015) |
| 72105 | Colonia Carmona, Nandayure | 10º 00' | 85º15' | 100 | Jan-1970 to Jun-1991 | IMN (2015) |
| 85012 | Hitoi Cerere | 09º 40' | 83º 01' | 100 | Jul-1981 to Dec-2015 | IMN (2015) |
| 85021 | Hitoi Cerere (Automatic) | 09º 40' | 83º 01' | 170 | Jun-1995 to Sep-2015 | IMN (2015) |
| 87010 | Amubri | 09° 31' | 82° 57' | 70 | Jan-1996 to Dec-2015 | ICE (2015) |
| 87012 | Alto Urén | 09° 27' | 82° 58' | 220 | Jan-1993 to Dec-2006 | ICE (2015) |
| 87014 | Alto Lari | 09° 23' | 83° 02 | 600 | Jan-1994 to Dec-2007 | ICE (2015) |
| 87016 | Bajo Coen | 09°32' | 83° 01' | 100 | Jan-1994 to Dec-2007 | ICE (2015) |
| 88005 | San Ignacio de Acosta | 09º48' | 84º10' | 860 | Jan-1950 to May-1980 | IMN (2015) |
| 88045 | San Ignacio de Acosta 2 | 09º 47' | 84º 09' | 880 | Oct-1994 to Dic-2015 | IMN (2015) |
| 98066 | San Isidro de Biolley | 09° 00' | 82° 60' | 1050 | Jan-1996 to Dic-2015 | ICE (2015) |
| 98087 | Pindeco, Buenos Aires | 09º 08' | 83º 20' | 397 | Sep-1995 to Nov-2015 | IMN (2015) |
| nd | Pérez Zeledón | nd | nd | nd | Jan-2010 to Nov-2015 | ICAFE (2015) |
| nd | Hojancha, Guanacaste | nd | nd | nd | Jan-2010 to Nov-2015 | ICAFE (2015) |
| nd | Finca La Ceniza, Pérez Zeledón | 09º 18' | 83º 41' | 754 | Jan-2010 to Nov-2015 | Coopeagri (2015) |
| nd | Finca El Porvenir, San Pedro | 09º 14' | 83º 32' | 596 | Jan-2010 to Nov-2015 | Coopeagri (2015) |
| nd | Finca El Guayacán, Buenos Aires | 09º 08' | 83º 21' | 380 | Jan-2010 to Nov-2015 | Coopeagri (2015) |
nd: no available data.
m asl: meters above sea level.
To estimate total soil available water (storage capacity), a sum of values of water storage capacity for the horizons calculated with equation 5 was conducted, following the equation:
where A is the total soil water storage capacity (mm).
For the calculus of monthly soil water balance, we assumed a runoff value equivalent to 5% of DP when DP (monthly DP) was higher than 30 mm, in agreement with runoff values obtained from several studies conducted under similar climatic conditions and geomorphologic features within Costa Rica (Harmand et al. 2007, Cannavo et al. 2011, Villatoro et al. 2015).
Then, we assumed an average water value that infiltrates into the soil profile, which was estimated by the following equation:
where In is the average water content that infiltrated into the soil profile for month n (mm); DPn is dependable precipitation value for n month (mm) and En is average runoff value for n month. Further, we estimate the soil water balance after the infiltration for every evaluated month, through the following equation:
where 𝐵 𝑎𝑡 𝑛 is soil water balance after infiltration for n month (mm), In is the average water content stored into the soil profile for month n (mm) per equation 7 and 𝐸𝑇 0 𝑛 is potential evapotranspiration for n month estimated with equation 3.
From Batn values, a conditional function was established to estimate the number of months where soil total water storage capacity (A) is consumed to the limit as shown by equation 9:
where 𝑓 𝑥 𝑛 is the available water for month n (mm), 𝐵 𝑎𝑡 𝑛 is atmospheric water balance on infiltrated soil for n month (mm) and 𝐵 𝑎 𝑡 𝑛−1 is atmospheric water balance on infiltrated soil for previous month (mm).
This function begins on the first month of the year where 𝐵 𝑎𝑡 𝑛 ≥ 𝐴, that means the month where pedon is virtually wet. Then, this function is applied until obtaining a complete year (12 months).
This last calculus normalizes soil water content because 1) soil can’t hold more water than A, and 2) negative values of 𝐵 𝑎𝑡 𝑛 + 𝐵 𝑎 𝑡 𝑛−1 correspond to water deficit (soil available water decreased).
A second calculus with equation 9 was performed to estimate SMR but substituting the A value by the available water on soil pedon control section (AWCS). According to Soil Survey Staff (1999), the moisture control section of a given soil extended from 10 to 30 cm below the soil surface if the particle-size class of the soil is fine-loamy, coarse-silty, fine-silty, or clayey. This last one (clayey) was the dominant textural class within the pedons assessed in the present research, with clay values of 40 - 64% for Ap and 44 - 79% for Bt horizons (Camacho et al. 2021).
Therefore, the AWCS was estimated per equations 5 and 6 for each pedon but using the corresponding horizons which were sampled and described within 10 and 30 cm depth, and considering the thickness di, following the guidelines from Soil Survey Staff (1999) for clayey soils.
3.3. Soil limited data and pedotransfer functions as an alternative for SWR inputs
Aiming to extend the scope of soil water balance after infiltration in further studies using this simple method to other soils with limited data (e.g. soil profiles without measured SWR values), pedotransfer functions (PTFs) available on software Rosetta1 (Schaap et al. 2001) were used to estimate fit parameters for the van Genuchten model (van Genuchten 1980). This model describes the water retention function that describes the relation between the soil water content (θh) and its corresponding soil water potential (h):
where θs and θr are the saturated and residual water contents (L3 L-3), respectively; α (L-1) and n (unitless) are empirical fitting parameters; m is related to n by m = 1 - 1/n (unitless), and h is the tension value (cm H2O). The parameters θs, θr, α, and n were estimated for each soil horizon assessed using Rosetta1, which calculates these fit parameters from the corresponding particle size distribution analysis (PSDA), bulk density and organic carbon content (OC). More details about the PTFs and corresponding methodologies employed can be easily accessed from Schaap et al. (2001).
Once fit parameters were obtained for each soil horizon, soil water content for field capacity (FC) and permanent wilting point (PWP) was calculated through equation 10, setting h values of 336.5 and 15295.74 cm H2O, respectively.
Because the van Genuchten’s model calculates directly volumetric water content (θ), water storage capacity of the horizon (li) was estimated with a modification of equation 6:
where θfci and θpwpi are volumetric water content values at field capacity (FC) and permanent wilting point (PWP) respectively; and di is the corresponding horizon thickness (mm).
The calculated water content values at FC and PWP were compared with their corresponding measured values through single linear regression analysis, aiming to evaluate the performance of pedotransfer equations. Regression analyses were performed on R Studio® (R version 4.3.0 (2023-04-21) "Already Tomorrow") using the glm procedure (RStudio Team 2015).
3.4. Soil moisture regime assignment (SMR)
After the soil water balance approach was completed for each pedon, the number of days for months where AWCS was totally depleted were computed, and further SMR was assigned following the guidelines of Soil Survey Staff (1999). A summary of the description of soil moisture regimes (reported in Costa Rica) is detailed on Table 2.
Soil moisture regimes assigned for pedons assessed in the present study were compared with those previously assigned for Costa Rica by van Wambeke (1987) through: 1) the spatial location of current pedons within the soil moisture regimes distribution map adapted from van Wambeke (1987), and 2) comparing soil moisture regime reported for climatologic stations nearby the pedon sampling points in Costa Rica. After soil moisture regimen was determined for each pedon assessed, soils were classified to the Taxonomic Subgroup level following guidelines from the last edition of Keys to Soil Taxonomy (Soil Survey Staff 2014b).
4. Results
4.1. Soil water content and pedotransfer functions performance
Low values of available water (θfc - θpwp) were found for all horizons studied (n = 57), with a range between 0.04 and 0.13 cm3 cm-3 (Figure 2A). Consequently, we observed low values for both total soil (TSAW) and available water in the control section (AWCS) for the twelve pedons assessed, where AWCS estimates were relatively lower than 50 mm (Figure 2B), which is a fixed value used in the Newhall model and Soil Survey Staff (2014b) for estimating soil moisture regime (SMR).
Soil volumetric water content values at FC and PWP calculated through the van Genuchten’s equation (using pedotransfer functions) for soil horizons presented a strong relation with those directly measured from soil samples (R2 values of 0.92 and 0.89, respectively). Despite this behavior, the RMSE values estimated for FC and PWP were 0.11 and 0.07 cm3 cm-3, respectively, which suggest considerable differences (higher than 0.05 cm3 cm-3) between measured and predicted values. Notoriously, the volumetric water content values calculated for FC and PWP were lower than those directly measured (Figure 3A). Conversely, the available water values calculated with Rosetta® were higher than those directly measured from soil samples (Figure 3B). These same values presented a lower relationship with those directly measured (R2 = 0.60), with a RMSE value of 0.04 cm3 cm-3.
Our data suggested that pedotransfer equations used in the present study (Rosetta1®) to estimate water content at field capacity and permanent wilting point underestimated the water content at both hydrological reference values (FC and PWP) and overestimated the available water by about 24% when compared with the measured values (Figure 3B)
4.2. Soil water balance after infiltration estimated for highly weathered soils
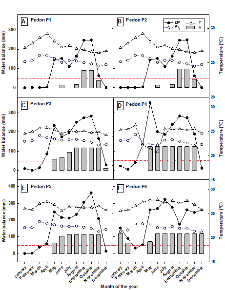
The results obtained with this proposed water balance approach for the twelve pedons assessed are detailed in Figures 4 and 5. We included the atmospheric water balance (ETo vs DP) and the associated total soil available water (TSAW). While assessing pedons P1 and P2 (Mountains of Hojancha) the values of dependable precipitation (DP) and potential evapotranspiration (ETo) indicate eight months (November - May, and July) where atmospheric water balance is negative (ETo > DP), modifying water input and its corresponding soil water stored during the year (Figure 4 A and B). A bimodal rainfall pattern caused by a short drought period in July, which added to maximum rainfall values in September and October, limited the TSAW to 5 months, then seven months where soil profiles present water deficit.
Similar behavior was found in the landscape Talamanca Piedmont landscape which is oriented to Valle del General (Figure 4 C, D and E), where negative atmospheric water balance extended for just five months (December - April), conditioning water availability for pedons studied. In this regard, pedon P3 showed a deficit of water available for four months (January-April), while in pedons P4 and P5 the water deficit extended to five months (December - April). High rainfall values allow water availability during seven and eight months of the year (Figure 4 C, D and E).
Table 2 Description of soil moisture regimes (SMR) reported in soils of Costa Rica. Tabla 2. Descripción de los regímenes de humedad del suelo (SMR) reportados en suelos de Costa Rica.
| Soil moisture regime | Main characteristics |
| Aquic | Soil is virtually out of oxygen due to saturation. |
| - | Soil remains saturated for some period of the year, during normal years. Evidence of chemical reduction. |
| Perudic | Soil presents a hydric surplus for 12 months (ET0 < PM*) in the control section. |
| - | Soil does not get dry during no period of the year. |
| Udic | Soil presents a hydric surplus (ET0 < PM*) for 90 cumulative days or even more in the control section. |
| - | Soil dries for a period shorter than 90 cumulative days of the year. |
| Ustic | Soil presents a hydric deficit (ET0 > PM*) for 90 cumulative days or even more in the control section. |
| - | Soil dries for a period longer than 90 cumulative days of the year and gets moist during 180 cumulative days or 90 consecutive days per year. |
*PM: Monthly mean precipitation inferred from normal years (Soil Survey Staff 1999). All this information was adapted from Alvarado (1985), Soil Survey Staff (1999) and Boul et al. (2011).

Figure 2 Relative frequency of available water values measured from soil horizons sampled (A) and calculated total soil available water (TSAW) and available water in the control section (AWCS) for twelve pedons assessed in present study (B). Error bars represent 95% confidence interval. Discontinuous red line denotes 50 mm as AWCS as suggested by van Wambeke (1987) and Soil Survey Staff (1999). Figura 2. Frecuencia relativa de los valores de agua disponible medidos en los horizontes del suelo muestreados (A) y valores calculados de contenido total de agua disponible del suelo (TSAW) y agua disponible en la sección de control (AWCS) para doce pedones evaluados en el presente estudio (B). Las barras de error representan el intervalo de confianza del 95%. La línea roja discontinua indica 50 mm como AWCS, según lo sugerido por van Wambeke (1987) y Soil Survey Staff (1999).

Figure 3 Calculated volumetric moisture values at field capacity (FC) and permanent wilting point (PWP) (A) and, available water (B) plotted against measured values for horizons sampled on twelve soil pedons assessed on present study. Red lines indicate fitted linear regression models. Calculated values for FC and PWP were estimated through van Genuchten equation (van Genuchten 1980), using fitting parameters obtained through Rosetta1 (Schaap et al. 2001). Figura 3. Valores de humedad volumétrica calculados para capacidad de campo (CC) y punto de marchitez permanente (PMP) (A), y valores calculados de agua disponible (B), graficados frente a los valores medidos en los horizontes muestreados de doce pedones evaluados en el presente estudio. Las líneas rojas indican los modelos de regresión lineal ajustados. Los valores calculados de CC y PMP fueron estimados mediante la ecuación de van Genuchten (van Genuchten, 1980), utilizando los parámetros de ajuste obtenidos a través de Rosetta1 (Schaap et al. 2001).
The atmospheric water balance estimated for pedon P6 (lowlands of San Carlos) showed water deficit in just three months (February - April), with high precipitation values except for September and January, where there is a significant decrease in precipitation values. The landscape’s magnitude and rainfall distribution made it possible for ten months with high values of soil available water (May - February), further depleting TSAW completely from March to April (Figure 4 F).
For pedon P7 (Talamanca Piedmont oriented to Buenos Aires), the atmospheric water balance was negative for four months only (December - March). This period of decay in rainfall significantly reduced available water during the first four months, depleting completely TSAW for two months (February and March) but with available water for the rest of the ten months (Figure 5 A).
Curiously, when assessing the Mountains of Acosta landscape, the atmospheric water balance was similar to that found for landscape in Hojancha (Figure 4 A and B) with a precise period (July - August) where the rainfall amount decreased considerably. Due to this behavior, pedon P8 showed available water for seven months (May - November) and a five-month period (December - April) during which time TSAW was depleted entirely (Figure 5 B).
High precipitation rates characterize the southeastern region of Costa Rica. There is the landscape Mountains of Peninsula de Osa, where the atmospheric water balance showed a rainfall decrease from January to March and maximum precipitation values from September to October. The two pedons studied within this landscape (P9 and P10) presented differences in the TSAW. Pedon P9 was depleted entirely during March (one month), while this depletion extended for February and March in pedon P10 (Figure 5 C and D).
On the other hand, the Caribbean region of Costa Rica presents weather conditions with high rainfall events distributed during the year. The atmospheric water balance in the Highlands of Talamanca showed a water surplus for nine months (DP > ET0), with a precise period where the rainfall decreases (March and April), coinciding with a reduction on TSAW for pedon P12 during those months mentioned above (Figure 5 E). Nevertheless, this pedon did not show a deficit in available water (where soil gets totally dry) throughout the year.
Similar behavior was found in the Mountains of Tortuguero (pedon P13), where the surplus period extended for ten months with a reduction in rainfall during March-April. DP values were higher for this landscape than those values found in the Highlands of Talamanca. Indeed, a similar behavior to pedon 12 was found for pedon 13, where there was a decay in TSAW for March and April, without a clear soil water deficit (Figure 5 F).
4.3. Soil moisture regime, water availability and production potential
While evaluating the behavior of available water in the control section (AWCS) for the twelve pedons assessed in the present study (Table 3), we found agreement with TSAW trends described above in the soil water balance after infiltration (Figures 2 and 3). From these results, pedons were grouped into three categories following the guidelines described in Table 2:
1) Pedons with water deficit (virtual depletion of available water) in the control section for 90 or more cumulative days during the year were classified within the Ustic soil moisture regime (Ustic SMR).
2) Pedons with a water deficit in the control section for less than 90 cumulative days were classified within the Udic soil moisture regime (Udic SMR).
3) Pedons with no water deficit in the soil control section throughout the year were classified within the Perudic soil moisture regime (Perudic SMR).
The first group included pedons studied in landscapes Mountain of Hojancha (P1 and P2), Talamanca piedmont oriented to Valle del General (P3, P4 and P5), and Mountains of Acosta (P8) (Table 3). Pedons P1 and P2 presented a water deficit on AWCS for almost six consecutive months (212 cumulative days). Soil water deficit in the control section for pedon P3 extended for 120 cumulative days (four consecutive months), while for pedons P4 and P5 extended for 151 cumulative days (five months).
Similarly, pedon P8 presented a total of 151 cumulative days (five consecutive months) with water deficit. All these aforementioned results allowed us to classify these six pedons under the Ustic SMR, with a period of time of 90 consecutive days or more with water deficit in the control section (Figures 4 A-E and 5B).
The second group included pedons from the landscapes Lowlands of San Carlos (pedon P6), Talamanca piedmont oriented to Buenos Aires (pedon 7), and Mountains of Península de Osa (pedons P9 and P10). Pedons P6 and P7 presented AWCS totally depleted for two consecutive months (61 and 59 consecutive days respectively). Pedons P9 and P10 presented an AWCS deficit for 31 and 59 consecutive days. Therefore, Udic SMR was assigned to these four pedons (less than 90 or consecutive days with AWCS hydric deficit) (Table 3).
Finally, soil sampled and described in the landscapes Highlands of Talamanca Valley (pedon P12) and Mountains of Tortuguero (pedon P13) were included in the third group (Table 3). Both pedons presented AWSC surplus throughout the whole year (no deficit period for 365 days). Therefore, both pedons were classified within the Perudic SMR (no AWCS total depletion along the year), in agreement with the conditions described on their corresponding soil water balance, where soil holds available water for twelve months, with a reduction in total available water during moths where DP < ETo but without depleting it totally (Figure 5 E and F).

Figure 4 Soil water balance after infiltration calculated for soil pedons: Altos del Socorro (A), San Isidro, Monterromo (B), La Ceniza (C), El Porvenir (D), El Guayacán (E), and Crucitas de Cutris (F). 2016. DP: dependable precipitation (mm), ETo: potential evapotranspiration (mm), T: temperature (°C), A: soil total available water (mm). Red slashed lines represent 50 mm of available water in the moisture control section (AWCS) as established by Soil Survey Staff (1999). Figura 4. Balance hídrico del suelo posterior a la infiltración calculado para los pedones: Altos del Socorro (A), San Isidro, Monterromo (B), La Ceniza (C), El Porvenir (D), El Guayacán (E) y Crucitas de Cutris (F). 2016. DP: precipitación confiable (mm), ETo: evapotranspiración potencial (mm), T: temperatura (°C), A: agua total disponible en el suelo (mm). Las líneas rojas discontinuas representan 50 mm de agua disponible en la sección de control de humedad (AWCS), según lo establecido por el Soil Survey Staff (1999).

Figure 5 Soil water balance after infiltration calculated for six pedons: Biolley (A), Colorado de Acosta (B), Estación La Gamba (C), Rincón de Osa (D), Los Ángeles, Talamanca (E) and Cerro Coronel (F). DP: dependable precipitation (mm), ETo: potential evapotranspiration (mm), T: temperature (°C), A: soil total available water (mm). Red slashed lines represent 50 mm of available water in the moisture control section (AWCS) as established by Soil Survey Staff (1999). Figura 5. Balance hídrico del suelo posterior a la infiltración calculado para los pedones: Biolley (A), Colorado de Acosta (B), Estación La Gamba (C), Rincón de Osa (D), Los Ángeles, Talamanca (E), y Cerro Coronel (F). 2016. DP: precipitación confiable (mm), ETo: evapotranspiración potencial (mm), T: temperatura (°C), A: agua total disponible en el suelo (mm). Las líneas rojas discontinuas representan 50 mm de agua disponible en la sección de control de humedad (AWCS), según lo establecido por el Soil Survey Staff (1999).
The SMR selected for all pedons assessed in the present study allowed us to designate the taxonomic Suborder for nine pedons (Table 4), while the SMR determined the taxonomic Subgroup for pedon P8 (Ustic Palehumults). Curiously, taxonomic subgroup designed for pedons P9 and P12 did not include an implicit SMR, in this case Andic Palehumults and Typic Palehumults, respectively.
5.1. Pedotransfer functions performance and soil available water
The low values of soil available water (both TSAW and AWCS) observed in the pedons assessed (Figure 2) could be explained by the dominance of kaolinite, gibbsite, goethite, and hematite in their clay mineralogy (Camacho et al. 2021), which is characteristic of highly weathered soils like Ultisols and Oxisols (West et al. 1997, Buol and Eswaran 1999). All these minerals provide soil characteristics like strong grades of structure development, low capacity of water retention and good drainage (Lal 1979, West et al. 1997, Buol and Eswaran 1999). This Oxidic-Kaolinitic mineralogy has been reported for other Alfisols, Ultisols and Oxisols in Costa Rica (Alvarado et al. 2014, Pincus et al. 2017, Camacho et al. 2021).
Differences in clay minerals could affect the magnitude of wetting-drying phenomena during periods of high precipitation (surplus) and periods where ETo exceeds precipitation (deficit), as reported by Jackson (1973) and Forsythe (1976). Indeed, soil clay mineralogy strongly affects soil water retention capacity. For instance, when assessing the fit parameters of van Genuchten’s equation (the main model used to estimate and describe SWRC), they change dramatically due to variations in clay minerals, like the parameter α (air entry suction) is higher for kaolinitic than for montmorillonitic clay mineralogy samples, which leads to the underestimation of θ values through pedotransfer functions (Hodnett and Tomasella 2002).
Therefore, in absence of measured values for FC and PWP, pedotransfer functions (PTF’s) like those available in Rosetta1® software should be used carefully, especially in soils with clay mineralogy like those assessed in present study. In this regard, PTF’s developed and calibrated for soils from the humid tropics are quite scarce, and further research should be conducted to validate this approach (Hodnett and Tomasella 2002, Tomasella et al. 2000).
Table 3 Available water in control section (AWCS) along the months of the year and soil moisture regime assigned to twelve pedons studied in seven regions of Costa Rica. Tabla 3. Agua disponible en la sección de control de humedad (AWCS) a lo largo de los meses del año y régimen de humedad del suelo asignado a doce pedones estudiados en siete regiones de Costa Rica.
5.2. The soil water balance after the infiltration approach
Despite the availability in the literature of several models to compute the soil water balance and further soil moisture regime (SMR) such as EPIC, Billaux, or the classical Newhall (Newhall 1972, Costantini et al. 2002, Winzeler et al. 2013), most of them were developed, calibrated and validated in the temperate regions, covering some assumptions that could be impractical for tropical climate conditions like those present in Costa Rica (Rojas-Morales 2012). Indeed, some authors have reported discrepancies in the SMRs obtained with these models, for instance, the overestimation of Xeric regimes by the Billaux model, or the overestimation of Ustic regimes by the Newhall model (Constantini et al. 2002).
In this regard, the soil water balance approach developed in the present research included both climatic and edaphic variables, which are more adequate to describe the soil water dynamics and its implications into the SMR assignment under tropical conditions. For instance, the ETo is calculated with the model proposed by Hargreaves and Samani (1985), which requires minimal data, as well as the use of DP (a probabilistic rainfall value) and the soil water retention in the control section. This simple method provides a simpler framework to determine the SMRs when comparing with the aforementioned models, which tend to be cumbersome to use, or require more data that limit its use (Constantini et al. 2002, Bonfante et al. 2011, Wang et al. 2015).
According with Soil Survey Staff (1999) the SMR should be estimated considering monthly mean precipitation inferred from “data series from normal years” or a year plus minus one standard deviation of the long-term mean annual precipitation (µ ± σ). However, the use of “normal years” has been challenged by other authors, because reduces the amount of useful data for respective calculus, where one standard deviation becomes very restrictive (Costantini et al. 2002, Emadi et al. 2015).
In present study, DP allows a 75% probability of occurrence (probable rainfall in 3 of 4 years), resulting more suitable for studies under tropical climatic conditions, in agreement with those established by Hargreaves and Vogler (1985) and previous studies about rainfall, climate and agricultural potential in Costa Rica (Radulovich 1987, Carmona and Radulovich 1988).
Additionally, trends in the atmospheric variables assessed in present study were comparable to those described by Solano and Villalobos (2001) for corresponding climatic subregions, as well seasonal behavior on rainfall regime in Costa Rica (Rojas-Morales 2012).
Interestingly, midsummer droughts (MSD; called “veranillos” in Central America) were clearly observed during the middle of the year for two landscapes (Mountains of Acosta and Hojancha). The genesis of these MSD’s obeys to the influence of the several climatic phenomena, including fluctuations in the Eastern Pacific intertropical convergence zone (ITCZ), El Niño South Oscillation (ENSO) and the Intra Americas low-level jet (IALLJ), providing climatic conditions that reduce the rainfall amounts and distribution during July and August within Central America (Magaña et al. 1999, Amador 2008, Amador et al. 2006).
This trend in the atmospheric water balance (an MSD) has been previously reported and discussed for Central and North Pacific regions (Radulovich 1987, Carmona and Radulovich 1988, Radulovich 1990, Magaña et al. 1999), in agreement with our results observed (Figures 4 and 5).
5.3. Soil moisture regime, water availability and production potential
Despite results reported by van Wambeke (1987) in Costa Rica, where Udic SMR was assigned to the regions Valle del General and Acosta (pedons 3, 4, 5 and 8), the soil water balance after infiltration calculated for these pedons indicates that Ustic SMR is more suitable under these pedoclimatic conditions. Consistently, rainfall decreased during the middle of the year (Jun-Aug) in both landscapes (Figure 4 and 5), in agreement with the MSD’s reported for the Central-South Pacific region (Carmona and Radulovich 1988, Solano and Villalobos 2001, Rojas-Morales 2012).
Interestingly, this Ustic SMR assigned to the aforementioned pedons could explain the extensive distribution and elevated yields of coffee (Coffea arabiga L.) in the region of Acosta, as well the extensive crop of sugarcane (Saccharum officinarum L.) in Pérez Zeledón and Buenos Aires, due to the need of a water deficit period in the physiology of both crops to carry out certain processes such as: 1) quiescent growth period and the development of the inflorescence in coffee (DaMatta and Ramalho 2006) and 2) dry matter partition in the plant and further sucrose concentration increase in the stem before the sugarcane harvest (Inman-Bamber and Smith 2005).
The differences between the SMR obtained in present study and their corresponding values reported in literature (Figure 6) could be explained by differences in the calculation procedures, climatic parameters, and certain assumptions of Newhall model (van Wambeke 1987). For instance, this model assumes 50 mm of water available within control section, which is considerable higher than the values found in this study (Table 3).
In addition, the Newhall model handles monthly precipitation (PM) under two main conditions: 1) heavy rainfall (HP) events that immediately enters the soil (where HP = PM/2) and 2) light rainfall (LP) which could not infiltrate within the soil profile due to lost by evapotranspiration (Newhall 1972).
Soil infiltration process is described by Horton (1940) as a sequence of events where during a rainfall or irrigation event water enters the soil profile. When rainfall intensity exceeds infiltration capacity and fills surface depressions, water in excess moves as runoff, constituting a fundamental phenomenon in soil water balance. Evett et al. (2012) highlighted the runoff role on water flux change along soil pedon, which conditions the availability of soil water throughout the year.
In Costa Rica, several studies have been performed about runoff rates for Ultisols on coffee plantations (Harmand et al. 2007, Villatoro et al. 2015) and Andisols (Cannavo et al. 2011, Gómez-Delgado et al. 2011, Taugourdeau et al. 2014) where they reported runoff values corresponding to average monthly rainfall percentage between 3 and 8%. In present study it was selected a value corresponding to 5% of dependable precipitation (DP) for each soil water balance performed, due soil morphologic and physical conditions (relief, slope magnitude and soil texture) found for soils assessed were similar to those previously reported (Harmand et al. 2007, Villatoro et al. 2015).
5.4. Practical implications, caveats, and further research
The soil water balance after the infiltration approach resulted in a powerful tool to assess both the soil water dynamics and SMR assignment, considered satisfactory while determining SMR in highly weathered soils of Costa Rica, and versatile enough to work with limited data when comparing with other hydrologic models available into the literature for the soil moisture regime calculation and assignment (van Wambeke 1987, Costantini et al. 2002, Winzeler et al. 2013).
Nevertheless, this approach should be used carefully when assessing soils with an actual Aquic soil moisture regime, where the Soil Taxonomy requires evidence of redoximorphic features like mottles and low chroma values (Vepraskas and Sprecher 1997, Soil Survey Staff 1999) to assign this SMR.
In this regard, pedons P12 and P13 were classified within Perudic SMR because they did not present a water deficit period throughout the whole year (Figure 5).
However, these same climatic features under poorer drainage would provide conditions for a semi-permanent saturation (waterlogging) and further changes in the soil system’s redox status (Vepraskas and Sprecher 1997, Sparks 2003), resulting in morphological features like blue-grayish colors with low chroma values (Figure 7).
These features are typical of soils virtually free of dissolved oxygen (and subsequently, with an Aquic SMR), which is difficult to find out without digging the soil profile and describing the morphological soil features (Vepraskas and Sprecher 1997, Schoeneberger et al. 2002). Therefore, a sound soil description of these morphological properties (for instance, soil depth, genetic horizons, and their corresponding colors) coupled with the used of this soil water balance approach should be undertaken aiming to properly assign the SMR.

Figure 6 Geographic distribution of soil moisture regime within the Costa Rican territory according with van Wambeke (1987) and SMR determined for 12 pedons in present study (Red, white, and gray dots). Aquic SMR is not shown. SMR classes were consulted from van Wambeke (1987). Figura 6. Distribución geográfica de los distintos regímenes de humedad del suelo en el territorio costarricense de acuerdo con van Wambeke (1987) y los SMR determinados para 12 pedones evaluados en el presente estudio (puntos rojos, blancos y grises). El régimen de humedad ácuico no se muestra. Las clases de SMR fueron consultadas de van Wambeke (1987).
We encourage further research where this soil water balance approach could be tested in other soil orders like Andisols or Inceptisols, soils with considerable surface extension within the territory of Costa Rica (Mata et al. 2020), where other important agricultural activities take place (Camacho-Umaña et al. 2024), aiming to extend the use of soil water balance approach and validate its potential results.
Additionally, the use of sensors and other techniques which provide continuous measurements of soil water content (Hidalgo-Campos and Camacho-Umaña 2024) would improve the accuracy of this soil water balance approach while assessing the soil water dynamics and the corresponding identification of months with soil water deficit (Costantini et al. 2002).

Figure 7 Redoximorphic features assessed in soils from Costa Rica: A) Mottles and blueish colors matrix at the lowlands of San Carlos (Crucitas de Cutris) Province of Alajuela, and B) Iron-reduced matrix in horizon (blue-grayish color) and oxidized boundary (yellowish colors) at the lowlands of Matina (Carradí de Matina), Province of Limón. Red arrows indicate oxidized Fe forms. White arrows indicate reduced Fe forms. Picture 7B is kindly provided by the students of AF4404 “Génesis y clasificación de suelos” course (2014). Figura 7. Características redoximórficas evaluadas en suelos de Costa Rica: A) Moteados y matriz de colores azulados en las tierras bajas de San Carlos (Crucitas de Cutris), provincia de Alajuela, y B) Matriz con reducción de hierro en el horizonte (color azul grisáceo) y límite oxidado (colores amarillentos) en las tierras bajas de Matina (Carrandí de Matina), provincia de Limón. Las flechas rojas indican formas oxidadas de Fe. Las flechas blancas indican formas reducidas de Fe. La imagen 7B fue amablemente proporcionada por los estudiantes del curso AF4404 “Génesis y clasificación de suelos” (2014).
6. Conclusions
The soil water balance after infiltration approach developed in present study resulted satisfactorily in describing soil moisture dynamics throughout the year, in agreement with climatic patterns reported in the literature. Despite disagreements with SMR previously reported some pedons assessed in present study, our results showed a better agreement with climate conditions and vegetation developing (crops or forestry) within the corresponding regions.
Soils sampled and described in present study presented low soil available water values, explained by their great pedologic development and presence of kaolinite and oxy-hydroxides of Fe and Al as main clay minerals. This condition could explain divergences with soil moisture regime previously estimated through Newhall model, where AWCS assumed is quite higher than that estimated from direct soil water retention measurements.
Further research should be performed to calibrate and validate PTF’s in different soil orders from Costa Rica, using the approach developed in the present study for pedons with limited data. We recommend continuing the evaluation of soil water balance approach in other soil orders in Costa Rica under different climatic regions, in order to evaluated performance on SMR determination, as well as soil water balance and soil available water dynamics.



























