Introducción
El cultivo de sorgo dulce forrajero (Sorghum bicolor L. Moench) es una opción para ser incorporada en los sistemas ganaderos, dada su capacidad de adaptación a las variaciones climáticas y en especial a periodos largos de sequía. Presenta una mayor tolerancia a este factor climático en comparación con cultivos como el maíz, que además posee una alta demanda hídrica (Amombo et al. 2022).
En Colombia, el principal uso de este cultivo es como complemento en la alimentación animal, como forraje verde o transformado en harina procesada (Godoy 2016). De acuerdo con el Ministerio de Agricultura y Desarrollo Rural (MADR 2018) el cultivo de sorgo dulce forrajero se siembra en aproximadamente 12 930 hectáreas y tienen un rendimiento potencial de forraje de 50 t.ha-1. Su distribución en el país es amplia y los principales departamentos adoptantes del cultivo son Atlántico, Bolívar, Cesar, Córdoba, Huila, Magdalena, Meta y Sucre.
Los sorgos dulces forrajeros se caracterizan por presentar tallos gruesos, bajo contenido de fibras estructurales que facilitan la digestibilidad en animales, alto contenido de azúcares fermentables, volumen alto de biomasa, bajo rendimiento de semilla y altura de planta que pueden superar los 4 metros de altura (Rodríguez-Gómez et al. 2021, Hu et al. 2022). Esta última condición hace que los procesos de producción y multiplicación de semilla de calidad de esta especie se tornen en un gran desafío, al presentarse una alta susceptibilidad al volcamiento.
El volcamiento de plantas es una de las mayores limitantes en los cultivos de grano, al incidir directamente en el rendimiento. El impacto es mayor cuando el cultivo está expuesto a altas precipitaciones y fuertes vientos, especialmente en épocas próximas a la cosecha (Julio et al. 2021, Mejía-Kerguelén et al. 2019). El volcamiento de plantas destinadas a la producción de semilla dificulta los procesos de cosecha mecanizada y aumenta, consecuentemente, la necesidad de mano de obra; también, se aumentan las pérdidas de semilla de forma considerable, puesto que la humedad del suelo puede elevar el contenido de humedad del grano y afectar la calidad fisiológica y sanitaria, lo cual conlleva a su descarte posterior, situación que puede conducir a una baja disponibilidad de semilla en el mercado (Arévalos et al. 2019).
Diferentes estrategias para mitigar este fenómeno en los cultivos de grano han sido generadas: incluyen aspectos de manejo agronómico, el mejoramiento genético y, recientemente, el uso de retardantes de crecimiento (Rademacher 2000). Esta última alternativa, ha sido probada en diversos cultivos, pero hay poca evidencia de su uso en procesos de producción de semilla en sorgos forrajeros. Las evidencias del uso de reguladores en otros cultivos sugieren que estos pueden llegar a ser una gran opción para la reducción de la altura de la planta y el volcamiento (Torres de Souza et al. 2010).
Una característica común en varios de los retardantes de crecimiento disponbles en el mercado es que actúan como inhibidores de la ruta de biosíntesis de giberelinas, en alguna parte de la ruta metabólica de este compuesto (Rademacher 2000); otros retardantes afectan el metabolismo de las auxinas (Zabala et al. 2009). El cloruro de mepiquat, ampliamente usado para el control del crecimiento en cultivos de algodón, actúa bloqueando directamente la síntesis del ent-kaureno, una etapa temprana en la ruta de biosíntesis de giberelinas (Rademacher 2000). La misma interrupción en la ruta de las giberelinas ocurre con la aplicación de Trinexapac - etil y su efecto se observa principalmente en la reducción de la elongación celular de los entrenudos cuando es aplicado en cultivos como caña de azúcar (Nakayama et al. 1990). Finalmente, compuestos como el etileno modifican el metabolismo de las auxinas, lo cual interfiere en los procesos crecimiento y maduración (Zabala et al. 2009).
Al considerar los efectos positivos que pudiesen tener el uso de retardantes de crecimiento en la producción de semilla de sorgo dulce forrajero, se planteó como objetivo evaluar los efectos de algunos de ellos en variables asociadas al vigor de la planta, el porcentaje de volcamiento y la producción de semilla de calidad.
Materiales y métodos
Este estudio se realizó durante el primer semestre del 2022 en 2 localidades en dónde se llevan a cabo procesos de producción de semilla certificada de sorgo dulce forrajero. El Centro de Investigación Nataima (NAT) de la Corporación Colombiana de Investigación Agropecuaria (AGROSAVIA) ubicado en el valle cálido del Alto Magdalena, municipio de El Espinal, Tolima, con coordenadas geográficas 04° 11'18,35” de latitud norte y 74° 57’32,73” de longitud oeste, a una altitud de 371 msnm y con topografía plana (pendiente menor al 3%). Según Holdridge et al. (1971), en la zona se presenta un clima que corresponde a la clasificación de bosque seco tropical (bs-T), con precipitación media anual de 1275 mm de distribución bimodal, humedad relativa media de 69,4% y temperatura media de 28,2°C. La segunda localidad fue el Centro de Investigación Motilonia (MOT) de AGROSAVIA, ubicado en el Caribe seco colombiano, municipio de Agustín Codazzi, Cesar, cuyas coordenadas geográficas son 9°59'18” de latitud norte y 73°16'21” de longitud oeste, con una altitud de 91 msnm y topografía del terreno plana. La clasificación climática corresponde al bosque seco tropical (bs-T) (Holdridge et al. 1971), la humedad relativa es de 59%, la temperatura media anual es de 24°C, se presenta una precipitación media anual que oscila entre 300 a 400 mm con distribución bimodal y el suelo se caracteriza por presentar una textura franco-arenosa.
Se utilizó la variedad Corpoica JJT18, de sorgo dulce forrajero. Es ampliamente empleada en el país para la suplementación nutricional, especialmente en los sistemas de producción de ganadería bovina. Posee un rendimiento promedio de 45 t.ha-1 de forraje verde y una concentración de sólidos solubles entre 13,0 y 16,7° brix. (AGROSAVIA 2020, Bernal 2013, ICA 2013).
El diseño experimental usado fue de bloques completos al azar (DBCA) con 3 repeticiones y 6 tratamientos, para un total de 18 unidades experimentales. Los tratamientos consistieron en la aplicación de: T1- Cloruro de mepiquat (100 g i.a.ha-1), T2- Etefón (720 g i.a.ha-1), T3- Etefón (1200 g i.a.ha-1), T4- Cloruro de mepiquat (25 g i.a.ha-1) + Etefón (360 g i.a.ha-1), T5- Trinexapac-etil (200 g i.a.ha-1) y el T6 correspondió al testigo sin aplicación de retardantes de crecimiento. Los reguladores fueron aplicados en los estados de desarrollo 1 y 3, considerando la primera aplicación antes de la diferenciación del primordio foliar y la segunda precisamente en el cambio de la actividad meristemática de crecimiento vegetativo a reproductivo. Para evitar el efecto de deriva de los retardantes, las aplicaciones se realizaron con ayuda de una bomba de CO2, calibrada a una presión de 35 PSI y con un volumen de agua de 150 L.ha-1. La unidad experimental consistió en parcelas de 6 surcos de 10 metros de largo y una distancia entre surcos de 0,8 m, para un área de 48 m2, separadas entre ellas por 4 surcos de siembra con el mismo material. La densidad de plantas ocupada fue de 75 000 plantas.ha-1.
De acuerdo con los análisis de suelos de cada localidad y el requerimiento nutricional de las plantas se definió el plan de fertilización, sin embargo, se decidió disminuir en un 25% la fertilización nitrogenada puesto que la recomendación referente fue la sugerida para producción de forraje donde se requiere favorecer el crecimiento y alargamiento de las plantas. En ningún caso el cultivo presentó indicadores de déficit del elemento. La fertilización se realizó con la aplicación de los compuestos simples: N: 94, P2O5: 51, K2O: 121, Ca: 23, Mg: 20 y S: 18 en kg.ha-1; el control de arvenses, plagas y patógenos se efectuó contemplando las técnicas de manejo integrado recomendadas para cada caso y algunas sugeridas por Bernal et al. 2014.
Las variables evaluadas durante el estudio correspondieron a variables de crecimiento y morfoagronómicas: altura de la planta a cosecha, medida desde la base del tallo hasta la panícula; diámetro en la parte media del tallo; área foliar de las 3 hojas indicadoras (en dónde la segunda hoja correspondió a la última hoja superior ligulada, la hoja inmediatamente superior fue la primera hoja y la hoja inmediatamente inferior fue la tercera); porcentaje de volcamiento; rendimiento de semilla (considerando una humedad del 14% a cosecha y medida en campo y expresado en kg.ha-1); y el peso de mil semillas.
Los datos obtenidos fueron procesados con el programa estadístico R Studio® (R Core Team 2020) en dónde se realizó el procedimiento de análisis de varianza - ANOVA, y se comprobaron los supuestos de normalidad, homocedasticidad y no aditividad, con las pruebas de Shapiro-Wilk y Bartlett. Asimismo, se realizó la prueba de comparación de medias de Tukey con un nivel de significancia de 0,05. Para explicar la variación en la respuesta de la variedad en el bloque se empleó el siguiente modelo estadístico lineal: Yijk = μ+ Ri + Lj + (RL)ij + βk(j)+ εijk, dónde Yijk es igual al resultado promedio de las variables del i-ésimo retardante obtenido en la j-ésima localidad y k-ésima repetición; μ equivale a la media general de las variables; Ri semeja el efecto del i-ésima retardante; Lj es el efecto de la j-ésima localidad; (RL)ij indica la interacción entre el i-ésimo retardante de crecimiento y la j-ésima localidad, βk(j) corresponde al efecto del bloque en la k-ésima repetición y en la j-ésima localidad y εijk indica el efecto aleatorio del error experimental relacionado al i-ésimo retardante en la j-ésima localidad y k-ésima repetición, de acuerdo con el modelo lineal aditivo.
Resultados y discusión
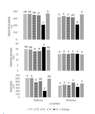
En la evaluación fueron evidentes las diferencias estadísticas significativas para las localidades y los tratamientos en los parámetros de crecimiento de las plantas (Tabla 1). En los 2 ambientes el tratamiento T5 de trinexapac-etil fue el que presentó la menor altura a cosecha con un valor aproximado de 2,1 metros comparada con la longitud del testigo que superó los 3,5 metros (Figura 1). Los resultados demuestran que la aplicación de 200 g i.a.ha-1 de trinexapac-etil en los estados de desarrollo 1 y 3 reduce entre el 40,8 y 43,5% el porte de la planta en MOT y NAT respectivamente. Este resultado coincide con lo reportado por Julio et al. (2021) quienes encontraron que con el uso trinexapac-etil se logró una reducción del 40% de la altura de las plantas de sorgo.
Referente al diámetro del tallo, en el análisis de varianza combinado se presentaron diferencias estadísticas significativas en la localidad (Tabla 1), en este sentido, en la comparación de medias por localidad en NAT se registraron 2 grupos de significancia estadística entre tratamientos, y se destaca que existe una tendencia de engrosamiento del tallo cuando se disminuye la altura de la planta, es decir que parece existir una compensación respecto al porte de las plantas de sorgo (Figura 1), sin embargo no se detectaron diferencias significativas cuando se aplicaron los retardantes respecto al tratamiento control. Kebrom et al. (2017) en un estudio sobre el análisis de la dinámica de la expresión génica durante el desarrollo de entrenudos vegetativos del tallo de sorgo encontraron que existe una relación entre la retención de células pequeñas en la epidermis y la zona subepidérmica del tallo que contribuyen a aumentar su diámetro.
Tabla 1 Valores de los cuadrados medios y significancia del análisis de varianza para las variables de parámetros de crecimiento de altura de la planta a cosecha, diámetro de tallo y área foliar, evaluados en el primer semestre del 2022 en la localidad del Valle cálido del Alto Magdalena (NAT) y el Caribe seco colombiano (MOT).
| Fuente de variación | GL | Altura de la planta (cm) | Diámetro del tallo (mm) | Área foliar (cm2) |
| Localidad (L) | 1 | 4400,1* | 148,03*** | 93942,3*** |
| Tratamiento (R) | 5 | 18859,6*** | 3,89NS | 53396,9*** |
| L x R | 5 | 361,1NS | 3,63NS | 26579,1*** |
| Error | 24 | 726,2 | 5,19 | 2715,3 |
| CV (%) | 8,32 | 13,3 | 11,46 | |
| Mean | 323,94 | 17,14 | 454,53 |
GL: Grados de libertad; CV: Coeficiente de variación; ***, *: diferencias significativas (p<0,001) y (p<0,05), respectivamente; NS: No significativo

Figura 1 Crecimiento promedio de las plantas de sorgo forrajero en el periodo productivo 2022 en la localidad del Valle cálido del Alto Magdalena (NAT) y el Caribe seco colombiano (MOT).
*Medias con letras iguales no son estadísticamente diferentes con p<0,05 (Tukey).
En la variable de área foliar se registraron diferencias altamente significativas para la localidad, los retardantes y su interacción. De igual forma se observa que el tratamiento de trinexapac-etil, en la localidad de Nataima, registró la menor área foliar de las hojas indicadoras que se evaluaron (Figura 1); conviene subrayar que en este estudio se encontró que el área foliar no tiene una relación directa con la acumulación de materia seca en las semillas, pues a menor área foliar no se tradujo necesariamente en menor rendimiento. Este resultado indica que la aplicación de este retardante de crecimiento puede modificar la arquitectura de la planta sin que implique sombreamiento y por ende hay un mayor aprovechamiento de la intercepción lumínica. Estudios previos han reportado que, en el estrato superior de las plantas de sorgo, el ángulo de las hojas puede representar un mejor aprovechamiento de la intercepción de la luz, lo que da como resultado un mayor potencial de rendimiento del cultivo (Zhi et al. 2022). En la localidad NAT se observó un síntoma de fitotoxicidad en las plantas con la aplicación del trinexapac-etil específicamente durante el estado de desarrollo 4 (Figura 2), esto provoca un acortamiento de los nudos; con respecto a esto Rademacher (2000) indica que los retardantes de crecimiento vegetal cuando son empleados de forma apropiada no provocan síntomas visibles de daños a la planta que puedan comprometer su productividad.

Figura 2 Evidencia de plantas de sorgo dulce con síntomas de fitotoxicidad por efecto de la aplicación de Trinexapac-etil a dosis de 200 g i.a. ha-1 en la localidad del Valle cálido del Alto Magdalena (NAT) durante la evaluación del ciclo productivo 2022.
En las 2 localidades se evidenció el volcamiento basal de las plantas con diferencias estadísticas para las 3 fuentes de variación (Tabla 2), de forma particular en el análisis del ambiente de NAT los datos no presentaron una distribución normal por lo que, aunque son evidentes las diferencias entre los retardantes de crecimiento según la comparación de medias los tratamientos son estadísticamente semejantes. Cabe señalar que el tratamiento T5 de trinexapac-etil obtuvo los menores porcentajes de volcamiento en NAT y MOT con 1 y 8,3% respectivamente, el cual fue contrastante con el tratamiento T2 de etefón a mínima dosis que tuvo porcentajes de volcamiento de 91% para MOT y 41,7% para NAT. Los demás tratamientos T1, T3, T4 y el testigo fueron contrastantes en las 2 localidades, es decir que existe un efecto ambiental que influye en el comportamiento de los retardantes respecto a esta variable (Figura 3). De acuerdo con Stubbs et al. (2020) se puede inferir que la resistencia de flexión del tallo fue menor en MOT que en NAT. La fuerza de referencia o de carga externa aplicada sobre las plantas fue inducida principalmente por condiciones ambientales adversas, como la velocidad del viento y las altas precipitaciones en momentos de flexión. Esta condición de exceso de lluvia fue predominante en MOT, donde tuvo picos de precipitación de hasta 90 mm día en estadios tempranos de formación de grano y que se lograron determinar en el balance hídrico que se elaboró para las localidades de prueba (Flórez- Gómez 2023).
Tabla 2 Valores de los cuadrados medios y significancia del análisis de varianza para las variables porcentaje de volcamiento, peso de mil semillas y rendimiento de semilla tomadas en la evaluación del primer semestre del 2022 en la localidad del Valle cálido del Alto Magdalena (NAT) y el Caribe seco colombiano (MOT).
| Fuente de variación | GL | Volcamiento (%) | Rendimiento (kg.ha-1) | Peso de mil semillas (g) |
| Localidad (L) | 1 | 15708,4*** | 72NS | 72,25*** |
| Tratamiento (R) | 5 | 2722,7* | 2867533*** | 1,89NS |
| L x R | 5 | 4359,0*** | 5092631*** | 2,25* |
| Error | 24 | 703 | 189883 | 0,83 |
| CV (%) | 59,73 | 41,5 | 3,21 | |
| Mean | 44,39 | 1050,9 | 28,47 |
GL: Grados de libertad; CV: Coeficiente de variación; ***, *: diferencias significativas (p<0,001) y (p<0,05) respectivamente; NS: No significativo

Figura 3 Comparación de medias para la variable de porcentaje de volcamiento de plantas en el periodo productivo 2022 en localidad del Valle cálido del Alto Magdalena (NAT) y el Caribe seco colombiano (MOT).
*Medias con letras iguales no son estadísticamente diferentes con p<0,05 (Tukey).
La Figura 4 indica que existe una correlación negativa entre el porcentaje de volcamiento de las plantas y el nivel de productividad de semilla, pues a mayor porcentaje de volcamiento se presenta un menor rendimiento. Nuevamente sobresale la aplicación de trinexapac-etil cuyo rendimiento de semilla fue de 2,9 t.ha-1 y 1,4 t.ha-1 en MOT y en NAT respectivamente. Lo anterior discrepa de lo encontrado en un experimento de Julio et al. (2021), en el cual la aplicación de este retardante se realizó cuando las plantas habían desarrollado 8 y 12 hojas y obtuvieron una reducción en el rendimiento de semilla del 41%. Esta situación puede ser debida sobre todo por el momento de aplicación del regulador, que en el caso de los investigadores fue cercana a la fase reproductiva y en este estudio se efectuó en los primeros estados de desarrollo vegetativo, puntualmente antes y durante la diferenciación meristemática. Los resultados obtenidos dan evidencia que la aplicación de los retardantes en las plantas de sorgo dulce forrajero en los estados vegetativos 1 y 3 según la escala de Vanderlip y Reeves (1972) tienen un mayor efecto sobre los parámetros de crecimiento, dado que en la fase vegetativa la longitud del tallo está regulada por la tasa y la duración de la división y elongación de las células del entrenudo, esta zona de división celular es conocida como el meristemo; y cuando cambia la actividad meristemática del primordio foliar a floral la aplicación de estos productos genera que se presenten alteraciones en la señalización de hormonas, especialmente en las giberelinas y por ende se disminuye la proliferación celular (Yu et al. 2022).

Figura 4 Comparación de medias para la variable del rendimiento de semilla en el periodo productivo 2022 en localidad del Valle cálido del Alto Magdalena (NAT) y el Caribe seco colombiano (MOT).
*Medias con letras iguales no son estadísticamente diferentes con p<0,05 (Tukey).
En el dendrograma de la Figura 5 se detalla el análisis multivariado de los tratamientos y se aprecia su agrupación en 2 conglomerados. Se destaca que el tratamiento T5 de trinexapac-etil, no se agrupa con los demás tratamientos debido a su composición y respuesta en la evaluación de las variables medidas.
Conclusiones
Con la aplicación de 200 g i.a.ha-1 de Trinexapac-etil durante los estados de desarrollo 1 y 3 en lotes de sorgo dulce forrajero destinados a la producción de semilla certificada, se genera un menor desarrollo vegetativo de las plantas, un menor porcentaje de volcamiento y esto se refleja en una mejora en el rendimiento de semilla.
Se evidenció que existe un efecto ambiental que influye en la respuesta de las plantas de sorgo dulce forrajero a los retardantes. La mejora en rendimiento fue mayor en la localidad de Motilonia ubicada en el Caribe seco colombiano.
El Trinexapac-etil a la dosis aplicada tuvo un efecto positivo en la reducción de la altura de la planta y el área foliar, lo cual puede facilitar las labores de cosecha mecanizada, las labores de postcosecha y la calidad de la semilla.
Recomendaciones
Se sugiere evaluar el retardante Trinexapac-etil en dosis menores a la evaluada para evitar síntomas de fitotoxicidad y retrasos en el desarrollo de las plantas establecidas en campo. Se recomienda evaluar la interacción del uso del retardante con prácticas de manejo agronómico como la nutrición y la densidad poblacional. Es importante comprobar la efectividad del retardante Trinexapac-etil en áreas mayores a las experimentales y su validación en campos de producción de semilla certificada que validen los resultados experimentales de este estudio.















