SciELO - Scientific Electronic Library Online

 
vol.71 número1Diversidad de especies y distribución espacial de mosquitos (Diptera: Culicidae) del Parque Amazónico La Isla, provincia de Napo, EcuadorPatrones de diversidad de epífitas vasculares y no vasculares a lo largo del bosque seco tropical índice de autoresíndice de materiabúsqueda de artículos
Home Pagelista alfabética de revistas  

Servicios Personalizados

Revista

Articulo

Indicadores

Links relacionados

Compartir


Revista de Biología Tropical

versión On-line ISSN 0034-7744versión impresa ISSN 0034-7744

Rev. biol. trop vol.71 no.1 San José ene./dic. 2023

http://dx.doi.org/10.15517/rev.biol.trop..v71i1.54605 

Artículo

Composición de los macroinvertebrados según la calidad del agua en turberas de altura, Costa Rica

Composition of macroinvertebrates according to water quality in high altitude peatbogs, Costa Rica

1 Doctorado en Ciencias Naturales para el Desarrollo Costa Rica (DOCINADE), Instituto Tecnológico de Costa Rica, Universidad Nacional, Universidad Estatal a Distancia, Costa Rica; pgastezzi@uned.ac.cr (*Correspondencia).

2 Laboratorio de Vida Silvestre y Salud, Vicerrectoría de Investigación de la Universidad Estatal a Distancia, Costa Rica.

3 Departamento de Biología, Facultad Experimental de Ciencias de la Universidad del Zulia, Venezuela; jerincon04@gmail.com

Resumen

Introducción:

En Costa Rica, las turberas de altura se localizan en la Cordillera de Talamanca de 2 400 a 3 200 m. Se forman a partir de depósitos de materia orgánica en descomposición, con oxígeno reducido y baja disponibilidad de nutrientes.

Objetivo:

Evaluar la variación en la composición de macroinvertebrados acuáticos según parámetros fisicoquímicos de calidad del agua superficial en turberas de altura, Costa Rica.

Métodos:

Se colocaron 32 sustratos artificiales en las turberas para ser colonizados por macroinvertebrados. Se realizaron evaluaciones fisicoquímicas mensuales del agua superficial en ocho turberas con visitas mensuales durante la estación lluviosa. Se utilizaron los índices ICA-NSF y BMWP-CR para evaluar la calidad del agua.

Resultados:

Se registraron un total de diez familias correspondientes a siete géneros. Las familias más representativas fueron Chironomidae y Limnephilidae. La calidad del agua se clasificó según el ICA-NSF como de “calidad media” y como de “calidad regular a mala” según el BMWP-CR.

Conclusiones:

Las turberas de altura son ecosistemas poco estudiados, esta investigación evidencia la necesidad de diseñar metodologías e índices que evalúen la fauna acuática. Las turberas son diferentes entre sí, y las familias de macroinvertebrados encontrados son tolerantes a las características fisicoquímicas del agua. Es necesario realizar estudios periódicos que evalúen la calidad del agua y su relación con los macroinvertebrados acuáticos para entender la dinámica de las turberas, generar conocimiento e incrementar su protección.

Palabras clave: bioindicadores; macroinvertebrados; parámetros fisicoquímicos; sustratos artificiales.

Abstract

Introduction:

In Costa Rica, high peatbogs are located in the Cordillera de Talamanca from 2 400 to 3 200 m. They are formed from deposits of decomposing organic matter, with reduced oxygen and low nutrient availability.

Objective:

To evaluate the variation in the composition of aquatic macroinvertebrates according to physicochemical parameters of superficial water quality in high altitude peatbogs, Costa Rica.

Methods:

32 artificial substrates were placed in the peatbogs to be colonized by macroinvertebrates. Monthly physicochemical evaluations of surface water were performed in eight peatbogs with monthly visits during the rainy season. The ICA-NSF and BMWP-CR indexes were used to evaluate the water quality.

Results:

A total of ten families corresponding to seven genera were recorded. The most representative family was Chironomidae and Limnephilidae. Water quality was classified according to the ICA-NSF as “medium quality” and as “regular to poor quality” according to BMWP-CR.

Conclusions:

The high peatbogs are poorly studied ecosystems; this research shows the need to design methodologies and indices to evaluate the aquatic fauna. The peatbogs are different from each other, and the families of macroinvertebrates found are tolerant to the physicochemical characteristics of the water. Periodic studies that evaluate water quality and its relationship with aquatic macroinvertebrates are necessary to understand the dynamics of peatlands, generate knowledge and increase their protection.

Key words: aquatic insects; artificial substrates; bioindicators; physicochemical parameters.

Introducción

Los macroinvertebrados acuáticos son uno de los grupos de organismos más representativos de agua dulce, debido a que presentan una variedad de adaptaciones, incluyendo ciclos de vida complejos (Quesada-Alvarado et al., 2020; Springer, 2010).

Este grupo de organismos son utilizados como bioindicadores para determinar la calidad de los ambientes acuáticos y su estado de conservación, debido a que presentan diferentes niveles de tolerancia antes los diversos disturbios, por lo que son una herramienta útil para evaluar la condición de los sistemas acuáticos (Roldán-Pérez, 2016). Los bioindicadores son útiles para evaluar características específicas presentes en el agua, para desarrollar esfuerzos de conservación de la biodiversidad acuática, y hacer uso de su función como agentes para el monitoreo de los cuerpos de agua (Gastezzi-Arias et al., 2021; Prat et al., 2009; Roldan, 2003; Roldan-Pérez, 2016; Zhen-Wu, 2010).

Con mayor frecuencia, los estudios que evalúan la calidad y el estado ecológico de los cuerpos de agua se han enfocado en las características fisicoquímicas, y en la biota de los sistemas lóticos, mientras que para los sistemas lénticos los estudios son escasos (Carrasco et al., 2020; Reyes-Morales, 2013; Rivera-Usme et al., 2013). Así mismo, los índices de calidad del agua permiten valorar de manera general, los cuerpos de agua obteniendo una variación espacial y temporal por medio de una fácil interpretación de categorías, siendo útiles para conocer el estado de los diferentes grupos de macroinvertebrados acuáticos (Pérez-Gómez et al., 2021; Roldan, 2003; Roldán-Pérez, 2016; Zhen-Wu, 2010). Además, las variables fisicoquímicas y otros factores abióticos determinan la abundancia, distribución, ciclo de vida y su adaptación en aguas lénticas de los macroinvertebrados (Camacho-Reyes & Camacho-Rozo, 2010; Quesada-Alvarado et al., 2020).

Las turberas de altura son humedales lénticos y semipermanentes, caracterizados por presentar suelos saturados de agua en la época lluviosa, y ricos en materia orgánica. Las características de estos ecosistemas y los factores climáticos favorecen la presencia de una diversidad única debido a las adaptaciones que permite el desarrollo de especies endémicas (Carrasco et al., 2020). Las investigaciones en turberas de altura son escasas; sin embargo, son sitios para el establecimiento de comunidades de organismos acuáticos, con diferente composición taxonómica comparado con otros cuerpos de agua (Carrasco et al., 2020; Springer, 2010). Las investigaciones sobre macroinvertebrados acuáticos en Costa Rica son frecuentes en muchos de los ecosistemas acuáticos, especialmente lóticos. Sin embargo, en las turberas de altura los estudios son escasos y están restringidos principalmente a unos pocos listados e inventarios de organismos invertebrados en general, como los que se mencionan en Kapelle & Horn (2005). Por lo tanto, se desconocen los aspectos ecológicos de los macroinvertebrados acuáticos que habitan en estos ecosistemas de altura.

La importancia de los índices de calidad de agua (ICA), surgen como un método para evaluar la naturaleza física, química y biológica de las aguas superficiales en relación con su calidad natural, los efectos humanos y sus posibles usos, permitiendo sintetizar y transmitir los resultados de manera simple y clara de los cuerpos de agua de forma espacial y temporal (González et al., 2013; Pérez-Gómez et al., 2021; Torres et al., 2009).

En esta investigación pretende evaluar la composición de macroinvertebrados acuáticos y su relación con la calidad del agua superficial por medio de los parámetros fisicoquímicos en turberas en Costa Rica.

Materiales y métodos

Área de estudio: Esta investigación se desarrolló en la Cordillera de Talamanca, en el Parque Nacional Tapantí-Macizo de la Muerte, la cual presenta un área continua de bosque de robledales (Quercus spp.) y ecosistemas diversos propios de tierras altas, como turberas de altura, bosque montano, entre otros (Bermúdez & Sánchez, 2000; Chaverri & Cleef, 1996; Kapelle & Horn, 2005). Se seleccionaron ocho turberas ubicadas dentro del Parque Nacional Tapantí Macizo de la Muerte (09.55478° N & -83.75962° W) (T1, T2, T3, T4, T5 y T6), y en la Reserva Biológica Cerro Vueltas (09.62169° N & -83.85669° W) (T7 y T8), Costa Rica (Fig. 1), con altitudes desde los 2 400 a los 3 100 msnm. La recolección de la información se realizó en los meses de mayo a noviembre del 2019, que corresponde a la época lluviosa.

Fig. 1 Ubicación de los sitios de muestreo en las turberas de altura, Cerro de la Muerte, Costa Rica. / Fig. 1. Location of the sampling sites in high peatbogs, Cerro de la Muerte, Costa Rica. 

Las turberas estudiadas se forman a partir de depósitos de materia orgánica en descomposición, con reducido oxígeno, escasos nutrientes y poca profundidad. Se clasifican como turberas ombrotróficas debido a que su principal aporte de agua es mediante las precipitaciones (Gastezzi-Arias et al., 2021; Sánchez-Murillo et al., 2022). Son de tipo estacional, caracterizados por ambientes heterogéneos y cuerpos de agua poco visibles. En la época lluviosa se forman estanques naturales por el escurrimiento del agua de lluvia. En algunas de las turberas se forman espejos visibles de agua de diferentes tamaños. Sin embargo, en la época seca, estos estanques se secan, quedando el suelo húmedo debido a la presencia de briófitos, que almacenan agua (Gastezzi-Arias et al., 2021).

Muestreo de macroinvertebrados acuáticos: se utilizaron sustratos artificiales de acuerdo con lo indicado en el Decreto Nº 33903-MINAE-S, art. 13, apéndice 2, sobre la metodología de sustratos artificiales para el monitoreo biológico. Es importante mencionar que para este tipo de ecosistema la metodología de sustratos artificiales fue modificada respecto a la original, pues no existen metodologías oficiales diseñadas para estos ecosistemas en el país. La modificación consistió en utilizar sustratos con material propio de cada turbera y no adoquines de concreto como lo indica la metodología de sustratos artificiales para el monitoreo biológico.

Se confeccionaron diferentes sustratos con malla plástica de empaque de 1 cm de luz. Se rellenaron con material propio de las turberas como (1) hojas secas recolectadas de la vegetación circundante al cuerpo de agua, (2) rocas, (3) trozos de madera y (4) gramíneas secas. Las rocas y los trozos de madera fueron lavadas con agua destilada previamente para quitar las impurezas (Poder Ejecutivo, 2007, art. 13; Pérez-Gómez et al., 2021; Quesada-Alvarado & Solano-Ulate, 2020; Ramírez, 2010; Trama et al., 2009). Se prepararon paquetes rellenados individualmente con cada material mencionado, con un peso de 30 g cada uno (Quesada-Alvarado & Solano-Ulate, 2020). En cada sitio se colocaron por duplicado los cuatro tipos de sustrato, de manera independiente atado fijamente a una estaca de madera y sumergidos en el agua en las diferentes profundidades que tuvo cada turbera (Fig. 2).

Fig. 2 Sustratos artificiales y su colocación en turberas de altura, Costa Rica. Fotos: P. Gastezzi-Arias. / Fig. 2. Artificial substrate and their placement in high peatbogs, Costa Rica. Photos by: P. Gastezzi-Arias. 

Los sustratos sumergidos se dejaron por 30 días de acuerdo con lo mencionado por Poder Ejecutivo, 2007, art. 13; Herranz-Sanz & González del Tánago (1986), y Prat et al. (2009), que es el tiempo en que se obtiene el número más alto de taxones y diversidad. Los sustratos se recolectaron de manera manual, colocando cada sustrato en bolsas plásticas para evitar la pérdida de individuos, se rotularon y luego fueron llevados al laboratorio para limpiar y filtrar el líquido obtenido con un tamiz cilíndrico de 500 µm. Posteriormente, se separaron las muestras para proceder a la búsqueda de macroinvertebrados entre los sustratos con la ayuda de un estereoscopio.

Los especímenes fueron preservados en frascos con alcohol etílico al 70 % y llevados al Laboratorio del Instituto Regional de Estudios de Sustancias Toxicas (IRET) de la Universidad Nacional para su identificación taxonómica mediante las claves de Pacheco & Rodríguez (2015) y Springer (2010) entre otros. Los especímenes se depositaron en la colección de Entomología Acuática del Museo de Zoología de la Universidad de Costa Rica.

Las mediciones de los parámetros fisicoquímicos se realizaron en siete de los ocho sitios debido a que una de las turberas no presentó un espejo de agua adecuado para la recolección de estos. Las mediciones se tomaron una vez al mes en toda la época lluviosa (mayo a noviembre), en el mes de octubre se colocaron los sustratos artificiales en cada uno de los sitios. En cada sitio de muestreo se midió in situ: la temperatura (°C) del agua, el pH, conductividad (µS/cm), sólidos totales disueltos (SDT), oxígeno disuelto (OD), turbidez (NTU), potencial de oxígeno disuelto (ORP) y el porcentaje de saturación de oxígeno (PSO), con un multiparámetro portátil Hanna 9828. Las mediciones se hicieron por triplicado en cada sitio de muestreo, para obtener un valor promedio único de cada parámetro obtenido.

Índice de Calidad Biológica del Agua BMWP-CR: Este índice biótico se calcula sumando los puntajes de tolerancia asignados a los grupos o familias de los macroinvertebrados obtenidos en las muestras (Poder Ejecutivo, 2007, art. 13; Roldan, 2003). En función de la suma obtenida se establecen seis niveles de calidad para el agua, las dos primeras categorías pertenecen al grupo de aguas no contaminadas (Tabla 1).

Es importante mencionar que a pesar de que el índice BMWP-CR no está diseñado para evaluar la calidad de agua de ecosistemas de altura y con poco flujo de agua como lo son las turberas de altura en Costa Rica, se lo utilizó de manera exploratoria para validar su uso en estos ecosistemas.

Índice de Calidad del Agua (ICA-NSF): Para el análisis de la calidad fisicoquímica del agua, se utilizó el índice de la Fundación Nacional de Saneamiento (National Sanitation Foundation) (Oram, 2013), el cual ha sido empleado tanto para medir la calidad del agua, como para determinar los cambios en tramos particulares de ríos a través del tiempo. Así mismo, se ha utilizado para valorar la calidad del agua superficial para consumo humano a nivel mundial, pero se puede adaptar y modificar de acuerdo con las condiciones de cada sistema acuático que se desea estudiar (Cadena & Gómez-Torrado, 2016; González et al., 2013). El ICA-NSF utiliza nueve variables para clasificar el agua, como: pH, oxígeno disuelto, temperatura, nutrientes, coliformes fecales, solidos totales, turbidez y DBO. Con los valores obtenido de las variables que utiliza, el agua se clasifica en: Excelente (90-100), Buena (70-90), Media (50-70), Mala (25-50), Muy Mala (0-25).

Análisis estadístico: con base en los resultados, se calculó la riqueza y la abundancia total y relativa de los macroinvertebrados acuáticos encontrados. Se determinó la diversidad mediante el índice de Shannon-Wiener (Log2) (H), la dominancia con el índice de Simpson (1-D) y la equitatividad con el índice de Pielou (J) en cada uno de los sitios y sustratos.

Se realizó un análisis de correspondencia (CA) para visualizar las asociaciones de las familias de macroinvertebrados con el tipo de sustrato. El CA se realizó con la función CA del paquete de R “FactoMineR” (Lê et al., 2008).

Se calculó la diversidad beta de la comunidad de macroinvertebrados a nivel familia utilizando el índice de proximidad Bray Curtis, el cual considera la abundancia relativa, y se visualizaron los patrones de diversidad beta ajustando un Escalamiento Multidimensional No Métrico (nMDS; siglas en inglés) con la función metaMDS del paquete de R “vegan”. Para este análisis los datos de las comunidades se utilizan para construir una matriz de proximidades (similitud - disimilitud) entre los individuos (Oksanen et al., 2017).

Además, se realizaron mapas de calor para conocer el patrón de la abundancia de los grupos taxonómicos a nivel de familia en cada tipo de sustrato y sitio de muestreo, así como su presencia/ausencia. Los mapas de calor se realizaron con el paquete de R “ggplot2”. Los mapas calientes son una técnica permite visualizar de manera sencilla cuál o cuáles son los grupos taxonómicos más abundantes (Wickham, 2016).

Para el procesamiento de los datos de los parámetros fisicoquímicos del agua, se realizaron pruebas de Análisis de Varianza (ANOVA, por sus siglas en inglés) para los datos paramétricos y Kruskal-Wallis para los datos no paramétricos, con el fin de determinar las diferencias entre los sitios de muestreo y meses. En aquellos casos donde se detectaron diferencias significativas se realizaron pruebas de comparación múltiple (prueba de Tukey para datos paramétricos y prueba múltiple de Dunn para datos no paramétricos). Previo a la realización de las pruebas estadísticas, se analizó la normalidad y homogeneidad de varianza de cada parámetro fisicoquímico. En aquellos casos donde no se cumplió alguno de los criterios anteriores se realizaron pruebas no paramétricas.

Resultados

En los 32 sustratos artificiales colocados se recolectó un total de 739 individuos, representados en 10 familias, siete géneros identificados y cinco indeterminados (Tabla 2). Las familias más representativas y con mayor abundancia fueron Chironomidae (Insecta: Diptera) con 411 individuos, 160 para la familia Hyalellidae (Amphipoda: Hyallelidae), y 61 individuos para Limnephilidae (Insecta: Trichoptera). La mayor abundancia de individuos estuvo en las T3 y T5 (164 y 208 respectivamente).

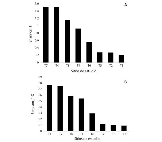
La mayor diversidad de taxones se registró en el sitio T7 (H' = 1.52), mientras que la mayor dominancia se halló en el sitio T4 (D = 0.76) con respecto a los otros sitios (Fig. 3A, Fig. 3B).

Fig. 3 A. Diversidad y B. dominancia de macroinvertebrados acuáticos presente en los diferentes sitios de muestreo en las turberas de altura, Costa Rica. / Fig. 3. A. Diversity and B. dominance of aquatic macroinvertebrates present in the different sampling sites in the high peatbogs, Costa Rica. 

Se observó una alta similitud de familias en tres de los cuatro sustratos, siendo las rocas el sustrato más diferente en representatividad de familias de macroinvertebrados (solo un 40 % del total de familias se observó en rocas). Las familias Chironomidae y Hyalellidae fueron las más abundantes en hierbas, hojas y madera, mientras que las familias Dytiscidae y Limnephilidae fueron las más representativas en rocas (Fig. 4).

Fig. 4 A. Análisis de correspondencia de asociaciones de las familias de macroinvertebrados con el tipo de sustrato. B. Mapa de calor con las abundancias de macroinvertebrados a nivel de familia en cada tipo de sustrato en las turberas de altura, Costa Rica. / Fig. 4. A. Correspondence analysis of macroinvertebrate family associations with substrate type. B. Heat map with macroinvertebrate abundances at family level in each type of substrate in the high peatbogs, Costa Rica. 

En cuanto a la similitud en la composición de macroinvertebrados acuáticos, se observó que los sitios T1, T2, y T5 guardan una relación en cuanto a la riqueza y abundancia de familias (Fig. 5A). Estos sitios se caracterizan por registrar la presencia de individuos de las familias Chironomidae y Scirtidae, así como altas abundancias de ellas (Fig. 5B). Asimismo, los sitios T6 y T8 presentaron una alta similitud en el ensamble, teniendo individuos de la familia Limnephilidae con altas abundancias en ambos sitios (Fig. 5B). El sitio T3 fue el más diferente con respecto a los demás sitios, donde solo presentó tres familias y la familia Hyalellidae fue la más representativa (< 90 %) (Fig. 5B).

Fig. 5 A. Análisis nMDS, para el ordenamiento de la riqueza y abundancia de familias de macroinvertebrados acuáticos en ocho sitios de muestreo. B. Mapa de calor con las abundancias de macroinvertebrados a nivel de familia en las turberas de altura, Costa Rica. / Fig 5. A. nMDS analysis for the ordination of the richness and abundance of aquatic macroinvertebrate families in eight sampling sites. B. Heat map with macroinvertebrate abundances at the family level in the high peatbogs, Costa Rica. 

Con respecto a los parámetros fisicoquímicos del agua, se obtuvo valores promedios bajos en el oxígeno disuelto (< 1.74 mg/l), sólidos totales (< 5.61 mg/l) y porcentaje de saturación de oxígeno (< 23.98 %), y valores altos en la temperatura del agua (16.62 °C) y la conductividad (< 26.76 μS/cm) (Tabla 3). Por otro lado, se encontraron diferencias estadísticas al comparar entre los sitios de muestreo para pH (Anova, F = 3.97, P = 0.003), temperatura (Kruskal-Wallis, X2 = 18.49, P = 0.005), sólidos totales (Kruskal-Wallis, X2 = 26.44, P < 0.001) y conductividad (Kruskal-Wallis, X2 = 25.50, P < 0.001) (Tabla 3), mientras que fue similar para oxígeno disuelto (Kruskal-Wallis, X2 = 1.76, P = 0.93), sólidos disueltos (Kruskal-Wallis, X2 = 2.28, P = 0.89), ORP (Anova, F = 0.47, P = 0.82), nitratos (Kruskal-Wallis, X2 = 4.05, P = 0.67) y turbidez (Kruskal-Wallis, X2 = 1.46, P = 0.96).

Con respecto a la aplicación del Índice de Calidad del Agua (ICA-NSF), en la Tabla 3, se presenta el puntaje obtenido de acuerdo con la escala de clasificación del índice, el agua de las turberas de altura es categorizada como calidad media.

Por otra parte, la aplicación del Índice BMWP-CR para cada una de las turberas muestreadas mostró que, en la T7 ubicada a 3 100 m, el puntaje obtenido (62) indica aguas de calidad regular; mientras que en T4, T5 y T8 localizadas a 2 600, 2 800 y 3 100 m, la categoría obtenida corresponde a calidad mala (puntajes: 37, 45 y 56 respectivamente); sin embargo, para las T2, T3 y T6, ubicadas a 2 400, 2 600 y 2 800 m, del BMWP-CR indicó calidad critica (puntajes: 17, 29 y 26 respectivamente).

El análisis de componentes principales (ACP) indicó que la relación entre las variables fisicoquímicas del agua y los sitios de muestreo puede ser explicada a través de sus dos primeros componentes, en un 65.11 % de variabilidad, mostrando a T4 alejada del resto de los sitios de muestreo, evidenciando la poca relación entre los otros sitios de muestreo, así como en su abundancia de individuos presentes (n = 16) (Fig. 6).

Fig. 6 Análisis de componentes principales de las variables fisicoquímicas del agua y los sitios de muestreo en las turberas de altura, Costa Rica. / Fig. 6. Principal component analysis of water physicochemical variables and sampling sites in high peatbogs, Costa Rica. 

En el primer componente, el pH, el oxígeno disuelto (OD), la temperatura (T°), el porcentaje de saturación de oxígeno (% SOD) y los nitratos, presentan mayores contribuciones en la varianza en un 37.77 %. Estos parámetros podrían relacionarse con el establecimiento, y presencia de las familias de macroinvertebrados halladas en los sitios de muestreo, por ser factores indispensables para permitir la vida en el agua y porque, además, condicionan su calidad. En el segundo componente, las variables como la conductividad (µS/cm) y sólidos totales disueltos (ST) tuvieron valores con menor aporte en la varianza en un 27.34 %.

Discusión

Las turberas de altura en Costa Rica son sistemas lénticos que se caracterizan por ser sitios de poca profundidad, semipermanentes y con niveles bajos de oxígeno, lo que esto podría atribuirse a la baja diversidad de familias y especies halladas. Según los resultados, las familias más representativas fueron Chironomidae y Hyalellidae, lo que concuerda con lo reportado por Hahn-vonHessberg et al. (2009), Posada-García et al. (2008) y Reyes-Morales (2013), que la presencia y abundancia de estas dos familias se debe a su tolerancia a aguas con niveles bajos de oxígeno, similares a las turberas en estudio.

Por otro lado, el uso de sustratos artificiales como método de recolecta, fue valioso debido a que las turberas estudiadas poseen poca profundidad, escaso flujo de agua y fondos fangosos, lo que permitió su utilización. En tres de los cuatro tipos de sustratos colocados, se evidenció una alta colonización de familias de macroinvertebrados, especialmente representados con mayor abundancia las familias Chironomidae y Hyalellidae en sustratos de hierbas, hojas y madera (Fig. 4).

Sin embargo, hay que tomar en cuenta que los sustratos pueden ser muy selectivos para el establecimiento de taxones y representar baja densidad y diversidad en la recolecta, ya que atraen más organismos bentónicos (Quesada-Alvarado & Solano-Ulate, 2020). Además, se resalta la importancia que posee esta investigación, como propuesta para el uso de sustratos artificiales, para estos casos, donde la información metodológica y biológica, es escasa. Por otra parte, Hernández-Villar et al. (1998) justifican su uso como método de recolecta, dado a que se ha demostrado su utilidad en aquellas zonas con problemas de contaminación, sitios profundos o cuando existen fondos fangosos y poco estables, esto último concuerda con las características de las turberas estudiadas.

Varios autores como Hernández-Villar et al. (1998), Pérez-Gómez et al. (2021), Padilla-García et al. (2021) y Quesada-Alvarado & Solano-Ulate (2020), reportan que los sustratos artificiales son colonizados por una variedad de familias y géneros de macroinvertebrados, sin embargo, la familia más abundante que coloniza es Chironomidae. Además, estos autores indican que los macroinvertebrados tienen la capacidad de colonizar rápidamente un sustrato, pero puede variar de acuerdo con las especies que habiten en un cuerpo de agua. Esto podría ser el motivo por el cual Chironomidae en este estudio obtuvo mayor abundancia y su presencia estuvo representada en todos los sitios estudiados.

Por otra parte, Chironomidae es considerada una de las familias de macroinvertebrados más abundantes en los ecosistemas acuáticos, pueden dominar áreas con amplios gradientes ambientales, en ocasiones son los únicos representantes que colonizan ambientes contaminados, y algunos representantes de esta familia se caracterizan por tener la capacidad de establecerse en una variedad de hábitats (Oviedo-Machado & Reinoso-Flores, 2018; Pérez-Gómez et al., 2021; Quesada-Alvarado & Solano-Ulate, 2020; Sierpe & Sunico, 2019). Esta familia juega un papel esencial en las redes tróficas y colonización de los cuerpos de agua. Son especialistas en consumir materia orgánica particulada, algas, hojas, madera y otros insectos acuáticos (Sierpe & Sunico, 2019). Algunos géneros de esta familia son considerados indicadores de condiciones ambientales particulares (Hernández-Villar et al., 1998).

La similitud en la riqueza y abundancia en la composición de macroinvertebrados encontrados en los sitios de estudio, podría estar relacionada a la poca profundidad y flujo de agua de las turberas, y a la vegetación asociada que produce sustratos que pueden ser altamente colonizados, a diferencia de otro tipo de sustratos como rocas y arena. Posada-García et al. (2008) y Hahn-von Hessberg et al. (2009), mencionan que en los cuerpos de agua lenticos existe poca variación de sustratos siendo mayormente de hoja y madera, lo que favorece una alta permanencia tanto espacial como temporal de los taxones en estos ecosistemas, situación similar encontrada en este trabajo.

En todas las turberas, las características fisicoquímicas del agua fueron variables. Se registraron valores promedios en los meses de muestreo, como: pH del agua bajo (mínimo 4.3 y máximo 5.23); la temperatura del agua (mínima 12.1 y máximo 16.62 oC); el porcentaje de oxígeno disuelto en agua (mínimo 1.74 y máximo 2.36); los sólidos totales (mínima 3.81 y máximo 13.48) y la conductividad (mínima 7.57 y máximo 26.76 μS/cm) (Tabla 3). Estas variaciones podrían obedecer a lo esperado para turberas de altura per se. Sin embargo, la falta de estudios de las características fisicoquímica del agua en este tipo de ecosistema, no permiten comparar estos resultados. Sin embargo, Carrasco et al. (2020); Molina et al. (2008); Moya et al. (2009); Oyague-Passuni & Maldonado-Fonkén (2015); Rivera-Usme et al. (2013), encontraron en ecosistemas altoandinos de Perú y Bolivia que los valores fisicoquímicos del agua de bofedales son altamente variables, debido a factores ambientales como menor presión atmosférica por la altitud, aporte pluvial, la naturaleza geológica, la composición química del agua, entre otros, lo que sucede de manera similar en las turberas.

En relación con los anterior, Sánchez-Murillo et al. (2022), estudiaron la composición química del agua, y determinaron que las turberas de altura de Costa Rica contienen altas concentraciones de materia orgánica en suelo y agua, altos niveles de carbono orgánico disuelto, lentas tasas de meteorización de la roca, y bajos efectos de la acción antropogénica local. Lo que permite entender que las turberas poseen las condiciones fisicoquímicas y ecológicas adecuadas del agua, que podrían favorecer el establecimiento de los diferentes taxones, además lo que explicaría una mayor presencia de familias de macroinvertebrados especialistas en consumir materia orgánica particulada.

Por otra parte, el oxígeno y el pH son los parámetros que condicionan la calidad del agua. En este trabajo se obtuvieron valores bajos en ambos parámetros, sin embargo, estos son considerados como medidas aceptables para turberas de altura. Varios autores como Molina et al. (2008), Mosquera-Restrepo & Peña-Salamanca, (2019) y Moya et al. (2009), reportaron para bofedales y turberas altoandinas, y ríos de alta montaña, valores bajos en el oxígeno y pH debido a la acumulación y descomposición de materia orgánica, y al proceso de oxidación orgánica. Esto coincide con los resultados de este trabajo y que además estas condiciones de bajo oxígeno y pH encontradas podrían estar relacionadas con la poca abundancia y diversidad de familias de macroinvertebrados.

Los resultados de ICA-NSF mostraron que el agua de las turberas se categoriza como agua de calidad media con respecto a los bajos niveles de oxígeno, pero esto podría reflejar las condiciones normales de estos ambientes de alta montaña (Molina et al., 2008). Por lo tanto, sería mejor establecer una escala propia de las turberas (para los parámetros fisicoquímicos) que puedan proporcionar una medición más acertada para estos ambientes.

Es importante mencionar que variables como coliformes fecales (de forma cuantitativa), DBO y fosfatos, no fueron incluidas en el cálculo del ICA-NSF. Sin embargo, a manera de referencia y comprobación de la existencia de coliformes fecales, se tomó para su análisis una muestra puntual de agua en una turbera, comprobándose que no existe contaminación de este tipo, aunque se debe incrementar el muestreo de coliformes para su verificación en el tiempo. Se sugiere que en trabajos posteriores se incluyan las variables faltantes como el DBO, DBQ, fosfatos, y otros. Por otro lado, se debe considerar que la aplicación del índice ICA-NSF para la calidad del agua en turberas de altura es relativamente nuevo, y se necesitan algunas modificaciones para su uso y aplicación.

Los resultados de la aplicación del índice BMWP-CR, no son concluyentes para este estudio, debido a que este índice no está diseñado para turberas de altura, ni contempla su monitoreo, por lo que los resultados obtenidos se pueden utilizar como referencia para justificar la necesidad de realizar una adaptación del índice a estos ambientes. En este estudio el índice BMWP-CR mostró categorías entre calidad regular, mala y critica, a pesar de tratarse de ambientes conservados sin fuentes de contaminación antropogénica. Esto pudo deberse a: i) la naturaleza de este ecosistema, ii) su composición fisicoquímica del agua, iii) la ausencia de ciertos taxones que usualmente evidencian una calidad buena del agua, pero que no se establecen en este tipo de ecosistema léntico con poco oxígeno, pH ácidos, temperaturas bajas del agua, y iv) a los sustratos utilizados como método de recolecta que se enfocan en la fauna bentónica y no incluyen taxones que viven en la columna de agua.

Por lo tanto, en este trabajo se evidencia que, aunque el índice BMWP-CR no es para este tipo de ecosistemas y no se debe usar, surge la necesidad de crear índices de calidad del hábitat o del estado de conservación del ecosistema, que sea más integral y que tome en cuenta los rasgos funcionales más que los niveles de tolerancia de los cuerpos de agua, debido a la naturaleza estructural de las turberas de altura (M. Springer, comunicación personal, 26 de agosto del 2022). Por lo que es de gran importancia diseñar metodologías e índices más robustos y adecuados para estos ecosistemas lenticos e intensificar los muestreos donde se utilicen una combinación de métodos de captura para comprobar la presencia de otros taxones que determinen la calidad del agua.

Por otra parte, es importante destacar que las investigaciones sobre la calidad del agua en turberas de altura son escasas, lo que limita realizar una comparación con sitios similares en el país. Sin embargo, es necesario recalcar que esta investigación es un esfuerzo exploratorio del cual se parte para visualizar las necesidades de diseñar metodologías e índices que evalúen la fauna acuática de las turberas de altura en Costa Rica. Finalmente, es necesario realizar estudios periódicos a una escala temporal de evaluación de la calidad del agua y su relación con la fauna de macroinvertebrados acuáticos para conocer su relación con el ecosistema y la dinámica de las turberas de altura. Esta información pueda servir de base para entender el estado ecológico de las turberas, debido a estos ecosistemas difieren de los conocidos en otros ambientes estudiados y se encuentran especialmente vulnerables ante los efectos de la variabilidad climática.

Declaración de ética: los autores declaran que todos están de acuerdo con esta publicación y que han hecho aportes que justifican su autoría; que no hay conflicto de interés de ningún tipo; y que han cumplido con todos los requisitos y procedimientos éticos y legales pertinentes. Todas las fuentes de financiamiento se detallan plena y claramente en la sección de agradecimientos. El respectivo documento legal firmado se encuentra en los archivos de la revista.

Agradecimientos

Nuestro especial agradecimiento a Monika Springer por su ayuda en la revisión y sus valiosos aportes al manuscrito, a Ricardo Sánchez Murillo del Grupo de Investigación de Isótopos Estables y Laboratorio de Manejo de Recursos Hídricos, Escuela de Química de la UNA-Costa Rica, Francisco Quesada Alvarado del Instituto Regional de Estudios en Sustancias Tóxicas (IRET) de la UNA-Costa Rica, al Programa de Laboratorios de la Universidad Estatal a Distancia (ProLab), y al Parque Nacional Los Quetzales-SINAC. Además, se agradece a Virginia Alvarado García por la ayuda en la elaboración del mapa. Así mismo a Yarenis Chavarría y Daniel Martínez Araya por su colaboración en el trabajo de campo.

Referencias

Bermúdez, M., & Sánchez, J. (2000). Identificación de vacíos de información Botánica en Centroamérica. Ediciones WWF Centroamérica. [ Links ]

Cadena, J. J., & Gómez-Torrado, R. D. (2016). Evaluación de la calidad del agua del río Tejo (Ocaña, Colombia) mediante macroinvertebrados acuáticos y parámetros fisicoquímicos. Ingenio, 9(1), 121-132. https://doi.org/10.22463/2011642X.2070 [ Links ]

Camacho-Reyes, J. A., & Camacho-Rozo, C. P. (2010). Aspectos sobre la historia natural de macroinvertebrados en esteros semipermanentes de la altillanura en el departamento de Casanare. Orinoquia, 14(S2), 71-82. https://doi.org/10.22579/20112629.92 [ Links ]

Carrasco, C., Rayme, C., Alarcón, R. P., Ayala, Y., Arana, J., & Aponte, H. (2020). Macroinvertebrados acuáticos en arroyos asociados con bofedales altoandinos, Ayacucho Perú. Revista de Biología Tropical, 68(S2), S116-S131. [ Links ]

Chaverri, A., & Cleef, A. (1996). Las comunidades vegetacionales en los páramos de los macizos del Chirripó y Buenavista, Cordillera de Talamanca, Costa Rica. Revista Forestal Centroamericana, 15(5), 44-49. [ Links ]

Gastezzi-Arias, P., Martínez-Araya, D., & Jones-Román, G. (2021). Distribución altitudinal de la riqueza y diversidad de aves en turberas de altura, Costa Rica. UNED Research Journal, 13(2), e3716. https://doi.org/10.22458/urj.v13i2.3716 [ Links ]

González, V., Caicedo, O., & Aguirre, N. (2013). Aplicación de los índices de calidad de agua NSF, DINIUS y BMWP en la quebrada La Ayurá, Antioquia, Colombia. Revista Gestión y Ambiente, 16(1), 97-107. [ Links ]

Hahn-von Hessberg, C., Toro, D., Grajales-Quintero, A., Duque-Quintero, G., & Serna-Uribe, L. (2009). Determinación de la calidad del agua mediante indicadores biológicos y fisicoquímicos, en la estación piscícola. Boletín Científico Museo Historia Natural, 13(2), 89-105. [ Links ]

Hernández-Villar, R., Rueda-Sevilla., J., Tapia, G., & Martínez-López, F. (1998). Efectividad de los sustratos artificiales para el muestreo de macroinvertebrados en ríos. Ecología, 12(1), 151-166. [ Links ]

Herranz-Sanz, J. M., & González del Tánago, M. (1986). La colonización de los substratos artificiales por macroinvertebrados bénticos en las aguas del alto Tajo: Comparación de métodos de muestreo. Limnetica, 2(1), 163-171. [ Links ]

Kapelle, M., & Horn, S. P. (2005). Páramos de Costa Rica. Editorial INBio. [ Links ]

Lê, S., Josse, J., & Husson, F. (2008). FactoMineR: An R Package for Multivariate Analysis. Journal of Statistical Software, 25(1), 1-18. https://doi.org/10.18637/jss.v025.i01 [ Links ]

Molina, C. I., Gibon, F. M., Pinto, J., & Rosales, C. (2008). Estructura de macroinvertebrados acuáticos en un río altoandino de la cordillera real, Bolivia: variación anual y longitudinal en relación a factores ambientales. Ecología Aplicada, 7(1-2), 106-116. https://doi.org/10.21704/rea.v7i1-2.365 [ Links ]

Mosquera-Restrepo, D., & Peña-Salamanca, E. J. (2019). “Ensamblaje” de macroinvertebrados acuáticos y su relación con variables fisicoquímicas en un río de montaña en Colombia. Revista Biología Tropical, 67(6), 1235-1246. http://dx.doi.org/10.15517/rbt.v67i6.30842 [ Links ]

Moya, N., Gibon, F. M., Oberdorff, T., Rosales, C., & Domínguez, E. (2009). Comparación de las comunidades de macroinvertebrados acuáticos en ríos intermitentes y permanentes del altiplano boliviano: Implicaciones para el futuro cambio climático. Ecología Aplicada, 8(2), 105-114. https://doi.org/10.22458/urj.v8i1.1225 [ Links ]

Oksanen, J., Blanchet, F. G., Friendly, M., Kindt, R., Legendre, P., McGlinn, D., Minchin, P. R., O'Hara, R. B., Simpson, G. L., Solymos, P., Stevens, M. H., Szoecs, E., & Wagner, H. (2017). Vegan: Community Ecology Package (R package Version 2.4-3). https://CRAN.R-project.org/package=veganLinks ]

Oram, B. (2013). Monitoring the Quality of Surface Waters (WQI Calculator). Recuperado de: https://water-research.net/index.php/water-treatment/water-monitoring/monitoring-the-quality-of-surfacewatersLinks ]

Oviedo-Machado, N., & Reinoso-Flores, G. (2018). Aspectos ecológicos de larvas de Chironomidae (Diptera) del río Opia (Tolima, Colombia). Colombiana de Entomología, 44(1), 101-109. https://doi:10.25100/socolen.v44i1.6546 [ Links ]

Oyague-Passuni, E., & Maldonado-Fonkén, M. S. (2015). Relationships between aquatic invertebrates, water quality and vegetation in an Andean peatland system. Mires and Peat, 15(14). [ Links ]

Pacheco, B., & Rodríguez, L. M. (2015). Macroinvertebrados de la cuenca del Río Reventazón y uso para determinar la calidad biológica del agua. Instituto Costarricense de Electricidad. [ Links ]

Padilla-García, C. A., Tamaris-Turizo, C. E., & Sierra-Labastidas, T. K. (2021). Colonización por macroinvertebrados acuáticos en dos sustratos en un río de la Sierra Nevada de Santa Marta, Colombia. Caldasia, 44(3). https://doi.org/10.15446/caldasia.v44n3.94127 [ Links ]

Pérez-Gómez, G., Alvarado-García, V., Rodríguez-Rodríguez, J. A., Herrera, F., & Sánchez-Gutiérrez, R. (2021). Calidad fisicoquímica y microbiológica del agua superficial en el río Grande de Tárcoles, Costa Rica: un enfoque ecológico. UNED Research Journal, 13(1), e3148. https://doi.org/10.22458/urj.v13i1.3148 [ Links ]

Posada-García, J. A., Abril-Ramírez, G., & Parra-Sánchez, L. N. (2008). Diversidad de los macroinvertebrados acuáticos del Páramo de Frontino (Antioquia, Colombia). Caldasia, 30(2), 441-455. [ Links ]

Poder Ejecutivo. (2007, 17 de setiembre). Decreto Ejecutivo N°33903-MlNAE-S. Reglamento para la Evaluación y Clasificaci6n de la Calidad de Cuerpos de Agua Superficiales. Diario Oficial La Gaceta 178. https://faolex.fao.org/docs/pdf/cos74387.pdfLinks ]

Prat, N., Ríos, B., Acosta, R., & Rieradevall, M. (2009). Los macroinvertebrados como indicadores de calidad de las aguas. En E. Domínguez, & H. R. Fernández (Eds.), Macroinvertebrados bentónicos sudamericanos. Sistemática y Biología (pp. 631-654). Fundación Miguel Lillo. [ Links ]

Quesada-Alvarado, F., & Solano-Ulate, D. (2020). Colonización de macroinvertebrados acuáticos en tres tipos de sustratos artificiales, en un río tropical. Revista de Biología Tropical, 68(S2), S68-S78. http://doi.org/10.15517/RBT.V68IS2.44339 [ Links ]

Quesada-Alvarado, F., Umaña-Villalobos, G., Springer, M., & Picado-Barboza, J. (2020). Variación estacional y características fisicoquímicas e hidrológicas que influyen en los macroinvertebrados acuáticos, en un río tropical. Revista de Biología Tropical, 68(S2), S54-S67. https://doi.org/ 10.15517/RBT.V68IS2.44332 [ Links ]

Ramírez, A. (2010). Métodos de Recolecta. Revista de Biología Tropical, 58(4), 41-50. [ Links ]

Reyes-Morales, F. (2013). Macroinvertebrados acuáticos de los cuerpos lénticos de la Región Maya, Guatemala. Científica, 23(1), 7-16. https://doi.org/10.54495/Rev.Cientifica.v23i1.107 [ Links ]

Rivera-Usme, J. J., Pinilla-Agudelo, G. A., & Rangel-Churio, J. O. (2013). Ensamblaje de macroinvertebrados acuáticos y su relación con las variables físicas y químicas en el humedal de Jaboque-Colombia. Caldasia, 35(2), 389-408. [ Links ]

Roldan, G. (2003). La Bioindicación de la calidad del agua en Colombia: Propuesta para el uso del método BMWP-Col. Editorial Universidad de Antioquia. [ Links ]

Roldán-Pérez, G. (2016). Los macroinvertebrados como bioindicadores de la calidad del agua: cuatro décadas de desarrollo en Colombia y Latinoamérica. Academia Colombiana de Ciencias Exactas Físicas y Naturales, 40(155), 254-274. http://dx.doi.org/10.18257/raccefyn.335 [ Links ]

Sánchez-Murillo, R., Gastezzi-Arias, P., Sánchez-Gutiérrez, R., Esquivel-Hernández, G., Pérez-Salazar, R., & Poca, M. (2022). Exploring dissolved organic carbon variations in a high elevation tropical peatland ecosystem: Cerro de la Muerte, Costa Rica. Frontiers in Water, 3(742780). https://doi.org/10.3389/frwa.2021.742780 [ Links ]

Sierpe, C., & Sunico, A. (2019). Familia Chironomidae (Orden Díptera) utilizada como bioindicador para la determinación de calidad ambiental de la cuenca del Río Gallegos (Santa Cruz, Argentina). Informes Científicos Técnicos - UNPA, 11(2), 92-105. https://doi.org/10.22305/ict-unpa.v11i2.789 [ Links ]

Springer, M. (2010). Trichoptera. Macroinvertebrados de agua dulce de Costa Rica I. Revista de Biología Tropical, 58(S4), 151-198. [ Links ]

Torres, P., Cruz, C. H., & Patiño, P. J. (2009). Índices de calidad de agua en fuentes superficiales utilizadas en la producción de agua para consumo humano: Una revisión crítica. Revista Ingenierías Universidad de Medellín, 8(15), 79-94. [ Links ]

Trama, F. A., Rizo-Patrón, V., & Springer, M. (2009). Macroinvertebrados bentónicos del humedal de Palo Verde, Costa Rica. Revista de Biología Tropical, 57(1), 275-284. [ Links ]

Wickham, H. (2016). ggplot2: Elegant Graphics for Data Analysis. Springer-Verlag New York. https://ggplot2.tidyverse.org. [ Links ]

Zhen-Wu, B. Y. (2010). Índices de calidad del agua en la cuenca del arroyo Victoria, Guanacaste, Costa Rica (2007-2008). UNED Research Journal, 2(1), 45-61. https://doi.org/10.22458/urj.v2i1.221. [ Links ]

Recibido: 15 de Mayo de 2023; Revisado: 25 de Julio de 2023; Aprobado: 19 de Octubre de 2023

Creative Commons License Este es un artículo publicado en acceso abierto bajo una licencia Creative Commons