Introducción
En el sureste de México, la selva baja inundable es una de las formaciones vegetales propias de la región (Tun-Dzul, Vester, Durán-García, & Schmook, 2008). Al variar la especie dominante dentro de esta asociación vegetal, puede denominarse con diferentes nombres (Tun-Dzul et al., 2008). Una de las especies características dentro la selva baja inundable es el palo de tinte (Haematoxylum campechianum L.), que en ocasiones es la especie dominante y forma grupos densos conocidos como tintales.
El uso contemporáneo más reconocido de esta especie es la extracción de hematoxilina como colorante para tinción celular en microscopía (Chan, 2014). Además, se utiliza para obtener carbón vegetal y para hacer postes por la dureza y resistencia de su madera. A pesar del valor histórico, económico y cultural del palo de tinte, se conoce muy poco sobre la ecología de esta especie y la biodiversidad que se puede encontrar en el tintal (Zimmerman & Olmsted, 1992; Santiago-Alarcón, 2003).
Por sus características estructurales y por las condiciones de las áreas en las cuales se desarrolla, el tintal podría ser considerado un hábitat crítico para el desarrollo de muchas especies animales (Santiago-Alarcón, 2003; González Marín, Gallina, Mandujano, & Weber, 2008). Desde el punto de vista estructural, el tintal puede ofrecer a varias especies un hábitat con condiciones favorables, ya que presenta espacios abiertos que permiten la movilidad en su interior, así como sitios de alimentación, refugio y descanso. Además, este tipo de vegetación se asocia a sitios con presencia de fuentes de agua que pueden ser permanentes o temporales (González Marín et al., 2008).
En varias áreas del sureste de México, el agua es un recurso limitante para las especies animales, ya que solo puede ser obtenida en aquellos sitios donde se acumula durante las lluvias (Reyna-Hurtado et al., 2010), como es el caso de los desarrollados en tintales. Dentro de algunos potreros ganaderos, en el sureste mexicano, se dejan fragmentos de tintal para que los bovinos se protejan del sol (Plasencia-Vázquez, Villegas, Ferrer-Sánchez, & Zamora-Crescencio, 2017), por lo que pueden funcionar como pequeños refugios para la fauna.
Los murciélagos frugívoros están entre las especies que más aportan a la recuperación de la vegetación en zonas alteradas del sureste de México (Castro-Luna & Galindo-González, 2012a; Oporto, Arriaga-Weiss, & Castro-Luna, 2015), ya que incluyen en su dieta a diferentes especies de plantas características de distintos estadios de sucesión secundaria (Olea-Wagner, Lorenzo, Naranjo, Ortiz, & León-Paniagua, 2007; Castro-Luna & Galindo-González, 2012b; García-Morales, Chapa-Vargas, Galindo-González, & Badano, 2012). Algunas especies, como los murciélagos carnívoros, son buenos indicadores del estado de conservación de las selvas, ya que generalmente se asocian a áreas conservadas (Gonçalves, Fischer, & Dirzo, 2017). El gremio de los murciélagos insectívoros es el que presenta la mayor riqueza de especies en el Neotrópico, tanto a nivel global como local (Fenton & Simmons, 2014).
Por estas razones, los murciélagos pueden ser uno de los grupos más interesantes para estudiar dentro de los tintales, dadas las características de esta formación vegetal que podrían favorecer su presencia. El objetivo de esta investigación fue describir la diversidad local y regional de la quiropterofauna presente en tintales de diferentes áreas del sureste mexicano. Nuestros resultados pueden ser utilizados como una línea base para estudios más específicos sobre los patrones de uso de este tipo de selva por los murciélagos.
Materiales y métodos
Área de estudio: La investigación se llevó a cabo en ocho tintales del sureste de México, en los estados de Campeche y Tabasco. En Campeche se trabajó en las localidades de Atasta (18°39’44.35” N & 92°9’50.77” O), El Aguacatal (18º35’59.028” N & 92º24’6.03” W), Las Bodegas (18º16’15.77” N & 92º0’14.33” W), La Toza (18º9’43.70” N & 92º7’43.80” W), Corralitos (18º15’25.70” N & 91º49’35.90” W) y en Oxpemul (18º18’46.29” N & 89º46’48.34” W). En Tabasco, las localidades fueron Tres Brazos (18º17’40.09” N & 92º39’19.85” W) y Chichicastle (18º18’41.38” N & 92º26’20.98” W). Las localidades se seleccionaron en función de que fueran fragmentos de vegetación conservada o perturbada accesibles (desde el punto de vista logístico y de seguridad) dentro del área de estudio, en donde la especie mejor representada fuera Haematoxylum campechianum (más del 40 % de la vegetación arbórea), para que fácilmente pudiera considerarse como un tintal (Tun-Dzul et al., 2008; Chablé-Vega et al., 2019). Otra característica que se empleó para identificar que fuera un tintal fue que el suelo estuviese cubierto por una capa de hojas de H. campechianum, lo cual es propio de esta formación vegetal.
Solo el tintal de Oxpemul se encontraba en un área conservada, rodeado de selva mediana subperennifolia (Zamora-Crescencio et al., 2012). Los restantes se localizaron en áreas con diferente grado de intervención antrópica. En Atasta, el tintal se localizaba dentro de los humedales del Área de Protección de Flora y Fauna Laguna de Términos, entre un canal artificial de Petróleos Mexicanos (PEMEX) y el manglar, muy cerca de un camino que comunica a la zona costera y que es mayormente utilizado por pescadores locales y trabajadores de PEMEX. Por otro lado, en Tres Brazos, el tintal estaba dentro de un potrero a la orilla del río Grijalva. El Aguacatal se ubicaba en un área donde predomina la vegetación secundaria y tintales en una zona de humedales con cuerpos de agua. El tintal en Las Bodegas también se encontraba rodeado por potreros y por pequeños asentamientos humanos con presencia de frutales y otras especies de plantas en los patios de las casas, a la orilla de la carretera por la ribera del río Palizada. En La Toza, había áreas sin vegetación aparente y vegetación acuática, con un predominio de selva baja con representación de tintales. En Corralitos, se encontraban zonas con selva mediana subperennifolia, áreas sin vegetación aparente, tintales, palmares, pastizales, popales y acahuales. Finalmente, en Chichicastle se localizaban áreas sin vegetación aparente y vegetación acuática y con presencia de selva baja inundable e hidrófitas.
Muestreos: Los muestreos se realizaron de agosto 2014 a febrero 2017 y se accedió a cada localidad en una sola visita durante todo el tiempo que se cubrió la investigación. En cada localidad se colocaron seis redes de niebla a nivel de suelo (12 m largo x 2.6 m alto) durante tres noches consecutivas, las cuales fueron abiertas al oscurecer por un lapso de cinco horas con revisiones cada media hora. Se evitó realizar los muestreos durante la fase de luna llena para reducir el sesgo por fobia lunar (Santos-Moreno, Ruiz Velásquez, & Sánchez Martínez, 2010).
A los individuos capturados, para su identificación, se les midió la longitud del antebrazo (con un calibrador vernier de 0.5 mm de precisión) y se consideraron otros caracteres diagnósticos como la estructura y el número de dientes (con apoyo de una lupa). La determinación a nivel de especie se basó en las claves de Medellín, Arita y Sánchez (2008) y Álvarez-Castañeda, Álvarez y González-Ruiz (2015). Los cambios nomenclaturales y el arreglo taxonómico se basaron en los trabajos de González-Ruiz, Ramírez-Pulido y Arroyo-Cabrales (2011); Ramírez-Pulido, González-Ruiz, Gardner y Arroyo-Cabrales (2014), Baird y colaboradores (2015) y Baker, Solari, Cirranello y Simmons (2016). Para evitar registros duplicados de los individuos, antes de ser liberados se le marcaron las uñas con esmalte de un color diferente cada noche.
Análisis de datos: Para cada individuo capturado se identificó el gremio trófico al cual pertenecía (Simmons & Voss, 1998; Fenton et al., 1999), así como su categoría de amenaza según la Unión Internacional para la Conservación de la Naturaleza (UICN) o la Norma Oficial Mexicana NOM-059-SEMARNAT-2010. Para cada una de las localidades, se obtuvo una curva de acumulación de especies general basada en muestras para comprobar la suficiencia de los muestreos para la región. Adicionalmente, se calcularon los estimadores no paramétricos de riqueza de especies Jacknife1 y Boostrap con 9999 permutaciones (Gotelli & Colwell, 2011).
La riqueza esperada de especies para la región fue calculada a partir de estos estimadores no paramétricos, pues son hasta ahora los que tienen el mejor desempeño en comparaciones empíricas, además de ser simples, intuitivos y fáciles de usar (Gotelli & Colwell, 2001). Para comparar la riqueza de especies capturadas en redes en cada localidad, fueron interpoladas y extrapoladas las curvas de rarefacción al número mínimo y al máximo de individuos recolectados en una localidad (Hurlbert, 1971; Heck, van Belle, & Simberloff, 1975). Esto permite comparar localidades con diferente número de individuos recolectados. El método empleado fue propuesto por Chao & Jost (2012) y también permite calcular la completitud del muestreo. Esta última medida está dada por la relación entre el número de especies en la asíntota de las curvas de rarefacción y el número de especies encontrada en cada localidad y, según estos autores, permite una mejor comparación entre comunidades con igual completitud de muestreo en vez de la comparación tradicional entre comunidades con igual número de muestras.
Con los valores de abundancia proporcional, se elaboraron las curvas de rango de abundancia para cada localidad, las cuales permiten analizar la riqueza de especies, sus abundancias proporcionales, la equidad y la secuencia de cada una dentro de la comunidad (Feinsinger, 2003). Para cada localidad se calcularon los índices de diversidad verdadera (Jost, 2006; Ellison, 2010) y el índice de equitatividad de Hill (Hill, 1973), el cual no está influenciado por la riqueza de especies como el índice más comúnmente usado de equitatividad de Pielou (J’). Aunque se ha cuestionado ampliamente la eficacia de cualquier índice (Feinsinger, 2003), siguen siendo útiles en algunos casos para comparar muestreos estandarizados en estudios puntuales (Moreno, Barragán, Pineda, & Pavón,2011; Chao & Jost, 2012) y relacionar la diversidad de especies o la diversidad funcional con otros elementos en los ecosistemas.
Entre las ocho localidades se calcularon dos matrices de similitud: una que tiene en cuenta la abundancia de cada especie (índice de similitud de BrayCurtis) y otra que solo toma en cuenta su presencia o ausencia (índice de similitud de Sørensen). Una vez obtenidas las matrices de similitud, se elaboró un dendrograma usando un algoritmo donde cada nodo tiene la similitud promedio de todos los nodos subsecuentes (UPGMA). Además, se hizo una prueba de correlación de Mantel entre ambas matrices de similitud y la distancia geográfica (distancia entre el centroide de una localidad con respecto al de otra) con el fin de evaluar si la similitud entre los ensambles estaba relacionada con la cercanía entre ellas (Manly, 1986). Para todos los análisis se usaron los paquetes vegan (Oksanen et al., 2017), iNEXT (Hsieh, Ma, Chao, & McInerny, 2016) y BiodiversityR (Kindt & Coe, 2005) de la librería base del programa estadístico R (R Core Team, 2017).
Resultados
Riqueza de la quiropterofauna: En total se registraron 25 especies de murciélagos pertenecientes a cinco familias. Phyllostomidae fue la que reunió un mayor número (N = 16 especies), seguida por Vespertilionidae (Tabla 1). Artibeus lituratus fue la especie mejor representada espacialmente, ya que se reportó en siete de las ocho localidades muestreadas, seguida por A. jamaicensis que se registró en seis (Tabla 1). Otras diez especies fueron capturadas en una sola localidad. Oxpemul y Atasta fueron las que tuvieron la mayor cantidad de especies únicas (Tabla 1).
TABLA 1 TABLE 1 Especies de murciélagos y número de individuos registrados durante los muestreos realizados en tintales de ocho localidades del sureste de México Bat species and number of individuals registered during the sampling carried out in eight locations with “tintales” in Southeastern Mexico
| ID | Especie - Abreviatura | Familia | Gremio | LB | TB | EA | LT | C | Ch | A | O | Total |
| 1 | Rhynchonycteris naso(Wied-Neuwied, 1820) - Rna | Insectívoro | - | - | 3 | - | 1 | - | - | - | 4 | |
| 2 | Saccopteryx bilineata(Temminck, 1838) - Sbi | Emballonuridae | Insectívoro | - | - | - | - | - | - | 12 | 1 | 13 |
| 3 | Molossus molossus(Pallas, 1766) - Mmo | Insectívoro | - | 15 | - | - | - | 1 | - | - | 16 | |
| 4 | Molossus sinaloaeJ. A. Allen, 1906 - Msi | Molossidae | Insectívoro | - | - | - | - | - | 1 | - | - | 1 |
| 5 | Pteronotus parnelliiGray, 1843 - Ppa | Mormoopidae | Insectívoro | - | - | - | - | - | - | - | 2 | 2 |
| 6 | Artibeus jamaicensis Leach, 1821 - Aja | Frugívoro | - | 1 | 2 | 4 | - | 3 | 1 | 54 | 65 | |
| 7 | Artibeus lituratus (Olfers, 1818) - Ali | Frugívoro | 1 | - | 7 | 26 | 2 | 3 | 1 | 7 | 47 | |
| 8 | Carollia perspicillata(Linnaeus, 1758) - Cpe | Frugívoro | - | - | 4 | 6 | - | - | - | - | 10 | |
| 9 | Carollia sowelli Baker, Solari & Hoffmann, 2002 - Cso | Frugívoro | - | - | - | 4 | - | - | 1 | 2 | 7 | |
| 10 | Centurio senexGray, 1842 - Cse | Frugívoro | - | - | - | - | - | - | - | 2 | 2 | |
| 11 | Choeroniscus godmani(Thomas, 1903) - Cgo | Nectarívoro | - | 2 | - | - | - | - | - | - | 2 | |
| 12 | Dermanura phaeotis Miller, 1902 - Dph | Frugívoro | - | - | - | - | - | - | 1 | 26 | 27 | |
| 13 | Desmodus rotundus (É. Geoffroy, 1810) - Dro | Hematófago | - | - | 1 | - | 4 | - | 6 | 1 | 12 | |
| 14 | Diphylla ecaudataSpix, 1823 - Dec | Hematófago | - | - | - | - | - | - | - | 2 | 2 | |
| 15 | Glossophaga soricina (Pallas, 1766) - Gso | Nectarívoro | 50 | - | - | 20 | 2 | - | 14 | 2 | 88 | |
| 16 | Lophostoma brasiliense(Peters, 1867) - Lbr | Insectívoro | 3 | - | - | - | 1 | - | - | - | 4 | |
| 17 | Mimon cozumelaeGoldman, 1914 - Mco | Carnívoro | - | - | - | - | - | - | - | 2 | 2 | |
| 18 | Gardnerycteris crenulatum (É. Geoffroy, 1810) - Gcr | Insectívoro | - | - | - | - | - | - | 1 | - | 1 | |
| 19 | Sturnira parvidens Goldman, 1917 - Spa | Frugívoro | - | - | - | 3 | - | - | - | - | 3 | |
| 20 | Trachops cirrhosus(Spix, 1823) - Tci | Carnívoro | 1 | - | 2 | - | - | - | - | - | 3 | |
| 21 | Vampyressa thyoneThomas, 1909 - Vth | Phyllostomidae | Frugívoro | - | - | - | - | - | - | - | 13 | 13 |
| 22 | Eptesicus furinalis(D’Orbigny & Gervais, 1847) - Efu | Insectívoro | - | 2 | - | - | 1 | 3 | - | - | 6 | |
| 23 | Dasypterus ega (Gervais, 1856) - Deg | Insectívoro | - | - | - | - | - | - | 1 | - | 1 | |
| 24 | Myotis keaysiJ. A. Allen, 1914 - Mke | Insectívoro | - | - | - | - | - | - | 1 | - | 1 | |
| 25 | Rhogeessa tumida H. Allen, 1866 - Rtu | Vespertilionidae | Insectívoro | - | 1 | 1 | 1 | 2 | - | 6 | - | 11 |
| Total | 55 | 21 | 20 | 64 | 13 | 11 | 45 | 114 | 343 |
Localidades: LB: Las Bodegas, TB: Tres Brazos, EA: El Aguacatal, LT: La Toza, C: Corralitos, Ch: Chichicastle, A: Atasta y O: Oxpemul / Locations: LB: Las Bodegas, TB: Tres Brazos, EA: El Aguacatal, LT: La Toza, C: Corralitos, Ch: Chichicastle, A: Atasta y O: Oxpemul.
Gremios tróficos y categorías de amenaza: El 44 % de las especies de murciélagos registradas se clasificaron como insectívoras, el 32 % frugívoras y, como nectarívoras, hematófagas y carnívoras, 8 % cada una (Tabla 1). Las especies insectívoras estuvieron mejor representadas en cuatro de las localidades muestreadas. Mientras tanto, los frugívoros fueron mayoría en tres. Por otra parte, el sitio restante presentó una especie para cada gremio con excepción de los hematófagos (Tabla 1). De acuerdo con los criterios de la Norma Oficial Mexicana NOM-059-SEMARNAT-2010, cuatro de las especies muestreadas están amenazadas (Lophostoma brasiliense, Mimon cozumelae, Gardnerycteris crenulatum y Trachops cirrhosus) y una está sujeta a protección especial (Rhynchonycteris naso). Según la IUCN (Unión Internacional para la Conservación de la Naturaleza), todas las especies registradas son de preocupación menor.
Estimadores de riqueza y completitud de muestreo: La curva de acumulación de especies para toda la región, tomando en cuenta los sitios como unidades muestreales, no llegó a la asíntota, lo cual significa que los muestreos fueron insuficientes para registrar la totalidad de las especies presentes en el área de estudio. Al extrapolar los estimadores no paramétricos a la asíntota, se obtuvo que la riqueza de especies esperada para las localidades muestreadas en conjunto varió entre 29.53 ± 3.04 para Bootstrap hasta 34.62 ± 5.58 para Jackknife 1, lo que permite afirmar que, según estos modelos, se calcularon entre el 71 y el 83 % de las especies estimadas para la región.
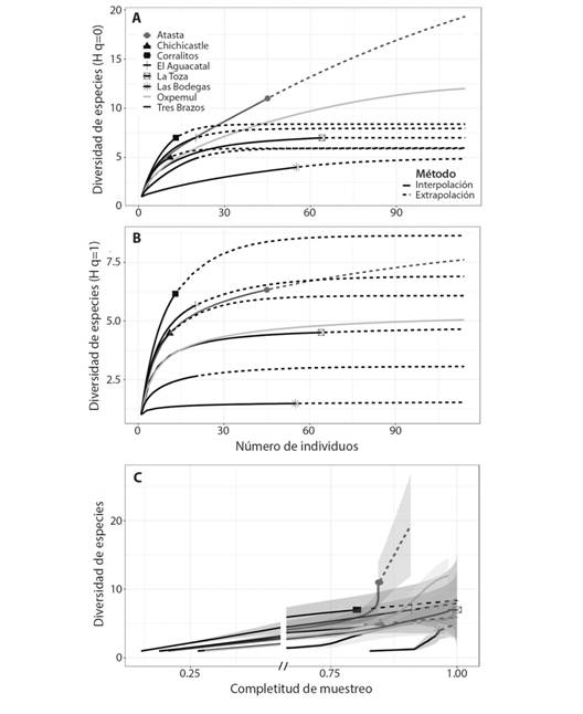
La riqueza de especies observada fue menor en Las Bodegas (N = 4) y mayor en Oxpemul (N = 12) (Tabla 2). Este parámetro fue comparado entre localidades utilizando la interpolación y extrapolación de las curvas de rarefacción (Fig. 1A y Fig. 1B). En este caso, el número de especies estimado con el mismo esfuerzo de muestreo (11 individuos capturados) fue mayor en Corralitos, Tres Brazos y La Toza (Tabla 2). Al usar el método de Jost (2006) de extrapolación de las curvas de rarefacción (114 individuos), Atasta y Oxpemul fueron las que experimentaron la mayor riqueza de especies esperada, mientras que Las Bodegas, Tres Brazos y Chichicastle presentaron la menor riqueza (Fig. 1A).

Fig. 1 Fig. 1 Curvas de rarefacción (segmentos sólidos) y extrapolación (parte punteada) de los muestreos en cada localidad basadas en A: el número de Hill de orden 0 y B: primer orden construidas a partir de los datos de abundancia en cada una de las localidades. C: Curvas de completitud del muestreo y sus intervalos de confianza (0.95) basadas en la extrapolación del estimador de diversidad H q=0. Rarefaction curves (solid segments) and extrapolation (dotted part) of the samples in each location, based on A: the Hill number of order 0 and B: first order, elaborated from the abundance data in each of the localities. C: sampling completeness curves and their confidence intervals (0.95) based on the extrapolation of the diversity estimator H q = 0.
TABLA 2 TABLE 2 Índices de diversidad calculados con los datos de especies de murciélagos registradas en ocho localidades con tintales en el sureste de México Diversity index calculated with the bat species data recorded in eight localities with “tintales” in Southeastern Mexico
| Localidades/Índices | Shannon H’ (Log e)(nits) | Pielou (J’) | Hill q = 0 (Sobs) | Hill q = 1 | Hill q = 2 | Abundancia | Riqueza esperada (N = 11) | S.chao1 | SE.chao1 | S.ACE | SE.ACE | EHi = N2/N1 | SC | SC.LCL | SC.UCL |
| Las Bodegas | 0.39 | 0.28 | 4.00 | 1.48 | 1.20 | 55.00 | 1.90 | 5.00 | 2.17 | 7.67 | 1.11 | 0.81 | 0.96 | 0.94 | 0.99 |
| Tres Brazos | 0.98 | 0.61 | 5.00 | 2.66 | 1.88 | 21.00 | 3.62 | 5.33 | 0.91 | 7.00 | 1.21 | 0.71 | 0.91 | 0.83 | 1.00 |
| El Aguacatal | 1.73 | 0.89 | 7.00 | 5.66 | 4.76 | 20.00 | 5.62 | 7.33 | 0.91 | 8.47 | 1.15 | 0.84 | 0.91 | 0.82 | 1.00 |
| La Toza | 1.51 | 0.77 | 7.00 | 4.51 | 3.55 | 64.00 | 4.37 | 7.00 | 0.46 | 7.33 | 1.21 | 0.79 | 1.00 | 0.98 | 1.02 |
| Corralitos | 1.82 | 0.93 | 7.00 | 6.16 | 5.45 | 13.00 | 6.50 | 7.75 | 1.41 | 9.30 | 1.53 | 0.88 | 0.80 | 0.58 | 1.03 |
| Chichicastle | 1.50 | 0.93 | 5.00 | 4.48 | 4.17 | 11.00 | 5.00 | 6.00 | 2.20 | 6.11 | 1.09 | 0.93 | 0.85 | 0.69 | 1.01 |
| Atasta | 1.85 | 0.77 | 11.00 | 6.33 | 4.83 | 45.00 | 5.35 | 32.00 | 17.26 | 32.88 | 2.49 | 0.76 | 0.85 | 0.76 | 0.93 |
| Oxpemul | 1.62 | 0.65 | 12.00 | 5.05 | 3.39 | 114.00 | 4.52 | 12.14 | 0.48 | 13.56 | 1.81 | 0.67 | 0.93 | 0.91 | 0.95 |
Índice de diversidad de Shannon, de equitatividad de Pielou, números de Hill de orden 0, de primer y segundo orden, riqueza esperada según interpolación de la rarefacción a 11 individuos, riqueza esperada en cada comunidad según los estimadores no paramétricos Chao1 y ACE y sus errores estándar (SE), equitatividad de Hill (EHi) y completitud del muestreo con límites de confianza superior (SC.LCL) e inferior (SC.UCL).
Shannon diversity index, Pielou’s fairness, Hill numbers of order 0, first and second order, expected wealth according to the interpolation of rarefaction to 11 individuals, expected wealth in each community according to non-parametric estimators Chao1 and ACE and their standard errors (SE), Hill equitability (EHi) and completeness of sampling with upper (SC.LCL) and lower (SC.UCL) confidence limits.
Estos datos no son los mismos cuando se toma en cuenta la diversidad de segundo orden, donde Corralitos, El Aguacatal y Atasta fueron las más diversas teniendo en cuenta las veces que se capturan en cada localidad individuos únicos de una especie (singletons) (Fig. 1B). Estos datos, por la forma del cálculo, también están relacionados con la completitud de los muestreos que es menor para Corralitos, Chichicastle y Atasta (Fig. 1C). Por su parte, la Toza y Las Bodegas fueron las localidades más completamente muestreadas.
Abundancia de la quiropterofauna: En las curvas de rango de abundancia se observaron varias especies raras, principalmente en Atasta y Oxpemul (Fig. 2). En general, las pendientes fueron pronunciadas, lo cual denota que no hubo equitatividad en los ensamblajes. Los índices de Pielou (J´) y de equitatividad de Hill indican que los ensamblajes más equitativos fueron Corralitos, Chichicastle y El Aguacatal. Las localidades con ensamblajes menos equitativos fueron Las Bodegas y Tres Brazos (Fig. 2). Glossophaga soricina resultó ser la especie con mayor abundancia de forma general, seguida por A. jamaicensis y A. lituratus (Fig. 2). Estas tres especies fueron las que con mayor frecuencia aparecieron en la parte superior de las curvas (Fig. 2). Los ensamblajes más diversos en términos de índices de diversidad, que toman en cuenta riqueza y equitatividad, fueron Atasta, Corralitos y El Aguacatal, mientras que los menos diversos fueron Las Bodegas y Tres Brazos (Tabla 2).

Fig. 2 Fig. 2 Curvas de rango abundancia de las especies de murciélagos registradas en ocho localidades con tintales en el sureste de México. En la Tabla 1 se presentan los nombres científicos correspondientes a cada abreviatura. Abundance range curves of bat species recorded in eight locations with “tintales” in Southeastern Mexico. Table 1 shows the scientific names corresponding to each abbreviation.
Similitudes entre las localidades: Teniendo en cuenta los resultados del índice de similitud de Bray-Curtis (abundancia de las especies), se formaron tres agrupaciones: una en la que Oxpemul se separa del resto de las localidades, otra en la que se agrupan Atasta, la Toza y Las Bodegas y una tercera que reúne a Tres Brazos, Corralitos, Chichicastle y El Aguacatal (Fig. 3A). Según el índice de Sørensen (presencia de las especies), Chichicastle y Tres Brazos formaron un grupo, mientras que las restantes localidades formaron otro grupo menos diferenciado. En este último grupo, Atasta y Oxpemul fueron más similares entre sí (Fig. 3B). Los resultados de las pruebas de correlación de Mantel entre la similitud de Bray Curtis o Sørensen y las distancias geográficas entre las comunidades (Tabla 3) muestran que la similitud entre las comunidades de murciélagos de las diferentes localidades no está relacionada con la cercanía geográfica entre ellas.

Fig. 3 Fig. 3 Dendrograma que agrupa a ocho localidades con tintales en el sureste de México, en relación con las especies de murciélagos que en ellas se registraron. A: con la similitud de Bray Curtis, tomando en cuenta la abundancia de las especies y B: con la similitud de Sørensen, tomando en cuenta la presencia de especies compartidas y exclusivas en cada localidad. Dendrogram that groups eight locations with “tintales” in Southeastern Mexico, according to the species of bats that were recorded in them. A: with the similarity of Bray Curtis, taking into account the species abundance and B: with the similarity of Sørensen, taking into account the presence of shared and exclusive species in each location.
TABLA 3 TABLE 3 Prueba de correlación de Mantel entre las matrices de similitud y la distancia geográfica entre las ocho localidades con tintales en el sureste de México para evaluar si la similitud entre las comunidades de murciélagos está determinada por la cercanía entre localidades Mantel correlation test between the similarity matrices and the geographical distance among the eight localities with “tintales” presence in Southeastern Mexico to assess whether the similarity among bat communities is determined by the proximity among localities
| Prueba de Mantel de correlación entre matrices (9999 réplicas) | |||||
| Z estadística | P | SD Observada | Esperada | Varianza | |
| Similitud de Bray Curtis (abundancia en redes) vs Distancia geográfica | 0.3631 | 0.0929 | 1.5001 | 0.0014 | 0.0581 |
| Similitud de Sørensen (P/A en redes) vs Distancia geográfica | 0.2231 | 0.2538 | 0.9514 | -0.0011 | 0.0555 |
Discusión
A pesar de que la mayoría de las localidades de estudio están altamente antropizadas, la plasticidad ecológica de muchas especies de murciélagos les permite hacer uso de ellas (Medellín, Equihua, & Amín, 2000). Se ha comprobado que varias especies de murciélagos frugívoros de la subfamilia Stenodermatinae usan este tipo de áreas para forrajear (Bobrowiec & Gribel, 2010), beneficiándose incluso de cierto grado de perturbación, ya que aprovechan los frutos de especies de vegetación secundaria y pioneras (Fenton et al., 1992; Galindo-González, Guevara, & Sosa, 2000). Dentro de estas especies, se encuentran Artibeus jamaicensis y A. lituratus que, de manera general, fueron las más ampliamente distribuidas y dos de las más abundantes en los tintales estudiados. Por su parte, Glossophaga soricina, aunque pertenece a otra subfamilia de murciélagos filostómidos, también se adapta a las áreas perturbadas (Galindo-González, 2004; Henry, Cossonb, & Pons, 2007), lo cual justifica que haya sido de manera general la especie más abundante. Estas tres especies han sido documentadas por Arita (1993) entre las más comunes en el Neotrópico.
En el caso de las especies de murciélagos carnívoros, se han documentado como más abundantes en las selvas conservadas (Galindo-González, 2004; Gonçalves et al., 2017), lo cual explica su escasa presencia y su baja representatividad en los muestreos. Además, los murciélagos carnívoros están presentes en una proporción mucho más baja en relación con las especies de otros gremios tróficos. En Oxpemul, aun cuando es un área conservada, solo se registró una especie carnívora (Mimon cozumelae), pero potencialmente pudieron haberse encontrado tres especies más que están reportadas dentro del estado de Campeche (Vargas-Contreras, Escalona-Segura, Arroyo-Cabrales, Rendón-von Osten, & Navarro, 2012). Una de estas especies, Trachops cirrhosus, se encontró en los tintales de El Aguacatal y Las Bodegas, ambas localidades intervenidas. El tintal de Las Bodegas está rodeado de una matriz ganadera y pequeños asentamientos humanos, por lo que T. cirrhosus puede estar sometido a una gran presión en esta área. Este ejemplo también podría reafirmar la importancia del tintal como un posible hábitat crítico para la supervivencia de muchas especies en localidades altamente antropizadas del sureste mexicano.
En segundo lugar, las especies insectívoras fueron las mejor representadas en los tintales estudiados de manera general, lo cual resulta interesante considerando que son uno de los gremios con menor detectabilidad cuando se utilizan redes a nivel de suelo (Meyer et al., 2011). Además, en el Neotrópico, el gremio mejor representado en los estudios de ensamblajes de murciélagos son los frugívoros y nectarívoros cuando se usan redes de niebla (Montiel, Estrada, & León, 2006; Moreno, Arita, & Solis, 2006; MacSwiney, Clarke, & Racey, 2008; Meyer & Kalko, 2008; Olímpio et al., 2016). Inclusive, en algunos casos, los únicos murciélagos insectívoros que se capturan mediante este método pertenecen a la familia Phyllostomidae (Schulze, Seavy, & Whitacre, 2000). Lo anterior puede ser el resultado de la mayor actividad de murciélagos insectívoros en el sotobosque como consecuencia de la mayor disponibilidad de insectos asociados al cuerpo de agua (Wickramasinghe, Harris, Jones, & Vaughan, 2003), lo que favorece la tasa de captura en estos ambientes.
Bajo este contexto, las selvas bajas inundables pueden ser una importante fuente de recursos para los murciélagos insectívoros, pues en ellas se encuentra una alta disponibilidad de mosquitos y escarabajos en comparación con selvas no inundadas (Batzer & Wissinger, 1996). Sin embargo, aun cuando la riqueza de especies de murciélagos insectívoros fue mayor, las especies frugívoras presentaron los mayores números de abundancia. Esto reafirma la idea de que las mayores tasas de captura en redes de niebla a ras de suelo corresponden a especies frugívoras o nectarívoras (MacSwiney, Clarke, & Racey, 2008; Meyer et al., 2011).
Es importante mencionar que, debido a que se utilizó un solo método de muestreo, es altamente probable que no se hayan detectado otras especies, en particular del gremio insectívoro. Varias especies de murciélagos insectívoros vuelan sobre el dosel de la selva y no se logran capturar con las redes, por lo que se utiliza el método de monitoreo acústico como complementario para su detección (Meyer et al., 2011). En la región Neotropical, se ha comprobado que el monitoreo acústico es el método más efectivo para documentar murciélagos insectívoros aéreos (Furey, Mackie, & Racey, 2009; Meyer et al., 2011). Desafortunadamente, no se contó con información de registros acústicos para todas las localidades de estudio, lo cual impidió que se pudieran utilizar para complementar los datos de redes. Solo se cuenta con información de un monitoreo piloto que se realizó en las localidades de Atasta y Oxpemul (desarrollado por los autores de este manuscrito) para el cual se utilizó un detector acústico (Batlogger, © Elekon AG).
En este muestreo preliminar, se logró registrar dentro del tintal en Atasta a las especies Molossus rufus, Eumops underwoodi, Noctilio leporinus y Lasiurus ega, mientras que en Oxpemul se identificó a Eumops auripendulus, Pteronotus davyi, Pteronotus parnellii y Mormoops megalophylla. En ambas localidades coincidió la especie Lasiurus intermedius. Estos datos preliminares sugieren que, en el caso de Atasta, la presencia de un canal aledaño al tintal puede favorecer la existencia de especies de murciélagos insectívoros, ya que las fuentes de agua son buenos indicadores de esta fuente de alimento (Wickramasinghe et al., 2003). En el caso de Oxpemul, estos datos acústicos nos ayudan a entender que, aunque en las redes no se capturaron muchas especies insectívoras, estas si estaban presentes en la localidad. El tintal de Oxpemul está rodeado de selva mediana subperennifolia (Zamora-Crescencio et al., 2012), por lo que, aunque este tenga espacios abiertos en su interior, la vegetación circundante no los tiene. De manera que puede actuar como una barrera que impide a los murciélagos insectívoros moverse con mayor facilidad en el sotobosque, lo cual no sucede en los tintales presentes en localidades antropizadas.
Además, es necesario resaltar que en Oxpemul se registró el mayor número de especies de murciélagos, lo cual sugiere lo importante que es el estado de conservación de las selvas y de determinadas regiones biogeográficas para el mantenimiento de este grupo (Willig, Patterson, & Stevens, 2003; Barrios-Gómez, López-Wilchis, Díaz-Larrea, & Guevara-Chumacero, 2019). De acuerdo con su distribución potencial, varias de estas especies de murciélagos insectívoros registrados en Atasta y Oxpemul podrían encontrarse en las demás localidades de estudio.
La colocación de redes de niebla y el éxito de captura de murciélagos en el interior de los tintales se vieron favorecidos por las características de esta formación vegetal. Los tintales poseen una estructura vertical bien definida, con espacios poco obstruidos bajo el dosel, lo que facilita la movilidad de los murciélagos en su interior, además de que el dosel les brinda protección contra los depredadores. Sin embargo, aun con estas ventajas, el muestreo no fue suficiente para detectar un mayor número de especies de murciélagos que pueden estar presentes en los tintales estudiados y los cálculos de completitud del muestreo así lo sugieren: en algunas localidades esta fue inferior al 80 %. Como es conocido, la riqueza de especies observada depende del esfuerzo de muestreo (Colwell et al., 2012). Esto nos indica que se deben seguir realizando visitas a estas localidades, para tener una idea más completa de la quiropterofauna y obtener conclusiones menos sesgadas. De cualquier manera, el presente estudio puede ser considerado como un primer acercamiento descriptivo a la quiropterofauna que se localiza en este tipo de formación vegetal.
En tintales como el de Corralitos, Tres Brazos y la Toza se esperaría, según los estimadores de rarefacción, que el número de especies se incremente con un mayor esfuerzo de muestreo, pero se debe tener en cuenta que estos también dependen de las características del muestreo. También debe tenerse en cuenta que estos tintales se encuentran dentro de una matriz ganadera, la cual puede modificar los patrones de distribución de la riqueza y diversidad de especies (Santos & Tellería, 2006). En las zonas dedicadas a actividades pecuarias se produce un sistema de alto contraste entre la matriz y los fragmentos, que posiblemente sean poco permeables para el movimiento de especies de murciélagos sensibles a la perturbación (García-García & Santos-Moreno, 2014). En este caso, los tintales de TB y LB pueden ser los más afectados, ya que se encuentran rodeados por una matriz ganadera. Además, la ganadería favorece la presencia de especies como Desmodus rotundus, la cual, por sus hábitos hematófagos, provoca afectaciones al ganado. Por esta razón, los ganaderos realizan matanzas masivas de todos los murciélagos que capturan sin distinción de especies (Kraker-Castañeda & Echeverría-Tello, 2012). Es por ello que el número de especies de murciélagos en estas áreas ganaderas puede verse afectado por el impacto de las actividades humanas sobre sus poblaciones.
Por otro lado, los murciélagos tienen una elevada vagilidad con respecto a otros mamíferos (Lomolino, 1984), lo que les permite evadir con mayor éxito aquellas áreas donde no existan las condiciones necesarias para su sobrevivencia siempre que estén a su alcance otras áreas con mejores condiciones. Sin embargo, deben tenerse en cuenta características como el tamaño de cada especie que determinan variaciones en cuanto a la extensión de los ámbitos hogareños. Especies grandes como A. jamaicensis tienen ámbitos hogareños más amplios (Morrison, 1978), lo cual implica que recorran áreas más extensas para encontrar su alimento. Además, es una especie generalista que consume frutos de árboles de sucesión tardía, para lo cual se desplaza entres selvas primarias y secundarias (Pinto & Keit, 2008). Esto permite que pueda favorecer la dispersión entre distintos hábitats con diferentes estados de sucesión. No obstante, especies pequeñas como C. perspicillata son muy comunes en áreas de sucesión temprana y sus movimientos están restringidos a ámbitos hogareños menos extensos, en los cuales son más activas en la dispersión de semillas de especies pioneras (Marinho-Filho, 1991).
En algunas localidades, la baja riqueza puede estar asociada a un mayor grado de perturbación en comparación con otros, como es el caso de Las Bodegas y Tres Brazos. Mientras que en localidades rodeadas de vegetación madura - como Oxpemul (selva baja y mediana) y Atasta (manglares) - ocurre lo contrario, puesto que fueron las localidades con mayor riqueza registrada. Existen enfoques más holísticos e incluyentes en materia de conservación en los cuales se resalta la importancia de los paisajes antropizados (Franklin & Lindenmayer, 2009). Desde hace décadas se han hecho predicciones que apuntan a que, en el futuro, la mayor parte de la biodiversidad se encontrará en paisajes con algún grado de perturbación, en particular en la región tropical (Gardner et al., 2009). Por esta razón, no se debe desestimar la importancia de muchas de las áreas modificadas por las actividades humanas, aun cuando no cumplan con las condiciones necesarias para el desarrollo de muchas especies (Hobbs, Higgs, & Harris, 2009) y alteren la dinámica de las poblaciones de especies silvestres (Cartwright, Nicoll, Jones, Tatayah, & Norris, 2014; Turgeon, Vander Wal, Massé, & Pelletiera, 2015). En algunos casos, las áreas intervenidas son la única opción de sobrevivencia para muchas especies ante los impactos que han provocado los cambios en el uso de suelo sobre sus hábitats naturales (Boivin et al., 2016).
Asimismo, otras zonas pueden estar afectadas por las actividades humanas, pero, aun así, conservan muchas características que las vinculan con las áreas conservadas o aún mantienen fragmentos de vegetación natural (Lepczyk et al., 2017). Este es el caso de los tintales en Oxpemul y Atasta, que resultaron ser similares entre sí por la cantidad de especies de murciélagos que comparten (más de la mitad). Por otra parte, aunque Atasta es una localidad perturbada, el área donde se realizó el muestreo aún conserva extensas zonas cubiertas por vegetación, principalmente manglares asociados a una extensa red de humedales, por lo que mantiene características que se vinculan más con localidades conservadas como Oxpemul que con otras perturbadas.
Sin embargo, cuando se tiene en cuenta la estructura de la comunidad más que la presencia de las especies, Oxpemul fue la localidad que más se diferenció de las demás. Esto podría indicar que el mayor efecto de la perturbación sobre la quiropterofauna es en la abundancia total y la de cada una de las especies en particular, por lo que se modifica la estructura más que la propia composición de la comunidad. Esto podría traer también efectos significativos en la función de cada especie dentro del ecosistema, en dependencia del gremio al que pertenezcan las más susceptibles. Por ejemplo, los murciélagos frugívoros son especies clave dentro de las selvas tropicales por su rol en la dispersión de semillas, particularmente aquellas especies de sucesión ecológica temprana (Muscarella & Fleming, 2007; Escribano-Ávila, Lara-Romero, Heleno, & Traveset, 2018). Por ello, una reducción en sus poblaciones provocaría efectos negativos en la regeneración de selvas y paisajes fragmentados (Aguiar & Marinho-Filho, 2007). Por su parte, se ha comprobado que los murciélagos insectívoros juegan un papel importante en la regulación de la herbivoría (Kalka, Smith, & Kalko, 2008).
Aun cuando se comprobó que la distancia no era la que determinaba la similitud entre las localidades - Chichicastle y Tres Brazos son parte de la misma región - varias están asociadas a grandes ríos y están relativamente cerca, razones que justifican que sean tan similares entre sí. Las restantes localidades resultan ser más semejantes entre sí, lo cual puede ser explicado por el alto grado de intervención humana que presentan, ya que han estado sometidos a procesos de deforestación y de cambio de uso de suelo que han implicado la pérdida de gran parte de la cobertura vegetal. A pesar de esta situación, en estas áreas persisten remanentes de selvas como los tintales. Estos fragmentos son de vital importancia para el mantenimiento de grupos biológicos como los murciélagos (Muñoz-Jiménez, Villegas-Patraca, Mac Swiney, & López-Acosta., 2016).
En el sureste de México, de las 73 especies de murciélagos registradas para Campeche y Tabasco, 25 se encontraron en los tintales, lo que representa el 34.25 % de la quiropterofauna presente en estos dos estados (Bueno, Álvarez, & Santiago, 2005; Vargas-Contreras et al., 2012). Por ello, de manera preliminar los tintales perfilan como hábitats importantes para la conservación de los murciélagos en el sureste de México, principalmente en áreas donde las actividades antrópicas han provocado pérdida de la cobertura vegetal.
Por lo tanto, consideramos que es necesario llevar a cabo nuevos estudios que permitan aportar más datos sobre qué otras especies utilizan los tintales como refugios, sitios de alimentación o de paso. Debido a que el esfuerzo de muestreo no fue suficiente para detectar a un mayor número de especies de murciélagos, sugerimos realizar más visitas a los tintales y utilizar técnicas complementarias como la detección acústica, además de búsquedas diurnas de refugios dentro de los tintales para poder obtener resultados más concluyentes. Este aumento en el esfuerzo de muestreo debería estar enfocado en tres aspectos fundamentales: muestrear más intensivamente cada localidad, abarcar una mayor cantidad de tintales y tener en cuenta la estacionalidad en este tipo de formación vegetal, en función de la fenología de las plantas y las condiciones climáticas.
Declaración de ética: los autores declaran que todos están de acuerdo con esta publicación y que han hecho aportes que justifican su autoría; que no hay conflicto de interés de ningún tipo; y que han cumplido con todos los requisitos y procedimientos éticos y legales pertinentes. Todas las fuentes de financiamiento se detallan plena y claramente en la sección de agradecimientos. El respectivo documento legal firmado se encuentra en los archivos de la revista.











uBio 

